Logotipo

Descrição gerada automaticamente

Universidade Federal de Santa Maria

Geografia Ensino e Pesquisa, Santa Maria, v. 28, e74062, 2024

DOI: 10.5902/2236499474062

ISSN 2236-4994

Submissão: 15/01/2022  •  Aprovação: 19/01/2023   •  Publicação: 26/04/2024

1 INTRODUÇÃO.. 4

2 METHODOLOGY. 9

3 RESULTS. 16

4 FINAL CONSIDERATIONS. 32

REFERÊNCIAS. 33

Contribuição de autoria. 37

Como citar este artigo. 39

 

Produção do Espaço e Dinâmica Regional

Municipal human development in a directed settlement project in the southern brazilian Amazon

Desenvolvimento humano municipal em projeto de assentamento dirigido no sul da Amazônia brasileira

 

Desarrollo humano municipal en un proyecto de asentamiento dirigido en el sur de la Amazonía brasileña

Joiada LinharesIÍcone

Descrição gerada automaticamente

Josélia Fontenele BatistaIIÍcone

Descrição gerada automaticamente

Pablo Marques da SilvaIIIÍcone

Descrição gerada automaticamente

Davilla Vieira Odizio da SilvaIVÍcone

Descrição gerada automaticamente

Graziela Tosini TejasVÍcone

Descrição gerada automaticamente

IInstituto Federal de Educação, Ciência e Tecnologia de Rondônia,, Cacoal, RO, Brasil

IIInstituto Federal de Educação, Ciência e Tecnologia de Rondônia, , Porto Velho, RO, Brasil

IIIInstituição Federal do Amazonas , Boca do Acre, AM, Brasil

IVInstituição Federal de Amazonas , Humaitá, AM, Brasil

VInstituição Federal de Rondônia , Porto Velho, RO, Brasil

ABSTRACT

The Municipal Human Development Index (MHDI) is a standardized way of assessing human development at the municipal level in Brazil. This study aimed to evaluate the stage of development of the municipalities that emerged in the area of the Marechal Dutra Directed Settlement Project (PAD) in the state of Rondônia (RO). The methodological procedures were organized in steps: creation of a geographic database; statistical analysis; and preparation of thematic maps. Starting from categorical stages of municipal human development (Low, Regular, Moderate and High), Rio de Janeiro State Federation of Industry (FIRJAN), the results showed that the municipality of Ariquemes has a moderate development stage (MHDI = 0.753), while the municipalities of Alto Paraíso, Cacaulândia, Monte Negro, and Rio Crespo are in a regular stage of development, with MHDI between 0.519 and 0.575. The disparity of human development of the municipalities that were created from the consolidation of the PAD Marechal Dutra follows the trend of socioeconomic inequality in Brazilian macro-regions.

Keywords: Rondônia; PAD; Micro-region; Income; Inequality

RESUMO

O Índice de Desenvolvimento Humano Municipal (IDH-M) é uma forma normalizada de aferir o desenvolvimento humano de um município no Brasil. Este estudo teve por objetivo avaliar o estágio de desenvolvimento dos municípios que surgiram na área do Projeto de Assentamento Dirigido (PAD) Marechal Dutra no estado de Rondônia (RO). Os procedimentos metodológicos foram organizados em etapas: 1) criação de base de dados geográficos; 2) análise estatística e; 3) elaboração de mapas temáticos. Com base nos estágios categóricos de desenvolvimento humano municipal (baixo, regular, moderado e alto) da Federação das Industriais o Estado do Rio de Janeiro – FIRJAN, os resultados demonstraram que o município de Ariquemes (RO) apresentou estágio de desenvolvimento moderado (IDH-M = 0,753). Os municípios de Alto Paraíso (RO), Cacaulândia (RO), Monte Negro (RO) e Rio Crespo (RO) encontram-se em estágio regular de desenvolvimento com IDH-M entre 0,519 e 0,575. A disparidade de desenvolvimento humano nos municípios que surgiram na área de consolidação do PAD Marechal Dutra, segue a tendência da desigualdade socioeconômica da macrorregião do Brasil.

