Universidade Federal de Santa Maria
REGET, Santa Maria, v. 24, e 44, 2020
DOI: https://doi.org/10.5902/2236117039171
Received: 22/07/2019 Accepted: 08/05/2020 Published 28/05/2020
Enviromental Technology
Effect of the addition of residue of the clarification of vegetable oil in the mechanical behavior of a lateritic tropical soil
Efeito da adição de resíduo da clarificação de óleo vegetal no comportamento mecânico de um solo tropical laterítico
Weliton Eduardo Lima AraujoI
Danilo Guimarães AlmeidaII
Rênystton de Lima RibeiroIII
Layson Barbosa MendonçaIV
I Departamento de Engenharia, Faculdade de Engenharia Ambiental, Universidade de Rio Verde, Rio Verde, GO, Brasil – weliton@unirv.edu.br
II Departamento de Engenharia, Faculdade de Engenharia Civil, Universidade de Rio Verde, Rio Verde, GO, Brasil – dalmeida@unirv.edu.br
IIIDepartamento de Engenharia, Faculdade de Engenharia Ambiental, Universidade de Rio Verde, Rio Verde, GO, Brasil – renystton@unirv.edu.br
IVGraduando em Engenharia Ambiental, Faculdade de Engenharia Ambiental, Universidade de Rio Verde, Rio Verde, GO, Brasil - layson_cpa@hotmail.com
Abstract
The objective of this work was to evaluate the performance of the mechanical resistance of the discarded clay and residual lateritic tropical soil mixture in order to provide an environmentally adequate destination for the residue through its application in base layers and sub-base of flexible pavements. The mixtures were composed of 100% solids, 100% discarded clarifying clay (DCC), 05% DCC + 95% solids, 10% DCC + 90% solids, 20% DCC + 80% 70% soil and 40% DCC + 60% soil, totalizing seven experimental units. To evaluate the mechanical performance, the Proctor and California Support Index (CBR) compaction tests were carried out at intermediate and modified energies. The mixtures obtained similar granulometric behavior to the local soil, observing a change of the fine fraction due to the increase of the same residue. The results of mechanical resistance indicated a better performance of the mixtures with 10% of DCC + 90% soil and 20% of DCC + 80% soil, in the modified energy, being recommended as material for the execution of pavements. For the other mixtures, it is recommended only the use in the execution of sub-bases of flexible pavements.
Keywords: Flexible pavements; Industrial waste; Clarifying lands
Resumo
O objetivo desse trabalho foi avaliar o desempenho da resistência mecânica da mistura de argila clarificante descartada e solo tropical laterítico residual, no intuito de proporcionar uma destinação ambientalmente adequada ao resíduo por meio da sua aplicação em camadas de base e sub-base de pavimentos flexíveis. Foram utilizadas misturas compostas por 100% solo, 100% argila clarificante descartada (ACD), 05% ACD + 95% solo, 10% ACD + 90% solo, 20% ACD + 80% solo, 30% ACD + 70% solo e 40% ACD + 60% solo, totalizando sete unidades experimentais. Para avaliação do desempenho mecânico, foram realizados os ensaios de compactação Proctor e Índice de Suporte Califórnia (CBR), nas energias intermediária e modificada. As misturas obtiveram comportamento granulométrico similar ao solo local, observando-se uma alteração da fração fina devido o incremento do resíduo as mesmas. Os resultados de resistência mecânica indicaram um melhor desempenho das misturas com 10% de ACD + 90% solo e 20% de ACD + 80% solo, na energia modificada, sendo recomendadas como material para execução de base de pavimentos. Para as demais misturas, recomenda-se apenas o emprego na execução de sub-bases de pavimentos flexíveis
Palavras-chave: Pavimentos flexíveis; Resíduos industriais; Terras clarificantes
1 Introduction
The beneficiation of soybean by agroindustries is mainly done through crushing, aiming at the production of vegetable oil and bran. Among the procedures performed for this purpose are degumming, neutralization, bleaching and oil deodorization (SILVA et al., 2019). Clarification or bleaching for the purpose of reducing the amount of impurities and substances that color the oil (MARAGONI, 2018).
The terms clarifying earth, bleaching earth, clarifying clay or adsorbent clay are used in the oil degumming industries to denote clays which, in the natural state or after chemical or thermal activation, have the property of adsorbing the dissolved coloring matter of mineral, vegetable, and animals (SANTOS and COELHO, 2007).
