ENSINO POR COMPETÊNCIA E METODOLOGIAS ATIVAS:  REPERCUSSÃO NA EFETIVAÇÃO DAS AULAS REMOTAS ADOTADAS DURANTE A PANDEMIA COVID-19.

 

Teaching for competence and active methodologies: repercussion in the effectiveness of remote classes adopted during the pandemic Covid-19.

 

La enseñanza por competencia y el uso de metodologías activas: repercusión en la efectividad de las clases remotas adoptadas para enfrentamiento de la pandemia Covid-19.

 

Marta Luciane Fischer

Pontifícia Universidade Católica do Paraná, Paraná, Brasil

marta.fischer@outlook.com - http://orcid.org/0000-0002-1885-0535

 

Mariana Grassi Noya

Pontifícia Universidade Católica do Paraná, Paraná, Brasil

contato@marianagrassi.com - http://orcid.org/0000-0002-2761-2010

 

Ana Cristina Seixas Greca

Pontifícia Universidade Católica do Paraná, Paraná, Brasil

ana.greca@pucpr.br - http://orcid.org/0000-0001-7286-0753

 

Aline Cadena von Bahten

Pontifícia Universidade Católica do Paraná, Paraná, Brasil

aline.vonbahten@gmail.com - https://orcid.org/0000-0002-8744-9366

 

Recebido em 09 de outubro de 2020

Aprovado em 21 de janeiro de 2021

Publicado em 03 de novembro de 2022

 

RESUMO

As aulas remotas se constituíram da estratégia de enfrentamento da pandemia Covid-19 demostrando fragilidades latentes do ensino mundial quanto às desigualdades ao acesso à tecnologia. Partindo da concepção de que algumas instituições já haviam instituído o ensino por competência e metodologias ativas com uso de tecnologia, questionou-se a compatibilidade com os processos intrínsecos às aulas remotas. Foram realizadas análises quali e quantitativas sobre a percepção, argumento e desempenho de 156 estudantes do 1º e 7º períodos do curso de ciências biológicas de uma instituição privada do sul do Brasil submetidos a aulas presenciais em 2018 e 2019 e aulas remotas em 2020. Por meio de questionário online, os estudantes relataram os sentimentos relacionados à pandemia, benefícios e limitações das aulas remotas e avaliaram o aprendizado, a eficiência das metodologias ativas e do ensino por competência. Embora os estudantes tenham demostrado sentimento de tristeza e frustração com o afastamento social identificaram benefícios nas aulas remotas relacionados com a comodidade e mobilidade e limitações como acessibilidade e qualidade da conexão. Contudo, não indicaram limitações metodológicas e impacto negativo no aprendizado, mostrando identificação com a disciplina, receptividade e compreensão das mudanças emergenciais, valorizando a performance dos docentes e o comprometimento pessoal. Conclui-se que as sociedades contemporâneas demandam de instituições, docentes e acadêmicos preparados para um ensino que vise a autonomia e a resiliência diante de questões emergenciais, no qual se entende que o aprendizado pode ser atingido por diferentes trilhas, enaltecendo a construção do conhecimento como competência fundamental.

 

Palavras-chave: distanciamento social; ensino superior; ensino híbrido; educação pós-pandemia; tecnologia de informação e comunicação.

 

ABSTRACT

Remote classes were part of the strategy to face the Covid-19 pandemic, showing latent weaknesses in world education regarding inequalities in access to technology. Starting from the conception that some institutions had already instituted teaching by competence and active methodologies with the use of technology, we questioned the compatibility with the intrinsic processes to remote classes. We perform qualitative and quantitative analyzes about perception, argument and performance of 156 students  from the 1st and 7th period of the Biological Sciences course of a private institution in southern Brazil submitted to classroom lessons in 2018 and 2019 and remote classes in 2020. Through an online questionnaire, students reported their feelings related to the pandemic, benefits and limitations of remote classes and assessed learning, the efficiency of active methodologies and teaching by competence. Although students showed feelings of sadness and frustration with social withdrawal, they identified benefits in remote classes related to convenience and mobility and limitations such as accessibility and quality of the connection. However, they did not indicate methodological limitations and negative impact on learning, showing identification with the discipline, receptivity and understanding with emergency changes, valuing the performance of teachers and personal commitment. We concluded that the contemporary society demands institutions, teachers and academics prepared for teaching that aims at autonomy and resilience in the face of emergency issues, in which learning is understood can be achieved through different paths, highlighting the construction of knowledge as a competence fundamental.

  

Keywords: higher education; hybrid teaching; information and communication technology; post-pandemic education; social withdrawal.

 

RESUMEN

Las clases remotas fueron parte de la estrategia para enfrentar la pandemia Covid-19, mostrando debilidades latentes en la educación mundial en cuanto a desigualdades en el acceso a la tecnología. Partiendo de la concepción de que algunas instituciones ya habían instituido la docencia por competencia y metodologías activas con el uso de la tecnología, se cuestionó la compatibilidad con los procesos intrínsecos a las clases remotas. Se realizaron análisis cualitativos y cuantitativos sobre la percepción, argumentación y desempeño de 156 estudiantes de 1er y 7mo semestre de la carrera de Ciencias Biológicas de una institución privada del sur de Brasil sometidos a clases presenciales en 2018 y 2019 y clases remotas en 2020. A través de un cuestionario en línea, los estudiantes relataron sentimientos relacionados con la pandemia, beneficios y limitaciones de las clases a distancia y evaluaron el aprendizaje, la eficiencia de las metodologías activas y la enseñanza por competencias. Aunque los estudiantes mostraron sentimientos de tristeza y frustración con el retraimiento social, identificaron beneficios en las clases remotas relacionados con la conveniencia y movilidad y limitaciones como la accesibilidad y la calidad de la conexión. Sin embargo, no indicaron limitaciones metodológicas e impacto negativo en el aprendizaje, mostrando identificación con la disciplina, receptividad y comprensión de los cambios de emergencia, valorando el desempeño de los docentes y el compromiso personal. Se concluye que las sociedades contemporáneas demandan instituciones, docentes y académicos preparados para una docencia que apunte a la autonomía y resiliencia ante los problemas de emergencia, en los que se entienda que el aprendizaje se puede lograr por diferentes caminos, destacando la construcción del conocimiento como competencia fundamental.

 

Palabras-clave: educación superior; educación pós pandemia; enseñanza híbrida; retraimiento social; tecnologías de la información y la comunicación.

 

 

Introdução

            O ano de 2020 indubitavelmente será um divisor nos segmentos sociais, econômicos, políticos e educacionais, uma vez que o impossível e improvável se constituíram das únicas alternativas para o enfrentamento da pandemia Covid-19. Logo, há uma comunhão na perspectiva de um “novo normal” e uma expectativa de que muitas das iniciativas emergenciais se tornem rotineiras, principalmente no meio corporativo e educacional (ARRUDA, 2020, CERICATO; SILVA, 2020). 