Keywords: Rondônia; PAD; Microrregião; Renda; Desigualdade

RESUMEN

El Índice de Desarrollo Humano Municipal (IDH-M) es una forma normalizada de evaluar el desarrollo humano de un município in Brasil. Este estudio tuvo como objetivo evaluar la etapa de desarrollo de los municipios que surgieron en el área del Proyecto de Asentamiento Dirigido Marechal Dutra (PAD) del estado de Rondônia (RO). Los procedimientos metodológicos se organizaron en etapas: creación de base de datos geográficos; análisis estadístico y; Preparación de mapas temáticos. Desde las etapas categóricas del desarrollo humano municipal (bajo, regular, moderado y alto), propuesto por la Federación de Industriales del Estado de Río de Janeiro – FIRJAN, los resultados mostraron que el municipio de Ariquemes presentó un nivel de desarrollo moderado (IDH-M = 0,753). Los municipios de Alto Paraíso, Cacaulândia, Monte Negro y Rio Crespo) se encuentran en una etapa regular de desarrollo con IDH-M entre 0,519 y 0,575. La disparidad de desarrollo humano en los municipios que surgió en el área de consolidación del Pad Marechal Dutra, sigue la tendencia de desigualdad socioeconómica en la macrorregión de Brasil.

Palabras-clave: Rondonia; PAD; Microrregión; Renta; Desigualdad

1 INTRODUÇÃO

It is common in academic studies to find confusion regarding the concept of “development”, due to divergent associations, often flatly contradictory, of economic development and of economic growth as a synonym for development.

The Portuguese word “development” has Latin etymology, derived from the junction of the Latin words “in”, meaning inward movement, and the verb “volvere”, which denotes to reverse, revert, turn around, among others. It is formed by the union of four words, “Des” (prefix of negation or absence), “en” (inward movement), “volver” (to reverse or turn around) and “mento”, a suffix that denotes action (Diniz, 2010). In Brazilian Portuguese language dictionaries Aurélio, it is possible to find various meanings of the word “development”, such as the action or effect of developing. Despite the current linguistic coherence, there is no consensus in the scientific community about the meaning of the word “development”, and the same observation applies to the English word “development”.

One of the scientific applications of the word “development” comes from biology, based on the writings of the naturalist Charles Darwin, who used the word to explain the process of evolution of living beings, with the idea of progress, since living organisms develop toward maturity, i.e., to the adult stage (Glória, 2009).

The ascension of biology as a human and social science occurred at the end of the seventeenth century, and expanded with the concept of social Darwinism (a current of thought in which society is classified as a living being, whereby those composed of the fittest individuals develop or evolve the most, to the detriment of those formed by less fit individuals) (Glória, 2009; Coscioni, 2018).

The naturalistic approach to development has permeated some economic theories, by which development is a “natural” process that all nations will experience sooner or later. However, it is important to analyze the current historical context of nations, be they rich or poor, to understand that the naturalization of development is a mistake, because it can only be attained from creation of a series of basic factors in the economic, social and natural context. From this perspective, development is rooted in the field of politics, more particularly in a local sociopolitical construction.

According to this theoretical concept, progress, territorial expansion and economic growth are not intrinsic and homogeneous features of all human societies, instead being a peculiarity observed in some western and eastern societies. In general, societies demonstrate the capacity to support the production and reproduction of their own movement, to obtain permanent social well-being and quality of life (full satisfaction of the basic cultural and economic needs of a community) of their members (Galinha and Ribeiro, 2005; Santos et al., 2012).

Many studies have attributed the promotion of growth of gross domestic product (GDP) and constant increase in time and space of per capita income as a singular way of achieving development. The advocates of this theory generally do not express concern over income distribution (Oliveira, 2002). In this respect, Frey and Wittmann (2006), Becker (2001) and Riella (2006) have all stressed that the level of development of a community, measured based on quantitative economic indicators such as income, supply of jobs and productive capacity of the population, is not sufficient to explain the full amplitude of the concept of development.