The use of clays to remove pigments in vegetable oils is not a new procedure. These mineral materials have been used for a long time in the clarification or bleaching of vegetable oils and animal fats, giving rise to the so-called "Clarifying Discarded Clay" (CDC) (PATRICIO, HOTZA and NONI JÚNIOR, 2014).
Moretto and Fett (1998) report the consumption of clarifying clay around 1 to 5%, by mass, of the oil that is clarified in stainless steel tanks, for each repetition of the process carried out in the soya crushing industries. The separation of the added clay together with the impurities collected from the fluid is carried out by filtration process (MARAGONI, 2018).
The residue generated in the filtration, the CDC, is difficult to discard and if disposed inadequately in the environment, it promotes a great amount of unwanted impacts. One of the main problems caused by the disposal of this material in the environment refers to the residual oil concentration in the environment, ranging from 20 to 35%, which leads to constant fire principles where this material is stored or disposed (OLIVEIRA et al, 2016). Thus, the lack of technology for the reuse of leftovers from an industry causes the material to be sent to industrial landfills, or even to have an inadequate reuse (PATRICIO, HOTZA and NONI JÚNIOR, 2014).
As determined by the National Policy on Solid Waste, established by Law 12,305 of August 2, 2010, priority is given to the search for reduction mechanisms in the generating source, followed by mechanisms capable of reusing or recycling waste from anthropic activities, aiming to disposal of these materials in the environment (BRASIL, 2010).
Similarly, Pires et al. (2016), report that the reuse of a waste and the better use of raw materials are seen by many experts as the only way out of the continuity of the technological process already implemented, because they act in perfect harmony with the needs of today's world.
In this context, the pavement of highways and urban roads, because it requires a large volume of mineral material for the composition of its constituent layers, has in the technical-scientific environment a possible receiver of alternative materials, mainly materials from waste products and industrial processes (ARAUJO, 2008).
Due to this need for constructive materials, it is possible to notice the degradation of many native areas, through the suppression of existing vegetation and soil disruption, aiming at the extraction of granular material, gravel, to meet the demand of the same in the works of (LUZ, REZENDE and CASTRO, 2011). This methodology of work ends up promoting new problems, due to the environmental degradation of these areas which must be resolved by municipalities.
In addition to the capacity to absorb a large volume of material, research involving the use of alternative materials to replace lateritic gravel, a material traditionally used for this purpose, has shown improvements in the conditions of support capacity and mechanical strength of the local soils, reflecting in a (Pires et al., 2006). In this study, the results of the study were based on the results obtained by the authors.
Due to the generation of this solid residue, DCC, as well as the difficulty in the adequate final disposal of the same and the demand for alternative materials for the base composition and sub-base of flexible pavements, the use of these residues in order to increase the mechanical resistance of pavements, presents itself with an alternative to the problems faced by these sectors today.
Thus, the search for mechanisms of destination for these residues also becomes interesting for the parties involved in this process, that is, municipal government and vegetable oil refining agroindustries. Therefore, the objective of this work was to study in the laboratory the technical feasibility of using the residue denominated DCC, mixed with local soil, as an alternative material for the construction of flexible pavements.
2 MATERIAL AND METHODS
The soil used in the research project was collected from a storage box of this material, located inside the Fazenda Fontes do Saber campus, and it belongs to the University of Rio Verde (UniRV). The discarded clarifying clay (DCC) was obtained by means of donation of the material made by a large soy industry located in the municipality of Rio Verde-GO. Due to the residual of vegetal oil present in this residue, it could not be used for the experiment on its immediate form. In this sense, it was necessary to stabilize the material, by eliminating the oil and organic matter present in it.
The DCC was thermally stabilized by incinerating the material in a muffle in the materials building laboratory of the UniRV mechanical engineering faculty. The thermal stabilization of this residue was chosen because of the less costly cost, compared to the chemical stabilization of this material, as demonstrated by Foletto; Alves and Porto (2003).
Laboratory tests were carried out to characterize the materials and observe their parameters when compacted. As for the risk of environmental contamination, it was eliminated by means of the previous thermal stabilization of the material. Table 1 presents a summary of the tests that were performed with the seven samples at the UniRV Soil Mechanics Laboratory, Rio Verde Campus.