A necessidade de isolamento social como medida de enfrentamento de uma doença altamente transmissível e sem cura conhecida abalou estruturas consolidadas, tais como o papel social das instituições de ensino. O espaço escolar, até então considerado seguro, acolhedor e insubstituível na promoção do desenvolvimento humano (CERICATO; SILVA, 2020, MARTINS; ALMEIDA, 2020), passou a representar um local perigoso e temido (ALVES, 2020, ARRUDA, 2020). Concomitantemente, a pandemia evidenciou fragilidades no sistema social e educacional mundial já apontados há décadas, tais como a baixa utilização de tecnologia e as desigualdades (ALVES, 2020, ARRUDA, 2020, SANTANA, 2020). As projeções apontam que a pandemia afetará o processo de escolarização por décadas, considerado por Xiao e Li (2020) como irreversíveis, devido ao declínio de profissionais no mercado e atraso na entrada no ensino superior.

Embora haja um senso comum que a pandemia aconteceu repentinamente, o Brasil estava com um delay de dois meses com relação a situação de enfrentamento presenciada por países asiáticos e europeus (ARRUDA, 2020). Contudo, processos culturais, políticos e a experiências de outras ameaças não consolidadas determinaram o atraso do planejamento e a execução das medidas de restrição, dentre as quais se destaca a migração das aulas presenciais para as aulas remotas (ARRUDA, 2020). A medida apoiada e incentivada pelo poder público (BRASIL, 2020) impactou nos diferentes níveis educacionais com a suspensão do acesso a espaços como escolas e centros de cultura, lazer, esporte e arte (ARRUDA, 2020, SANTANA, 2020).

Países como os Estados Unidos da América, que já disponibilizavam cursos em diferentes plataformas, apresentaram menores dificuldades de migração para aulas remotas (ARRUDA, 2020). Porém, em nações em desenvolvimento como o Brasil, propostas difusas e destituídas de liderança política, somada ao predomínio do modelo tradicional de ensino, potencializaram as limitações para adaptação (ARRUDA, 2020). Ressalta-se que mesmo na China a subutilização de recursos tecnológicos e digitais foram limitantes para adaptação à situação emergencial somado a incipiência de softwares e aplicativos educacionais (XIAO; LI 2020).

No Brasil, instituições de ensino superior previamente preparadas, com professores e alunos capacitados para o ensino por competências e metodologias ativas com uso de tecnologia, lograram estabelecer um plano de contingência instantaneamente ao início da pandemia no país (ARRUDA, 2020). Enquanto parte das instituições públicas, principalmente escolas do ensino básico, procrastinaram na implementação de medidas emergenciais aguardando orientações de gestores públicos ou de organizações internacionais, como a UNESCO (ALVES, 2020).

Inicialmente foi estabelecida associação entre aulas remotas e o ensino a distância (EAD), contudo distintamente as aulas remotas refletem o contexto emergencial se apropriando de tecnologia previamente existente, cujas mudanças temporais na entrega do conteúdo visa manter o vínculo com o estudante (ARRUDA, 2020). O ensino remoto, embora se constituindo da alternativa mais plausível em todo o mundo, potencializou as desigualdades. Enquanto milhares de estudantes foram excluídos por não terem acesso a dispositivos eletrônicos ou conexão à internet, muitos docentes não estavam preparados para lidarem com tecnologia, adaptar a forma de trabalho e administrá-lo com demandas pessoais e emocionais (ALVES, 2020).  

O ensino baseado em competências transpõe da perspectiva do ensino linear para a concepção de trilhas adaptadas com as potencialidades e limitações de cada estudante (CARR-CHELLMAN; DIXON, 2020). O ensino realizado em módulos permite a interação de diferentes disciplinas, que até então eram trabalhadas individualmente (ZHANG; WEST, 2020). As metodologias ativas correspondem a uma série de atividades que visam orientar e conduzir o estudante para construção do seu conhecimento (ROMERO-HALL; HSIAO; GAO, 2018), sendo para tal utilizados recursos tradicionais e tecnológicos, demandando de um espaço virtual que possibilite diferentes abordagens, tais como organização de material de apoio, ferramentas para web conferências, sala de reuniões, formação de equipes, blogs, testes e exercícios online.

Partiu-se da concepção que a preparação para formação de um profissional para atuar no futuro imprevisível se constitui de uma ferramenta para enfrentamento de situações de crises emergenciais, tais como vivenciadas pela pandemia Covid-19. Logo, questionou-se se a avaliação e adesão dos estudantes ao ensino por competência e o emprego das metodologias ativas foram mantidas com as aulas remotas. O presente estudo teve como objetivo avaliar a concepção e desempenho de estudantes do início e final do curso de ciências biológicas submetidos ao ensino por aulas presenciais, ocorridas em 2018 e 2019, e aulas remotas, ocorridas em 2020. Foram testadas duas hipóteses: H1) a existência de diferentes percepções sobre a pandemia, benefícios e limitações das aulas remotas entre estudantes do início e final do curso; H2) a existência de semelhanças na percepção e concepção da disciplina, metodologias ativas em estudantes que assistiram aulas presenciais e aqueles que assistiram aulas remotas.

           

Métodos

Participantes da pesquisa

A presente pesquisa correspondeu a participação de alunos matriculados no curso de bacharelado de ciências biológicas em uma instituição de ensino superior privada do sul do país, especificamente nas disciplinas de Estrutura e Funcionamento de Plantas e Animais (EFPA), oferecida ao 1º período de 2019 (N=25 estudantes, excluindo os que não aceitaram participar da pesquisa) e 2020 (N=24), e a disciplina de Etologia, oferecida no 7º período nos anos de 2018 (N=41), 2019 (N=36) e 2020 (N=30). Desde 2016 a instituição vem capilarizando iniciativas de inovação pedagógica, reestruturação do espaço físico da sala de aula e formação continuada do corpo docente. Os estudantes do presente estudo foram submetidos à mudanças ocorridas na instituição visando o exercício da aprendizagem por meio de metodologias ativas na prática pedagógica e desenvolvimento de resultados de aprendizagem plausíveis de serem acessados em avaliações formativas, somativas e feedback. Com apoio do Centro de Ensino e Aprendizagem (CREARE) da instituição, houve reestruturação da matriz curricular e formação continuada totalizando 645 capacitações envolvendo mais de 10.928 professores desde 2016, sendo que no primeiro semestre de 2020 foram oferecidas 36 oficinas remotas e a capacitação de 832 professores (PUCPR, 2020).