Table 1 - List of laboratory tests and their respective technical standards
|
Test |
ABNT Regulation |
|
|
Granulometry |
NBR 7181 (ABNT, 2017a) |
|
|
Solids Density |
NBR 6458 (ABNT, 2017b) |
|
|
Liquid Threshold |
NBR 6459 (ABNT, 2016a) |
|
|
Plasticity Limit |
NBR 7180 (ABNT, 2016b) |
|
|
Compactation |
Energy Intermediate |
NBR 7182 (ABNT, 2016) |
|
Energy Intermediate |
||
|
Expansions and California Bearing Ratio |
Energy Intermediate |
NBR 9895 (ABNT, 2017) |
|
Energy Modified |
||
Source: prepared by the authors, 2018.
For the accomplishment of the laboratory studies were defined 7 (seven) treatments (samples), which are: Treatment T1 (100% soil); Treatment T2 (100% discarded clarifying clay DCC); Treatment T3 (05% DCC + 95% soil); Treatment T4 (10% DCC + 90% soil); Treatment T5 (20% DCC + 80% soil); Treatment T6 (30% DCC + 70% soil) and Treatment T7 (40% CDC + 60% alone).
Once the materials percentages in each treatment were defined, average analyzes were performed. For each experimental unit, a sample composed of 3 simple samples (repetitions) was obtained. For statistical analysis of the data they were performed using variance analysis (ANOVA) and when there was significance, the Tukey means comparison test was applied at 5% probability utilizing SISVAR statistical software (FERREIRA, 2011).
.
3 Results and Discussion
3.1 Characterization of treatments
The study on the particle size fractions on the analyzed materials described in Table 2 showed that the discarded clarifying clay (T2) fits within the silt range, with more than 80% of the particles retained in the no. 200.
The studied local soil (T1) presented 46% of its particles in the sand range, being able to be classified as a clay sand, according to other concentrations of its particles along the granulometric distribution.
Table 2 - Granulometric fractions of the seven treatments studied
|
Granulometric Distribution |
Treatments |
||||||
|
T 1 (%) |
T 2 (%) |
T 3 (%) |
T 4 (%) |
T 5 (%) |
T 6 (%) |
T 7 (%) |
|
|
Gravel |
0 |
0 |
0 |
0 |
0 |
0 |
0 |
|
Sand |
46 |
6 |
42 |
40 |
40 |
44 |
46 |
|
Silt |
24 |
84 |
34 |
34 |
36 |
34 |
36 |
|
Clay |
30 |
10 |
24 |
26 |
24 |
22 |
18 |
* T1: 100% soil; T2: 100% DCC; T3: 05% DCC + 95% soil; T4: 10% DCC + 90% soil; T5: 20% DCC + 80% soil; T6: 30% DCC + 70% soil e T7: 40% DCC + 60% soil. Source: survey data, 2018.
The treatments T3, T4, T5 and T6 did not present much variation among themselves in relation to the percentage of particles retained in each granulometric range. Analyzing the soil (T1), it is possible to observe a decrease in the percentage of particles in the sand belt and an increase in the silt and clay fractions. In the T7 treatment, it is possible to observe a decrease of the clay percentage in relation to the pure soil, presenting behavior of silt sand. In Figure 1, the behavior of the grain size curves of all evaluated treatments is demonstrated
Figure 1 – Curves of the granulometric distributions for the evaluated treatments
Source: Survey data, 2018.
By visualizing the granulometric distribution curves it is possible to identify similar behavior of the mixtures for the gravel, sand and silt bands. Also, the transition of the granulometric variation of the blends evaluated for the fine fraction (silt and clay) is visualized, due to the increase of the DCC in each of them.
The granulometric curve of T2 (100% DCC) shows that almost all of the particles contained within the silt range have a low fraction of intermediate material (sands) and coarse gravel (gravel). Luz, Rezende and Castro (2011), obtained similar behavior in the evaluation of soil / filler mixture of micaxist rock, applied to flexible pavement in an experimental section.
Another test carried out to characterize the evaluated materials refers to the determination of the specific mass of the grains. Caputo (2008) reports that the value of the specific mass of the soil grains is directly associated with the mineralogical constituents of the particles, and that for most soils their value ranges from 2.65 to 2.85, decreasing to the soils it contains high organic matter content and increasing soils rich in iron oxide. The values obtained for this assay are described in Table 3.
Table 3 - Results of the grain specific mass test of the evaluated treatments
|
Property |
Treatments |
||||||
|
T 1 |
T 2 |
T 3 |
T 4 |
T 5 |
T 6 |
T 7 |
|
|
(g.cm-3) |
2,810 |
2,790 |
2,798 |
2,783 |
2,772 |
2,776 |
2,756 |
* = Grains density. Source: research data, 2018.