A disciplina de EFPA, foi instituída em 2019 a partir da implementação das novas matrizes curriculares na instituição que têm como base o ensino por competência. A  ementa da disciplina é: “Os estudantes analisam a origem e evolução de células, tecidos, órgãos e sistemas de plantas e animais, objetivando relacionar com processos de adaptação e associação com estratégias de sobrevivência. Ao longo do semestre, analisam exemplares de plantas e animais para interpretar de forma comparativa as estratégias de sobrevivência aos ambientes aquáticos e terrestres. Ao final, são capazes de identificar diferenças relacionadas com hábito séssil e livre e as semelhanças relacionadas com a adaptação aos mesmos ambientes”. Essa nova abordagem promove uma educação disruptiva, pois ao ensinar botânica e zoologia simultaneamente quebra paradigmas e une esforços ao inter-relacionar animais e plantas. A disciplina é semestral com carga horária de 160h, compondo quatro aulas práticas e quatro teóricas semanais.

   A disciplina de Etologia tem como ementa: “A disciplina de Etologia é ofertada no 7o período do curso de bacharelado em ciências biológicas. Os estudantes analisam as bases biológicas e evolutivas do comportamento, objetivando identificar seus condicionantes biológicos. Ao longo do semestre, utilizam métodos de observação para interpretar as estratégias de sobrevivência nos comportamentos animais. Eles analisam as reações desencadeadas pelo meio externo e interno e diagnosticam o comportamento animal. Ao final, são capazes de propor intervenções técnicas e bioéticas que elevem o bem-estar-animal e promovam saúde global considerando a interação com humanos”. Essa disciplina é semestral com carga horária de 60 horas, congregando  a base conceitual do comportamento animal e seus fatores sensoriais e modais subsidiando a aplicação no diagnóstico do comportamento de um animal escolhido pelo time, a avaliação de aspectos biológicos e evolutivos do comportamento social humano em um caso real e sua veiculação no blog, e a análise de questões éticas envolvidas com os diferentes usos de animais pela sociedade.

 

Instrumento de pesquisa

Os dois instrumentos utilizados na presente pesquisa foram relativos a questionários quali e quantitativos de autoavaliação aplicados virtualmente pelo aplicativo QualtricsXM. O instrumento I objetivou testar a hipótese H1 sendo aplicado no 1º semestre de 2020 para os alunos do 1º e 7º períodos que tiveram aulas remotas. Foi composto por três questões sobre os sentimentos desencadeados com a pandemia Covid-19 e pontos fortes e limitantes das aulas remotas.

O instrumento II objetivou atestar a hipótese H2, para tal foram analisadas as autoavaliações bimestrais preenchidas pelos estudantes na metade e no final das disciplinas ocorridas em 2018 e 2019 em decorrência das aulas presenciais comparativamente com aquelas preenchidas pelas turmas de 2020. O estudante atribuiu critérios: excelente (9 a 10), muito bom (8 a 8,9), bom (7 a 7,9), razoável (5 a 6,9) e ruim (menos que 5) para o aprendizado, eficiência das metodologias ativas no aprendizado; para o trabalho em times e quanto as modificações da disciplina para o ensino por competências. No 1º período as competências avaliadas foram: (1) trabalhar zoologia e botânica conjuntamente e (2) trabalhar a botânica e a zoologia sob a perspectiva de arquiteturas corporais. Já no 7º período foram: (1) aplicar as metodologias para diagnóstico do comportamento animal e (2) analisar o comportamento social humano sob a perspectiva biológica e etológica e produzir ensaios divulgados em blog. Também foi solicitado para o estudante relatar sua perspectiva da disciplina, pontos fortes e limitações que as metodologias ativas imputaram ao seu aprendizado e como percebe a aplicação dos temas trabalhados na disciplina.

Análise dos dados

Em ambas as etapas, o conteúdo foi categorizado utilizando a técnica de análise semântica de Bardin (2012), agrupando e reagrupando de acordo com as significações, forma e distribuição nas categorias. Concomitantemente, foi aplicada a técnica de análise de nuvem de palavras por meio do aplicativo Wordle, que as organizam de acordo com suas frequências e então analisadas pelo programa do Grupo de Linguística da Insite (2020). O resultado do agrupamento a posteriori foi utilizado como fonte de significados apontando quatro vetores identificados nas argumentações dos estudantes a respeito da disciplina, dos pontos fortes e das limitações das metodologias ativas (Quadro 1).

 

Quadro 1. Vetores e suas expressões correspondentes resultantes da análise a posteriori dos argumentos dos estudantes de 1º e 7º períodos submetidos a aulas presenciais e remotas.

 

Vetor 1

Vetor 2

Vetor 3

Vetor 4

 

Encaminhamento da disciplina

Perspectiva pessoal (desempenho)

Perspectiva do grupo

Perspectiva da aplicação da disciplina

 

expressões correspondentes

acelerado, conceitual, confuso, dinâmico, inovador, complexo, subjetivo, envolvente, surpreendente, aula-gravada, conexão, dinâmica, eficiente, interessante, produtivo, tecnológico

afinidade, dificuldades, adaptação, dedicação, participação, superação, organização, concentração

opiniões, consenso, discussões, interação, paciência, trabalhar em equipe, interação, produtividade

inovação, aplicação, compreensão, diversidade, integração, conexão, transposição, aprendizado

 

Para apresentação dos resultados além da análise qualitativa se utilizou da estatística descritiva com a representação das frequências das categorias. A distribuição das frequências dos dados foi comparada em cada categoria e entre as respostas relativas as aulas presenciais e remotas por meio do teste do qui-quadrado, tendo como hipótese nula a homogeneidade da amostra a uma confiança de 95% e erro de 5%. O presente estudo ocorreu em conformidade com as determinações éticas no uso de participantes humanos em pesquisa, sendo aprovado pelo Comitê de Ética em Pesquisa (CAAE n° 58477516.8.0000.0020).

 

 

 

 

 

 

 

 

 

Resultados e Discussão

Percepções de estudantes de início e final do curso sobre a pandemia Covid-19 e aulas remotas (H1) 

 

 

A análise da nuvem de palavras associada com a instauração da pandemia Covid-19 resultou em 133 expressões decorrentes de 406 contribuições dos estudantes. Destas, 14 palavras predominaram, representando 50% da amostra, sendo as mais frequentes: práticas (8,1%), conforto (4,8%), aulas-gravadas (4,5%), interação (4,5%), concentração (4,2%) e conexão (4,2%) (Figura 1). As expressões predominantes ilustram a importância das aulas práticas de laboratório e da interação interpessoal para o estudante de biologia. Tal como atestado por Fischer et al. (2012), o universitário que opta pelo curso de ciências biológicas é vocacionado, sendo as atividades práticas e as pesquisas realizadas ainda na graduação os principais condicionantes da tenacidade. Logo, o impacto das aulas remotas na autoestima do estudante é significativo (FISCHER et al., 2012). Ao mesmo tempo, os alunos reconheceram que estudar em casa é confortável, sendo a possibilidade de acessar a aula a posteriori uma inovação bem aceita. Porém também sinalizaram que é preciso superar limitantes como a conexão e a dificuldade de concentração, tal como atestado em outras pesquisas (ROESLER et al., 2013, VERCELLI, 2020). 