Treatment T1 (100% soil) presented the highest value for this test, being among the variation described by Caputo (2008), and that this proximity to the maximum typical variation described by the author may indicate the presence of iron oxides in the local soil, characterizing it as lateralized.
Evaluating values obtained for other treatments, it is possible to identify that there was no significant variation among them and that all are within the range described by the above mentioned author. Comparing the behavior of these treatments with that of T1, it is possible to verify a decrease in the values of the specific mass with the increase of the DCC incorporation.
As a final part of the characterization stage of the evaluated treatments, the limits of consistency and possession of these results were determined and with the granulometric evaluation of them, it was possible to classify them according to the Unified Soil Classification System (USCS) and Transportation Research Borad (TRB). The results of this step are shown in Table 4
Table 4 - Results of the tests of consistency limit and classification of the evaluated treatments
|
Property |
Treatments |
||||||
|
T 1 |
T 2 |
T 3 |
T 4 |
T 5 |
T 6 |
T 7 |
|
|
wL(%) |
36,3 |
30,2 |
35,2 |
33,7 |
32,2 |
30,5 |
29,1 |
|
wP (%) |
26,5 |
24,3 |
25,8 |
22,1 |
21,7 |
21,0 |
20,4 |
|
IP (%) |
9,8 |
6,2 |
9,4 |
11,6 |
10,5 |
9,5 |
8,7 |
|
USCS Classification |
CL |
ML-CL |
CL |
CL |
CL |
ML |
ML |
|
TRB Classification |
A-4 |
A-4 |
A-4 |
A-6 |
A-6 |
A-4 |
A-4 |
* wL = Liquidity threshold, wp = Plasticity threshold, IP = Plasticity Index, NP = Non plastic, SC= Sand-clay soil, CL= Low compressibility clay, ML = Low compressibility Silt, A-6= Clay soil, A-4 = Silt soil
Source: research data, 2018.
Comparing the values obtained for the local soil (T1), in relation to the mixtures pertinent to treatments T3, T4, T5, T6 and T7, a decrease in the liquidity and plasticity limits was observed. However, there was variation for the values referring to the plasticity index of these samples. Pitanga et al. (2016), evaluating the physical characteristics of soil-slag blends of steel-fly ash, also obtained a decrease in the liquid limits, by increasing the residue to the studied soil.
Evaluating the other treatments in relation to T2 (100% of DCC), the same behavior of decrease of the values obtained for the consistency limits is also observed. Differently from the T1 treatment, lower plasticity index values were obtained for T4, T5 T6 and T7 treatments in relation to T2. For treatment T3, the value found was higher than T2, close to the value obtained for T1.
Correlating the information pertinent to the granulometric evaluation and the consistency indices of each treatment studied, it was possible to classify the materials, as already shown in Table 4.
Based on the SUCS classification system, the local soil (T1) showed the behavior of a low compressibility clay (CL) and silty soil (A-4), according to TRB. The residue, discarded clarifying clay (T2), was classified as low compressibility clayey silt (ML-CL) and silty soil (A-4).
The mixtures represented by the treatments T3, T4 and T5 presented the same classification, CL, according to the USCS Regarding the TRB classification, they were classified as silty soil (A-4) and clayey soil (A-6), respectively. This difference between the granulometric characteristics in the classifications can be explained by the criterion of each one in relation to the evaluation of the concentration of fines in the treatments, as an element of differentiation of the materials. Considering the obtained classifications, it is estimated that base layers and sub-base of flexible pavements executed with these materials, would present resistance regularity behavior, due to the observed similarity (PITANGA et al, 2016).
The treatments T6 and T7 obtained a classification of silt of low compressibility (ML) and silt soil (A-4), according to the methodologies previously mentioned, being a material of regular to poor behavior bad as layer of pavements.
3.2 Tests of mechanical resistance
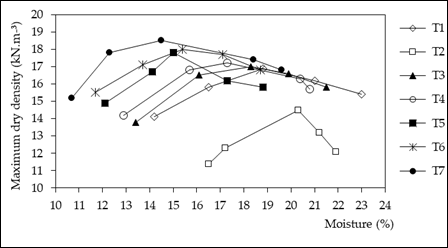
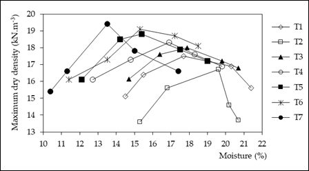
The treatments were submitted to Proctor compaction tests in the intermediate and modified compaction energies, thus defining the optimum moisture content (wot) and the maximum apparent dry weight (dmax). The values of these parameters are described in Table 5.
According to the Analysis of Variance (ANOVA), there were significant differences by the F test at 5% probability, between treatments for the optimal moisture content (Wot) in the intermediate energy (IE) and modified energy (ME). For the maximum apparent dry specific weight (dmax), significant differences occur only for intermediate energy (IE). The values for modified energy (ME), did not differ significantly.
Table 5 – Results obtained in the compaction test for optimum humidity (wot) and maximum dry specific weight (dmax), intermediate energy (IE) and modified energy (ME)
|
Treatments |
wot (%) |
dmax (kN.m-³) |
||
|
EI |
EM |
EI |
EM |
|
|
T1: 100% soil |
18,83 aAB |
17,73 aB |
16,93 aAB |
17,53 aA |
|
T2: 100% DCC |
20,40 aA |
19,63 aA |
14,50 bB |
16,70 aA |
|
T3: 05% DCC + 95% soil |
18,30 aB |
17,87 aB |
17,00 aAB |
18,00 aA |
|
T4: 10% DCC + 90% soil |
17,33 aB |
16,90 aBC |
17,23 aA |
18,27 aA |
|
T5: 20% DCC + 80% soil |
15,03 aC |
15,40 aC |
17,80 aA |
18,77 aA |
|
T6: 30% DCC + 70% soil |
15,40 aC |
15,27 aC |
18,00 aA |
19,07 aA |
|
T7: 40% DCC + 60% soil |
14,47 aC |
13,47 aD |
18,53 aA |
19,37 aA |
*EI: energy intermediate; EM: energy modified; Wot: optimal moisture; dmax: density, DCC: discarded clarifying clay. ** Averages followed by the same capital letter in the column and lower case in the line, do not differ by Tukey's statistical test at 5% probability.
Source: research data, 2018.
The reduction in water demand for Proctor compaction tests, in Intermediate Energy (IE) and Modified Energy (ME) is related to the fact that the mixtures of treatments T3, T4, T5, T6 and T7 tend to behave similarly to silty soil (PINTO, 2002).
Thus, the optimum moisture content (wot) presented a similar behavior in the treatments of all evaluated energies. For Intermediate Energy (IE) treatments T1 (100% soil) and T2 (100% DCC) obtained the highest values of optimum moisture, respectively 18.83 and 20.40%. T2 treatment was significantly superior to T3, T4, T5, T6 and T7 treatments. Regarding Modified Energy (ME), T2 treatment (100% DCC) obtained the highest value of optimal humidity, equal to 19.63%, which is statistically superior to other treatments evaluated. Analyzing the statistical influence of the moisture content between the intermediate versus modified energy, there were no significant differences considering all the evaluated treatments.
The lowest humidity values are related to the increase in Discarded Clarifying Clay (DCC) in the treatments. This behavior is repeated in both compaction energies.
In reference to the values obtained for the maximum apparent dry specific weight (dmax) of the tested materials, in the Intermediate Energy (IE), T7 treatment (40% DCC + 60% soil) numerically obtained the highest result, 18.53 kN.m-³, however, there were no significant differences between treatments T4, T5, T6 and T7. Treatment T2 (100% DCC), with a result equal to 14.50 kN.m-³, was significantly lower than other treatments T4, T5, T6 and T7.
Regarding Modified Energy (ME), there is no significant difference between all treatments evaluated, however, it was possible to observe an increase of dmax as the waste dosage was to the soil is increased, reaching a value of 19.37 kN.m -³ in T7 treatment (40% DCC + 60% soil). This behavior can be observed in the compaction curves for the aforementioned energies, in the graphs showed in Figures 2 and 3.
Considering the statistical relationships of the maximum apparent dry specific weight between intermediate versus modified energy, there were no significant differences in treatments T1, T3, T4, T5, T6 and T7. In the T2 treatment (100% DCC) there was a significant difference between the intermediate and modified energies. The intermediate energy value of 14.50 kN.m-³ was significantly lower (15%) than the modified energy value of 16.70 kN.m-³.
Figure 2 - Compaction curves for the treatments evaluated in the intermediate energy
Source: research data, 2018.
Figure 3 - Compaction curves for the treatments evaluated in the modified energy
Source: research data, 2018.