 

 

 

 

 

 

 

Figura 1: Nuvem de palavras e categorização das expressões de estudantes do 1º e 7º período com relação aos sentimentos diante da pandemia Covid-19 e benefícios e limitações das aulas remotas. (As expressões predominantes (p<0,05) foram representadas em negrito e sublinhadas as compartilhadas, N= tamanho amostral).

Fonte: Fonte dados da pesquisa.

 

Os sentimentos decorrentes da pandemia, embora representados pelo mesmo número de expressões em estudantes do 1º e 7º períodos, apresentaram apenas duas expressões comuns: frustração e preocupação (Figura 1). Os estudantes do 1º período demostraram significativamente mais sentimento de tristeza e expressões associadas com o choque na decisão repentina do distanciamento social, uma vez que estavam iniciando o curso e possuíam muitas expectativas de vivenciar aulas práticas com animais, plantas e microscópio. Enquanto os estudantes do 7º período

 

 

demostraram frustração e expressões associadas com o estresse decorrente da descontinuidade de um processo que estava findando. Porém, percebe-se que também demostram expressões positivas e um certo alívio pela desaceleração dos processos vivenciados no final de curso.

Os universitários reagiram em consonância com as vivências de outros segmentos sociais diante da pandemia e suas consequências. Segundo Alves (2020), as pessoas têm demostrado insegurança diante da efemeridade das decisões associadas ao ineditismo de tempos disruptivos e seus desafios (ARRUDA, 2020). Contudo, para Arruda (2020), o distanciamento social afetou estudantes, pais, professores em todos os níveis, pois a angústia é alimentada pela insegurança diante da situação como um todo e da necessidade de adaptação para o estudo remoto. Segundo Santos et al. (2020), as inseguranças dos estudantes podem ser potencializadas caso o docente demostre uma perspectiva pessimista.

Os benefícios das aulas remotas foram associados à 10 expressões pelos estudantes do 1º período e oito pelos alunos do 7º período, porém apenas três foram compartilhadas: conforto, aulas gravadas e flexibilidade (Figura 1). As vantagens elencadas nesta pesquisa correspondem com as identificadas por Santos et al. (2020), destacando a flexibilidade do uso do tempo, a autonomia, menor ociosidade, maior conforto, comodidade, segurança, não comprometer o calendário e a possiblidade de comunicação. Ressalta-se que a mobilidade é relevante principalmente em grandes centros urbanos, cuja economia de tempo pode ser revertida na otimização para outras atividades, consequentemente, promovendo avanço para educação (VERCELLI, 2020).

A menor distração com conversas paralelas e a diversificação de professores já haviam sido atestadas como pontos positivos por estudantes entrevistados por Hannel et al. (2005), que destacaram a satisfação de poder desfrutar do contato com professores de diferentes instituições, inviável no ensino presencial. Sousa (2020) registrou satisfação na aula remota em 52% de seus entrevistados e, apesar da descrença inicial, muitos passaram a considerar as aulas remotas melhores do que

 

as presenciais. Os estudantes constataram que é possível promover dinamismo e socialização com auxílio da tecnologia e respeitando o tempo de cada um.

As limitações das aulas remotas foram representadas por 19 expressões pelo 1º período e 16 pelo 7º período, sendo compartilhadas oito. Enquanto o 1º período se destacou por reclamarem principalmente a falta das aulas de laboratório, o 7º período se queixou da conexão. Contudo, ambos pontuaram limitações associadas a dificuldade de concentração e falta de motivação (Figura 1). O acesso e a qualidade da conexão e de dispositivos eletrônicos se constituíram de um dos maiores limitantes das aulas remotas em todos os níveis de ensino em perspectiva global. Essas limitações potencializam a marginalização e a exclusão (ALVES, 2020), problemas latentes na sociedade brasileira há décadas.  Em contraposição, Silva et al. (2020) pontuaram que em 2018 cerca de 9 milhões de brasileiros estavam tendo a oportunidade de estudar graças aos programas de EAD, dado esse que apoia a expectativa de consolidação do ensino híbrido.

A qualidade, e não apenas a disponibilidade, de acesso à internet foi destacada por Hannel et al. (2005) como condicionante para efetividade da aula remota, uma vez que as interrupções das falas descontinuam a compreensão da mensagem. Bem como o delay entre som e imagem e a dificuldade de leitura de sinais não verbais podem gerar repulsa e desmotivar o estudante levando-o a desligar a tela. Alguns estudantes também pontuaram a falta de um ambiente propício para estudos, se constituindo de uma das justificativas para que muitos não se sintam confortáveis em abrir as câmeras durante as aulas.

 Os estudantes identificaram como limitantes das aulas remotas principalmente questões relacionadas ao seu desempenho condicionado à concentração. A atenção pode ser comprometia devido à dificuldade de estabelecimento de uma rotina, além da distração com as demandas domésticas (ROESLER et al., 2013, VERCELLI, 2020). Ressalta-se que os estudantes desta pesquisa não pontuaram a metodologia adotada como limitante. Este foi um aspecto levantado por Sousa (2020) que ressaltou a importância do suporte em tecnologia e da capacitação de professores para que não transponha para o ambiente virtual procedimentos já diagnosticados como

 

 

improdutivos nas aulas presenciais. O autor destacou as aulas expositivas longas e uso de muitos slides de difícil assimilação, alertando, ainda, que a maioria dos estudantes acessam as aulas pelo celular, logo deve-se considerar a adaptação para essa plataforma.

 A disponibilidade de um encaminhamento didático adaptado para a situação de aula remota foi considerada por Santos et al. (2020). Os autores alertaram que o mesmo deve motivar o estudante, contudo deve ser equilibrado quanto aos procedimentos teóricos e práticos. O uso de recurso tecnológico é intrínseco a situação de aula remota, sendo este um desafio para maioria das instituições em nível global (XIAO; LI 2020). A maioria dos professores entrevistados por Santos et al. (2020) (62%) ainda usavam livros como material de apoio comparado com iniciativas disruptivas como uso de observação na realidade (41,7%), desafios eletrônicos (25%) e fóruns, chats ou redes sociais (30,6%). Já os estudantes entrevistados por Hannel et al. (2005) frisaram que a adaptação é fundamental, com destaque para que o material seja disponibilizado antecipadamente e na sequência correta. Bem como para que o professor detenha domínio no uso do vídeo, tal como o olhar para câmera, iluminar o rosto e minimizar os movimentos com as mãos.

O processo de avaliação também não foi pontuado como um limitante. No entanto, este reconhecido desafio da educação se potencializou no ensino remoto. A maioria dos professores entrevistados por Santos et al. (2020) avaliaram o desempenho do estudante com trabalho prático (92%), enquanto 11% usaram recurso de redes sociais e apenas 5,6% provas digitais. Embora o senso comum vislumbre o ineditismo das aulas remotas, já vem sendo pesquisada há anos. Hannel et al. (2005) e Moura e Cruz (2008) avaliaram a videoconferência e sua aplicação no ensino semipresencial apontando as mesmas questões positivas e negativas vivenciadas na pandemia.

 

Percepção e concepção da disciplina e das metodologias ativas em aulas presenciais e remotas (H2).     

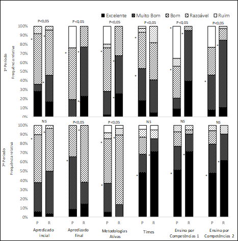
A autoavaliação dos estudantes que cursaram a disciplina EFPA evidenciou concordância com a ocorrência de aprendizado, com o uso de metodologias ativas, com trabalho em times e ensino por competência, tanto no ensino presencial quanto no remoto (Figura 2). No entanto, as maiores frequências de avaliações ruins foram atribuídas pelo estudante do ensino presencial. Provavelmente esse resultado elucida que o aluno que passou para o ensino remoto considerou a situação emergencial e o comprometimento da instituição e dos professores. Logo, este estudante se mostrou mais receptivo a colaborar para as novas perspectivas de ensino por competência. Barbosa et al. (2020) consideraram o fato do ensino híbrido e das metodologias ativas serem realidade em algumas instituições privadas que havia previamente capacitado seus docentes, promovendo uma adaptação imediata e sem maiores prejuízos. A nota média atribuída para o aprendizado inicial e final pelos estudantes foram altas, tanto nas aulas presenciais (8,6 e 7) quanto na remotas (8,5 e 9), e correspondentes com a média oriunda da avaliação do docente (presencial: 8,6 e 7,8 e remota: 8,5 e 9).

Os estudantes do 7º período, oriundos da matriz antiga, na qual muitas disciplinas ainda praticavam predominantemente aulas expositivas, mostraram maior adesão às metodologias ativas, principalmente por envolver trabalho em equipe (Figura 2). Contudo, não ocorreram diferenças significativas entre as autoavaliações em ambas as situações (aula presencial e remota), assim como na pontuação média autoatribuída para 1ª e 2ª autoavaliação (presencial 7,4 e 8,6 e remota: 8,6 e 8,5) e a média resultada da avaliação pelo professor (presencial 8,5 e 8,9 e remota: 9,6 e 9,1). Esses resultados evidenciam a compatibilidade do ensino por metodologias ativas nas aulas presenciais e remotas, não incorrendo em prejuízo no aprendizado do estudante.

 

 

 

 

Figura 2: Frequência relativa da autoavaliação dos estudantes do 1º e 7º períodos. Os valores foram comparados por meio do teste do qui-quadrado sendo os valores significativamente acompanhados de asterisco (*) e as comparações entre aulas presenciais (P) e remotas (R) significativas sinalizadas com P<0,05 e não significativas de NS.

Fonte: Fonte dados da pesquisa.

 

A percepção da disciplina pelo estudante do 1º período não diferiu entre aqueles que tiveram aulas presenciais e remotas, sendo utilizadas principalmente a perspectiva do encaminhamento da disciplina, apontando referenciais pedagógicos e didáticos. Porém os alunos que assistiram aulas remotas relacionaram mais a disciplina com a perspectiva pessoal do que aqueles que tiveram aulas presenciais, sugerindo que a identificação com a disciplina foi um condicionante importante para manutenção no curso e aceitação dos desafios das aulas remotas. Esses resultados corroboram a constatação de Fischer et al. (2012) que o estudante de biologia,

 

percebe, escolhe e realiza o curso motivado por parâmetros passionais encontrando satisfação com a realidade idealizada, envolvendo pesquisas com a biologia dos seres vivos e se identificando ideologicamente com colegas e professores.

A percepção dos pontos fortes das metodologias ativas indicou que os estudantes das aulas remotas, de ambos os períodos, associaram com a perspectiva do encaminhamento da disciplina. Esses resultados sugerem que o encaminhamento metodológico e a didática foram mais relevantes para os estudantes no momento da adaptação, no qual foi valorizado a performance do professor. Enquanto no ensino presencial a percepção da efetividade da metodologia ativa foi embasada no trabalho da equipe e nos produtos resultantes. 

A identificação do encaminhamento da disciplina como um ponto forte das aulas remotas reitera a importância da capacitação prévia dos professores. Silva et al. (2020) alertaram a maioria dos professores entrevistados já aplicassem metodologias ativas e conheciam o ensino híbrido e a aula remota. Contudo, confessaram não deterem habilidades para domínio da tecnologia, sentindo-se excluídos e frustrados, consequentemente aumentando a carga de trabalho para se capacitarem. Para Cruz (2008), é esperado que em um primeiro momento os docentes submetidos à implementação da videoconferência como técnica de ensino insistirão na manutenção dos processos presenciais. Porém, diante da constatação de inadaptabilidade, passarão a mobilizar tempo e energia na remediação das incompatibilidades evidenciadas. Cecílio e Sousa (2009) alertaram que as tecnologias da informação e da comunicação (TIC) têm uma ação ambivalente, podendo tanto contribuir para a mudança, quanto manter práticas antigas envolvidas em uma aparência de inovação. No entanto, Cruz (2008) acredita que por tentativa e erro o professor entenderá que é mais efetivo estabelecer estratégias que visem antecipar e evitar os problemas.

A percepção das limitações das metodologias ativas, por outro lado, tanto nas aulas presenciais quanto nas remotas e em ambos os períodos, foram atribuídas à perspectiva pessoal e de grupo. Aspectos como participação, organização, comunicação, motivação e concentração foram determinantes (Figura 3). Ressalta-se que no trabalho em equipe a cooperação, dedicação e comunicação foram indicados

 

 

tanto como pontos fortes quanto como limitantes, dependendo de como irão mobilizar esses recursos para execução da tarefa. Esses resultados indicam que o estudante tem consciência de que seu comprometimento é fundamental para alcançar os resultados, sendo esperado que esteja relacionado com uma maturidade, autonomia e senso crítico desenvolvidos no decorrer do curso (FISCHER et al. 2012 e 2018).