It is possible to evaluate in the presented graphs the performance of the residue measured to the local soil in relation to the variation of the moisture contents (wót), the specific maximum dry weight (dmax) and determination of the optimal humidity for each treatment. In this sense, it is observed that as the percentage of DCC is increased to the local soil and the compaction energy, there is an increase of (dmax) and decrease of wot.
Bases on dmax and wot values, California Bearing Ratio (CBR) tests were performed, on the two energies already mentioned. The materials were also evaluated for expansion during the saturation period required in the CBR test.
The table 6 and table 7 show the performance of the treatments on the described trials. It is possible to observe that the material of the T2 treatment presented a more expansive behavior in both the molding energies of the specimens, when compared to the other treatments. Rezende, Marques and Cunha (2015) report that soils with a variation of expansion of more than 5% have a restricted use in the composition of the layers of flexible pavements, due to a greater probability of deformations.
Table 6 – Results obtained in the expansion tests (%) for intermediate energy (IE) and modified energy (ME)
|
Treatments |
IE (%) |
EM (%) |
|
T1: 100% soil |
0,02 |
0,02 |
|
T2: 100% DCC |
0,05 |
0,05 |
|
T3: 05% DCC + 95% soil |
0,02 |
0,02 |
|
T4: 10% DCC + 90% soil |
0,02 |
0,02 |
|
T5: 20% DCC + 80% soil |
0,02 |
0,02 |
|
T6: 30% DCC + 70% soil |
0,03 |
0,03 |
|
T7: 40% DCC + 60% soil |
0,03 |
0,03 |
EI: energy intermediate; EM: energy modified, DCC: discarded clarifying clay
Source: research data, 2018.
According to the Analysis of Variance (ANOVA) for the CBR tests (%), there were no significant differences for the treatments in intermediate energy (IE) and modified energy (ME). However, there were significant differences between energies for treatments T1 (100% soil) and T4 (10% DCC + 90% soil). In these treatments the CBR (%) values for Modified Energy (ME) were statistically higher compared to Intermediate Energy (IE), respectively 30.55 and 41.23% of mechanical resistance to penetration.
Table 7 – Results obtained in the CBR tests (%) for intermediate energy (IE) and modified energy (ME)
|
Treatments |
IE (%) |
ME (%) |
|
T1: 100% soil |
17,37 bA |
30,53 aA |
|
T2: 100% DCC |
15,57 aA |
25,30 aA |
|
T3: 05% DCC + 95% soil |
18,47 aA |
31,23 aA |
|
T4: 10% DCC + 90% soil |
22,30 bA |
41,23 aA |
|
T5: 20% DCC + 80% soil |
32,83 aA |
44,47 aA |
|
T6: 30% DCC + 70% soil |
21,27 aA |
32,80 aA |
|
T7: 40% DCC + 60% soil |
19,80 aA |
26,43 aA |
*EI: energy intermediate; EM: energy modified, DCC: discarded clarifying clay. **Averages followed by the same capital letter in the column and lower case in the line, do not differ by Tukey's statistical test at 5% probability
Source: research data, 2018
Within the technical applicability foreseen for the treatments evaluated in the CBR test, only T4 (10% DCC + 90% soil) and T5 (20% DCC + 80% soil), in the modified energy, have potential for use in layers base of flexible pavements, because the present values equal to or greater than 40%, as described by Balbo (2007) (Table 7 and Figure 4).
Among the treatments evaluated in the test of CBR only T4 and T5, in the modified energy, it has technical potential for the use in base layers of flexible pavements, because they have values equal or superior to 40%.
Figure 4 - Graph of the values obtained in the CBR test in normal and intermediate energies.
Source: research data, 2018.
Using the intermediate energy, only T4, T5 and T6 could be recommended for sub-base execution, because they present CBR values ≥ 20%. In the modified energy, all evaluated treatments can be suggested to perform sub-bases, since they exceed the required value. However, because T2 exhibits expansive behavior above 3%, caution is advised when using it for this purpose.
In time, it was observed that in the T7 treatment, 40% of DCC + 60% soil, there was a reduction of the values in both compaction energies, when compared to the other treatments. This behavior was also obtained in the work developed by Luz, Rezende and Castro (2011), evaluating soil-powder mixture of micaxist, thus indicating the maximum rate of incorporation of the residue into the studied soil.
In this sense, the incorporation of the residue called discarded clarifying clay to the local soil becomes a technically feasible alternative, that is, the material has satisfactory mechanical resistance, aiming to obtain blends capable of reducing the volume of traditional natural material used in base layers and sub-base of flexible pavements.