 

Figura 3: Argumentos utilizados na a avaliação da disciplina pelos estudantes do 1º e 7º períodos em aulas presenciais e remotas, pontos fortes e limitações da metodologia ativa. A frequência da distribuição das categorias foi comparada entre as aulas remotas e presencias por meio do teste do qui-quadrado, sendo os valores significativamente diferentes (P<0,05) acompanhados de asterisco (*) e as comparações entre aulas presenciais (P) e remotas (R) significativas sinalizadas com P<0,05 e não significativas de NS.

Fonte: Fonte dados da pesquisa.

 

A percepção de aplicação da disciplina na realidade diferiu apenas entre os estudantes do 1º período (Figura 4). Os resultados elucidaram que a maior interação com a família oportunizou o compartilhamento do aprendizado, uma vez que a proximidade permite o envolvimento, superando a aplicação individual como relatada pelos estudantes do ensino presencial.

 

 

 

 

 

Figura 4: Perspectiva de aplicação dos temas trabalhados na disciplina pelos estudantes do 1º e 7º períodos em aulas presenciais e remotas. A frequência da distribuição das categorias foi comparada entre em cada categoria por meio do teste do qui-quadrado, sendo os valores significativamente diferentes (P<0,05) acompanhados de asterisco (*).

 

Fonte: Fonte dados da pesquisa.

 

Os resultados do presente estudo, permitido pelo recorte da pesquisa, confirmaram a hipótese de que a utilização do ensino por competências com uso de metodologias ativas e auxiliado por tecnologia foi compatível com o ensino remoto. No entanto, essa constatação confronta autores como Alves (2020), Santana, (2020) e Martins e Almeida (2020) que perceberam na situação emergencial de enfrentamento da pandemia no segmento educacional a reprodução do que há de pior no ensino presencial: a prática de transmissão de conhecimentos e a perspectiva instrumental da tecnologia. Segundo Santana (2020), a pandemia revelou, em novos tempos e velocidades, que é necessário resgatar a compreensão da metodologia freiriana sobre a inviabilidade da educação quanto transferência de conhecimento diante da possiblidade de construção de contextos, evidências de potencialidades e formação de uma rede de inteligência coletiva.  Consequentemente, as aulas remotas devem ser vistas como um caminho para complementação de conteúdos interdisciplinares, reforço de saberes e formação do cidadão, hábil no enfrentamento dos desafios (CERICATO; SILVA, 2020, MARTINS; ALMEIDA, 2020).

Ressalva-se que embora para muitas instituições as aulas remotas tenham sido uma alternativa repentina e paliativa, os ambientes virtuais em aulas híbridas já vêm sendo estudados há tempos.  Moura e Cruz (2008), Cardoso (2011) e Roesler et al. (2013) discutiram técnicas para viabilizar as aulas remotas, em associação com as presenciais, considerando a comodidade e economia de tempo e dinheiro, instigando que as limitações deveriam ser estudadas para promover instrumentos eficientes, fundamentais para o enfrentamento de situações emergências como as vividas atualmente.

Nesse contexto, enquanto algumas instituições prontamente se mobilizaram para uso de alternativas com lives, web conferência, uso de aplicativos e softwares, outras suspenderam as aulas (ARRUDA, 2020). A discrepância pode ser observada na pesquisa de Silva et al. (2020) em que cerca de metade dos docentes entrevistados disseram ter recebido capacitação, 9,7% eram de instituições que foram fechadas e 11,3% receberam, inclusive, apoio financeiro para aquisição de equipamentos. Essa desigualdade compromete o princípio ético da isonomia, uma vez que alunos e professores não têm acesso as mesmas oportunidades. Estas incluem tanto o acesso e domínio da tecnologia quanto a preparação e a segurança do docente em promover, acompanhar e avaliar o desempenho dos estudantes considerando a preparação para autonomia, a disponibilização de infraestrutura para os estudos e a saúde mental (SANTOS et al., 2020).

Os dados do presente estudo sugerem que a aula remota pode se constituir de uma estratégia intrínseca ao processo de aprendizagem que visa o desenvolvimento da autonomia, comprometimento, motivação, dedicação e senso crítico. Além disso, conflui como o tempo de exposição do professor, no estímulo à outras possibilidades de convivência e aprendizado equilibrando o real e o virtual. Para Santana (2020), a educação há muito tempo não se posiciona e não assume seu papel, está obsoleta e é incapaz de responder questões contemporâneas na promoção de ações pedagógicas efetivas. Segundo o autor, a educação resiste a modernidade e a tecnologia, se ausenta nas políticas públicas e não se apropria dos espaços virtuais que foram ocupados pelo entretenimento.

Alves (2020) alertou para necessidade de um ordenamento internacional no estabelecimento de regras para o enfrentamento coordenado de retorno as aulas. A efetividade da retomada das atividades presenciais demanda soluções equitativas e normatizações na distribuição de recursos e  estabelecimento de um grande fórum de debates na determinação de trilhas estratégicas.  No entanto, as ações devem ser locais com reflexos globais, para que a escola seja fortalecida em seu papel como eixo central da sociedade (ARRUDA, 2020). Logo, a situação emergencial deve ser aproveitada para fomentar políticas de universalização do acesso a informações e conhecimentos. Segundo Arruda (2020) e Cericato e Silva (2020), o ensino superior precisa apoiar o ensino básico, principalmente incluindo a tecnologia na formação de professores e mostrar o conhecimento gerado para sociedade, diminuindo as desigualdades.

A similaridade do desempenho acadêmico dos estudantes submetidos a aulas presenciais e remotas reiteram o papel da educação na formação de novas gerações que detenha o domínio da tecnologia e promova integração social, econômica e cultural (XIAO; Li, 2020). Contudo, mesmo na universidade privada do presente estudo foram evidenciadas que as desigualdades econômicas, físicas e emocionais são comprometedoras do desempenho nas aulas remotas. Segundo Silva et al. (2020), o uso da tecnologia na educação pode ser mais excludente do que inclusivo, devido a precarização da capacitação técnica e pedagógica do docente. Esse cenário é um desafio para formação do docente hábil no domínio de diferentes variáveis, conteúdos, materiais e recursos didáticos. Neste contexto, Cruz (2008) apontou para necessidade de formação do professor midiático, o profissional que trabalha dentro do ambiente virtual, dominando a linguagem áudio/visual como uma essência de ensinar, não apenas como uma ferramenta.

Diante dos resultados favoráveis das aulas remotas e da adesão de estudantes e professores, questiona-se, principalmente ao nível de graduação e pós-graduação, se a aula remota será concebida apenas como uma estratégia emergencial ou se será uma alternativa para mundo pós-pandêmico (ROSA, 2020, VERCELLI, 2020). A vivência na pandemia Covid-19 pode ser tomada como experiência para novos paradigmas. Porém, segundo Rosa (2020), é necessário também refletir sobre o futuro da informatização das escolas, formação inicial e continuada de professores e especialistas em tecnologia e mídias digitais preparados para estratégias diversificadas. Rosa (2020) alertou que o uso da tecnologia é o caminho para transformar a habilidade e competência do aluno de se tornar protagonista do seu aprendizado, devendo ser trabalhada conjuntamente com metacognição, trabalho em equipe, construção de ambientes de aprendizagem, mediação, organização de ferramentas e oferecimento de múltiplos caminhos.

Reitera-se, corroborando Martins e Almeida (2020), que não se trata da inclusão da tecnologia, mas sim da transformação do ato educativo. Para Vercelli (2020), a pandemia Covid-19 antecipou décadas de mudanças. Bem como oportunizou repensar o modelo educativo, as possibilidades da tecnologia e formas de ensino/aprendizagem, quebrar barreiras de padrões enraizados, usar ferramentas para otimizar o tempo, modernizar a estrutura curricular, o ensino/aprendizagem e a avaliação (CERICATO; SILVA, 2020). Vercelli (2020) percebeu na pandemia uma evidência levantada por Cruz (2008) de cooperação entre os docentes, no apoio mútuo e na troca de experiências, permitindo a exposição de fragilidades e a quebra de resistências. Logo, neste momento, acolher a percepção de todos os atores envolvidos no ensino visa a melhora das aulas remotas e a transposição da difusão e modernização das experiências (OLIVEIRA-TAVARES, 2019).

Finalmente, se deslumbra com essa pesquisa a consolidação de uma nova pedagogia construída por professores de diferentes matérias e para diferentes cursos. Santana (2020) se referiu a pedagogia da presença, considerando que toda circunstância e todo ato educativo demanda presença, conexão entre o sujeito que ensina e o que aprende, seja na programação, tecnologia, projeto ou currículo. A presença é um elemento fundamental da condição humana, e a situação atual é uma oportunidade de as instituições aprenderem os novos contornos resultantes da pandemia Covid-19 que expôs os desafios que já estavam sendo enfrentados na educação (OLIVEIRA-TAVARES, 2019). Martins e Almeida (2020) reforçaram o acolhimento da transformação e que não voltemos ao antigo normal. A tecnologia, em associação com a pedagogia, potencializa práticas colaborativas e construções conjuntas no ciberespaço que demanda de um docente ativo, interativo e preocupado com diálogo (CECÍLIO; SOUSA, 2009). 

 

Considerações finais

Os dados do presente estudo, no recorte permitido pela pesquisa, viabilizaram caracterizar a adesão dos estudantes do início e final do curso de ciências biológicas às aulas remotas por meio da expressão de seus sentimentos com relação à pandemia Covid-19, opinião sobre as aulas remotas, autoavaliação do aprendizado e desempenho acadêmico. A pesquisa conduzida em 2020, durante a pandemia Covid-19, ilustraram os sentimentos de tristeza do estudante do 1º período que estava iniciando o seu projeto profissional com a expectativa de vivência, principalmente das aulas práticas de laboratório. Assim como confrontaram-nos com os sentimentos de frustração do estudante do 7º período que se preparava para finalização do curso e entrada no mercado de trabalho.

Os estudantes demostraram receptividade a mudança emergencial das aulas do formato presencial para o remoto, uma vez que as metodologias pedagógicas e o encaminhamento das disciplinas previamente adotadas pela instituição se mostram compatíveis com as demandas das aulas remotas. Os benefícios e as limitações levantados correspondem ao que demostram pesquisas passadas e presentes. Neste contexto, se destacaram o conforto e segurança de estudar em casa com os benefícios de economia de tempo e dinheiro vinculados à mobilidade, porém indicando como barreiras os problemas de acesso e qualidade de conexão e equipamentos eletrônicos.

Os estudantes submetidos a aulas remotas não indicaram limitações metodológicas ou avaliativas, sendo inclusive atribuídos valores equivalentes ao aprendizado, aos benefícios e para as limitações das metodologias ativas aos estudantes que vivenciaram a mesma disciplina no formato presencial em 2018 e em 2019. O aluno demostrou receptividade e compreensão da situação emergencial valorizando a performance do professor, contudo, igualmente demostrando entender que seu comprometimento é fundamental.

A presente pesquisa se constitui de um indicativo de que é fundamental investir na modernização do ensino e na preparação do docente e discente para um futuro desconhecido. Há algum tempo se discute que as demandas do mundo têm se tornado mais efêmeras e as mudanças de perspectivas se processam a uma velocidade maior. A ponto de que o profissional preparado ao longo de um curso de graduação já esteja obsoleto ao entrar no mercado de trabalho. Pensando justamente em habilitar esse profissional nas tomadas de decisões pautadas em referenciais orientadores sólidos, contudo resilientes e disruptivos, o ensino por competência, o uso de metodologias ativas e as TIC têm sido inseridos no ensino. A adoção dessa perspectiva pedagógica tem encontrado resistência em modelos tradicionais que atrasam a inserção da tecnologia, afetando toda cadeia educacional que começa no professor universitário, passa pelo professor em formação e impacta os estudantes do ensino básico e, consequentemente, a sociedade.

A situação emergencial vivenciada com a pandemia Covid-19 evidenciou fragilidades latentes, bem como desigualdades potencializadas pela falta de interesse de investir na melhoria do ensino. Logo, é fundamental tomar os prejuízos e os sucessos como legado para construção de um novo futuro para educação. O tão aclamado “novo normal” deve valorizar a instituição de ensino como espaço de construção do profissional e do cidadão. Para tal, se faz necessário romper paradigmas, tal como evidenciado nesse estudo. Ensinar por competência e por metodologias ativas não se constitui apenas de técnica, mas de toda uma concepção de como deve ser construído o aprendizado aliado a aspectos emocionais e éticos que permitam, tanto ao professor quanto ao estudante, entenderem a existência de diferentes trilhas que formam um caminho rumo ao conhecimento almejado.

 

Agradecimentos

Aos estudantes do curso de ciências biológicas da PUCPR

 

Referências

ALVES, Lyn. Educação remota: entre a ilusão e a realidade. Interfaces Científicas-Educação, Aracajú, v. 8, n. 3, pp. 348-365, jun. 2020.

ARRUDA, Eudício P. Educação remota emergencial: elementos para políticas públicas na educação brasileira em tempos de Covid-19. EmRede-Revista de Educação a Distância, Porto Alegre, v. 7, n. 1, pp. 257-275, maio 2020.