Another benefit of this practice is the achievement of a mechanism capable of absorbing and providing an environmentally adequate destination for this waste that currently causes negative environmental externalities and costs for the agro-industries that generate it (PEDROSO, 2004).
4 Conclusions
During the evaluation of the granulometric analysis, it was possible to verify that the residue in question was treated with fine material, having a clay silt behavior. The local soil also did not present coarse material, behaving like a clay sand. The mixtures of these materials, expressed by the treatments T3, T4, T5, T6 and T7, showed similar granulometric behavior to the source materials, being possible to visualize the change in grain size behavior among them in relation to the increase of the DCC percentage in the mixtures.
In relation to the limits of consistency, it was possible to identify a behavior of the reduction of the values found for the liquidity and plasticity limits in the T3, T4, T5, T6 and T7 treatments in relation to the pure soil (T1). However, this behavior was not replicated for the plasticity index (PI), with values oscillating in relation to the increase of the DCC in the mixtures.
In the Proctor compaction assay, performed in the intermediate and modified energies, aiming at the evaluation of the mechanical behavior of the studied materials, it was possible to observe the behavior of the treatments in reference to the variation of moisture content and maximum dry apparent specific gravity, in the modified energy compared to the normal compaction energy.
The results obtained in the CBR trial demonstrated the possibility of incorporating the residue into the local soil (in T4, T5 and T6), in the intermediate energy, in sub-base of flexible pavements. For the modified energy, all treatments demonstrated satisfactory mechanical strength for the same purpose.
Through the data and interpretations presented, the present work met the proposed objective, being possible to evaluate in laboratory the technical feasibility of the use of the residue called discarded clarifying clay (DCC), measured to the local soil, in order to obtain alternative material for the construction of flexible pavements
References
ASSOCIAÇÃO BRASILEIRA DE NORMAS TÉCNICAS. NBR 7181. Solo – análise granulométrica. Rio de Janeiro. 2017.
ASSOCIAÇÃO BRASILEIRA DE NORMAS TÉCNICAS. NBR 6458. Grãos de pedregulho retidos na peneira de abertura 4,8 mm - Determinação da massa específica, da massa específica aparente e da absorção de água. Rio de Janeiro. 2017.
ASSOCIAÇÃO BRASILEIRA DE NORMAS TÉCNICAS. NBR 7180. Solo – determinação do limite de plasticidade. Rio de Janeiro. 2016
ASSOCIAÇÃO BRASILEIRA DE NORMAS TÉCNICAS. NBR 6459. Solo – determinação do Limite de Liquidez. Rio de Janeiro. 2016.
ASSOCIAÇÃO BRASILEIRA DE NORMAS TÉCNICAS. NBR 7182. Solo – ensaio de compactação. Rio de Janeiro. 2016.
ASSOCIAÇÃO BRASILEIRA DE NORMAS TÉCNICAS. NBR 9895. Solo – Índice de Suporte Califórnia – Método de Ensaio. Rio de Janeiro. 2016.
ARAUJO, W. E. L. Aproveitamento de resíduo da extração de micaxisto em pavimentos flexíveis. (Dissertação de Mestrado). Programa de Pós-Graduação Stricto Sensu em Engenharia do Meio Ambiente. Universidade Federal de Goiás. Goiânia-GO, 142p. 2008. Disponível em: < http://repositorio.bc.ufg.br/tede/handle/tde/597>. Acesso em: 10 jan. 2018.
BRASIL. Lei n° 12.305, de 2 de agosto de 2010. Institui a Política Nacional de Resíduos Sólidos. Disponível em: <http://www.planalto.gov.br/ccivil_03/_ato2007-2010/2010/lei/l12305.htm.>. Acesso em: 28 nov. 2018.
CAPUTO, Homero P. Mecânica dos Solos e Suas Aplicações: Fundamentos. 6. ed. Rio de Janeiro: LTC, 2008. 234 p.
FERREIRA, D. F. Sisvar: a computer statistical analysis system. Ciência e Agrotecnologia, v.35, n.6, p.1039-1042, 2011.
FOLETTO, E. L.; ALVES, C. C. A.; PORTO, L. M. Regeneração e Reutilização de uma Argila Comercial Utilizada na Clarificação de Óleo Vegetal. Cerâmica Industrial, n. 8 (1), p. 43-45. Disponível em: <http://www.ceramicaindustrial.org.br/pdf/v08n01/v8n1_7.pdf>. 2003. Acesso em: 10 jan. 2018.
LUZ, M. P.; REZENDE, L. R. ; CASTRO, S. S. Comportamento de um trecho experimental executado com filer de pedreira. Geotecnia (Lisboa), v. 122, p. 69. 2011
MARAGONI, R. F. Aplicação de planejamento de experimentos na etapa de clarificação de óleo de soja em planta piloto. (Dissertação de Mestrado). Programa de Pós-Graduação em Inovações Tecnológicas. Universidade Tecnológica Federal do Paraná. Campo Mourão – PR. 106p. 2018. Disponível em: < http://repositorio.utfpr.edu.br/jspui/handle/1/3773>. Acesso em: 10 jan. 2019.
MORETTO, E., FETT, R. Óleos e Gorduras Vegetais - Processamento e Análises. (2a ed.). Florianópolis. Editora da UFSC. 1998.
PEDROSO, I. L. P. B. Meio ambiente, agroindústria e ocupação dos cerrados: o caso do município do Rio Verde no sudoeste de Goiás. Revista Multidisciplinar Urutágua, 6, 2-10, Maringá –PR, n.06. 2004. Disponível em: <http://www.urutagua.uem.br/006/06pedroso.htm>. Acesso em: 20 fev. 2018.
PATRICIO, J. S.; HOTZA, D.; NONI JÚNIOR, A. Argilas adsorventes aplicadas à clarificação de óleos vegetais. Cerâmica, 60(354), 171-178. 2014. Disponível em: <https://dx.doi.org/10.1590/S0366-69132014000200002>. Acesso em: 20 fev. 2018.
PINTO, C. S. Curso básico de mecânica dos solos. 2a ed. Oficina de Textos, São Paulo. 2002.
PIRES, G. M., SPECHT, L. P., PINHEIRO, R. J. B., PEREIRA, D. S., RENZ, E. M. Comportamento mecânico de material fresado após processo de estabilização granulométrica e química por meio da incorporação de cimento e cinza de casca de arroz moída. Matéria (Rio de Janeiro), 21(2), 365-384. 2016. Disponível em: <https://dx.doi.org/10.1590/S1517-707620160002.0035>. Acesso em: 26 mar. 2018.
PITANGA, H. N., SILVA, T. O., SANTOS, A. L., SILVA, A. C. B., LIMA, D. C. (). MCT classification for compacted mixtures of soil-steel slag-fly ash for application in forest roads. Revista Árvore, 40(5), 911-919. 2016. Disponível em: <https://dx.doi.org/10.1590/0100-67622016000500015>. Acesso em: 20 fev. 2018.
OLIVEIRA, A. L. R., OLIVEIRA, T. T. A., OLIVEIRA, V. T. A., AMARAL, D. L. Reaproveitamento de argilas esmectitas impregnadas com óleo vegetal na produção de blocos cerâmicos. Congresso Brasileiro de Cerâmica, Águas de Lindóia, SP, Brasil, 60. 2016. Disponível em: <http://www.metallum.com.br/60cbc/anais/PDF/03-058TT.pdf.>. Acesso em: 15 abr. 2018.
REZENDE, L. R.; MARQUES, M. O.; CUNHA, N. L. The use of non-conventional materials in asphalt pavements base. Road Materials and Pavement Design, 16(4), p. 1-16. 2015. Disponível em: <http://dx.doi.org/10.1080/14680629.2015.1055334>. Acesso em: 20 mai. 2018.
SANTOS, P. S.; COELHO, A. C. V. Argilas especiais: o que são, características e propriedades. Química Nova. 30 (1), p. 146-152. 2007. Disponível em: < http://quimicanova.sbq.org.br/detalhe_artigo.asp?id=1763.>. Acesso em: 20 fev. 2018.
SILVA, F. M.; PEDROZA, M. M.; OLIVEIRA, L. R. A.; COLEN, A. G.; AMARAL, P. H. B. Rotas tecnológicas empregadas no aproveitamento de resíduos da indústria da soja. Revista Brasileira de Energias Renováveis. v.8, n. 1. p. 326 – 363, 2019. Disponível em: <http://dx.doi.org/10.5380/rber.v8i1.57694>. Acesso em: 24 mar. 2019.
SILVEIRA, L. R., BORGES, R. A. Uso de Materiais Alternativos para Melhoria de Solo na Pavimentação de Vias. E & S – Engineering and Science, 5(1), 73-82. 2015. Disponível em: <http://www.periodicoscientificos.ufmt.br/ojs/index.php/eng/article/view/3418/2743>. Acesso em 20 mar. 2018.