BARBOSA, André M.; VIEGAS, Marco A. S.; BATISTA, Regina L. N. F. F. Aulas presenciais em tempos de pandemia: relatos de experiências de professores do nível superior sobre as aulas remotas. Revista Augustus, Rio de Janeiro, v. 25, n. 51, pp. 255-280, jun. 2020.

BRASIL. Portaria Nº 343, de 17 de março de 2020. Dispõe sobre a substituição das aulas presenciais por aulas em meios digitais enquanto durar a situação de pandemia do Novo Coronavírus - COVID-1. Disponível em: < https://www.in.gov.br/en/web/dou/-/portaria-n-343-de-17-de-marco-de-2020-248564376 > Acesso em: 21 jan. 2021.

CARR-CHELLMAN, Ali.; DIXON, Reymond. Review of Reigeluth, CM, & Karnopp, JR (2020). Vision and Action: Reinventing Schools through Personalized Competency-Based Education. TechTrends, Georgia, v. 64, pp. 545–546, mar 2020.

CECÍLIO, Sálua; DE SOUSA, Priscila Perim. Entre senhas e telas: as reconfigurações do trabalho docente. Educação, Santa Maria, v. 34, n. 2, p. 391-404, jun. 2009

CERICATO, Itale L.;SILVA, Jorge L.B. Educação e formação em tempos e cenários de pandemia. Olhares: Revista do departamento de educação da Unifesp, São Paulo v. 8, n. 2, pp. 3-14, ago 2020.

CRUZ, Dulce Márcia. A construção do professor midiático: o docente comunicador na educação a distância por videoconferência. Cadernos de Educação. Pelotas, v.30, pp. 201-214, jul. 2008.

FISCHER, Marta L.; GRECA, Ana C. S.; GOMES, Carlos J.; MOSER, Ana M.  Percepção de carreira e projeto profissional de alunos do curso de Biologia. Estudos de Biologia, Curitiba v. 34, n. 82, pp. 9-21, 2012.

FISCHER, Marta L.; CUNHA, Thiago R.; MOSER, Ana M., & DINIZ, Ana L. F. Metodologias inovadoras no ensino da bioética para o curso de Licenciatura em Ciências Biológicas. EDaPECI, Sergipe e Alagoas, v. 18, n. 2, pp. 128-142, 2018.

GRUPO DE LINGUÍSTICA DA INSITE. Processador Linguístico de Corpus. Disponível em: <http://linguistica.insite.com.br/corpus.php> Acesso em: 25 abr. 2020.

HANNEL, Kelly; SILVA Verônica B., FERREIRA-FILHO, Raymundo.; SILVEIRA, Ricardo A. (2005). Estudo de Caso no Curso de Ciência da Computação/UFPEL: Aulas Remotas Utilizando Streaming de Vídeo e Chat como Ferramenta de Comunicação Interativa. RENOTE, Porto Alegre, v. 3, n. 1, pp. 1-8, maio 2005.

MARTINS, Vivian; ALMEIDA, Joelma. Educação em tempos de pandemia no brasil: saberes fazeres escolares em exposição nas redes. Revista docência e cibercultura, Rio de Janeiro, v. 4, n. 2, pp. 215-224, 2020.

MOURA, Tereza Raquel Augsburger; CRUZ, Dulce Maria. O professor midiático no ensino presencial: uma pesquisa sobre o apoio docente para a virtualização da sala de aula. Cadernos de Educação, Pelotas, v. 31, pp. 291-306, jul. 2008.

OLIVEIRA-TAVARES, Fernando Gomes. O conceito de inovação em educação: uma revisão necessária. Educação, Santa Maria, v. 44, p. 4-1-19, jan. 2019.

PUCPR (2020).  Creare. Disponível em: <https://www.pucpr.br/professor/suporte-ao-professor/creare/>. Acesso em: 5 out 2020.

ROESLER, Valter; CERON, João M.; ANDRADE, Maycon. Aulas remotas on-line utilizando transmissão de vídeo: estudo de caso na Informática da Unisinos. Anais... Brazilian Symposium on Computers in Education, 2003. pp. 166-175.

ROSA, Roseane T.N. Das aulas presenciais às aulas remotas: as abruptas mudanças impulsionadas na docência pela ação do Coronavírus - o COVID-19! Rev. Cient. Schola Colégio Militar de Santa Maria, Santa Maria, v. 6, n. 1, pp.1-4, jul.  2020.

SANTANA, Camila. Pedagogia do (im) previsível: pandemia, distanciamento e presencialidade na educação. Debates em Educação, Alagoas, v. 12, n. 28, pp. 42-62, Set. 2020.

SANTOS, Clemilson C et al.. Um relato sobre os desafios das atividades remotas em um curso de graduação presencial diante das medidas de prevenção contra o SARS-CoV-2. RENOTE, Porto Alegre, v. 18, n. 1, pp. 1-10, maio 2020.

SILVA, E Ellery H.B.; SILVA-NETO, Jerônimo G.; SANTOS, Maltide C. Pedagogia da pandemia: reflexões sobre a educação em tempos de isolamento social. Revista Latino-Americana de Estudos Científicos, Vitória, v.1, n.4, pp. 29-44, set. 2020.

SOUSA, Marcelo J. Percepções de Qualidade dos Alunos de Aulas Remotas de Pós-graduação: o Estudo em uma IES do Estado do Pará. EaD em Foco, Rio de Janeiro, v. 10, n. 3, p. e1061, ago. 2020.

ROMERO-Hall, Enilda, HSIAO, E-Ling. & GAO, Fei. The (Re)adaptability of Research Methodologies in the Instructional Design & Technology Field. TechTrends Georgia, v. 62, pp. 424–426, set. 2018.

VERCELLI, Ligia C.A. Aulas remotas em tempos de Covid-19: a percepção de discentes de um programa de mestrado profissional em educação. Revista@ ambiente educação, São Paulo, v. 13, n. 2, p. 47-60, maio 2020.

XIAO, Chunchen; LI, Yui. Analysis on the Influence of the Epidemic on the Education in China. In: 2020 Anais.. International Conference on Big Data and Informatization Education (ICBDIE), p. 143-147, 2020. Disponível em: <https://ieeexplore.ieee.org/stamp/stamp.jsp?tp=&arnumber=9150164>. Acesso 5 out 2020.

ZHANG, Jiahui.; WEST, Richard E. Designing Microlearning Instruction for ProfessionalDevelopment Through a Competency Based Approach. TechTrends, Georgia, v. 64, pp. 310-318, maio 2020.

This work is licensed under a Creative Commons Attribution-NonCommercial 4.0 International (CC BY-NC 4.0)