The debate about the concepts of economic growth and development has led to the emergence of two schools of thought with theoretical rigor on this theme. The first, the neoclassical school, assumes that economic growth is a synonym for development, while the second, supported by the Marxist tradition, considers growth to be an essential condition for development, but not sufficient to assure the full socioeconomic well-being achieved by a society (Souza,1993).

According to Veiga (2010), there are three currents related to development. The first is most common, by which development is treated as a synonym of economic growth. The second states that development is nothing more than a simple illusion. In this regard the author explains that the core of developed nations the century remain unchanged. However, there are a large group of peripheral and developing communities that have been trying for a long time to join the select group of international and national developed communities. The third alleges that development must be understood as a process of social transformation, not only in relation to the means, but also the ends, by which a determined geopolitical strategy is implemented for the purpose of enabling the well-being of the people in a given community.

For Frey and Wittmann (2006), development is a process of accumulation in a given geographic region. In essence, this promotes sustainable social change, with the aim of enabling the permanent progress of the people forming the community. Following this line of progressive thought, Becker (2001) stressed that development should be understood as a process of social, political and economic transformation whose dynamic depends on the initiative of the people who integrate the community, at the level of a street, neighborhood and/or municipality.

In line with this theoretical tendency, Oliveira (2002) proposed the concept of development used as a framework for this study, as: “(…) the positive increments of output and income, transformed to satisfy the needs of human beings, such as health, education, housing, transportation, food and leisure, among others.”

Authors like Riella (2006) have focused on theoretical aspects, indicating that development is rooted in the local space, and can be materialized according to the interest of people, as citizens residing in the community, municipality or region. Each of these spatial categories has a characteristic that individualizes it with respect to natural, socioeconomic and political aspects, which in turn influence the quality of life and thus the regional development. With regard for the scale of manifestation of development, Silva (2012, p. 53) argued that “[...] regional development, in my opinion, is local in origin [...]”.

In the regional context, it is important to mention that the history of the organization of the geographic space of Brazil gave rise to a model of regional economic archipelagos, and when efforts were made to dynamize the Brazilian economy at the time of its belated industrialization (in the 1930s), this context of little or no integration became a point of action (Oliveira and Werver, 2014).

In the strategy of micro-regional productive alignment, the North region (more precisely the region classified as the “Legal Amazon”) was elevated to the level of a region for production of inputs (Becker and Stenner, 2008). As such, regional integration policies were formulated, starting in the 1970s with the National Integration Program (PIN), promoting occupation of land in the Amazon to make it productive, so as to serve interests external to the region, aligned with the incipient industrialization in the South and Southeast regions, and to produce primary products for export (Neves and Lopes, 1979; Becker, 1998).

As part of the materialization of the geopolitical goal of regional integration, along with transport infrastructure, emphasis was placed on agricultural reorganization by means of agricultural colonization projects to be implemented in the Legal Amazon. In Rondônia, the focus of this study, between 1970 and 1984 the following Directed Settlement Projects (PAD) and Integrated Colonization Projects (PIC) were implemented: PIC Ouro Preto (1970), PIC Sidney Girão (1971), PIC Ji-Paraná (1972), PIC Paulo de Assis Ribeiro (1973), PIC Adolph Rohl (1975), PAD Burareiro (1974), PAD Marechal Dutra (1978), PAD Machadinho (1982), PAD Bom Princípio (1983) and PAD Cujubim (1984) (Oliveira and Amaral, 2018).

Among these colonization projects created in the state, our interest is the PAD Marechal Dutra, which was organized and financed by the federal government as part of the PIN (Neves & Lopes, 1979). We start from the presupposition that the MHDI values of the municipalities created from consolidation of the PAD Marechal Dutra tend to be better than those of municipalities arising from other categories of colonization projects implemented by the National Institute for Colonization and Agrarian Reform (INCRA) in the Legal Amazon.

A particular fact attracted our attention regarding the socioeconomic research data aggregated by geo-economic micro-regions in Rondônia. Among the micro-regions, three municipalities in eastern Rondônia stand out in the ranking for high per capita income. Besides this, of the 5,570 Brazilian municipalities, one in the Eastern Rondônia micro-region is on the list of the 1000 nationwide municipalities with better MHDI, besides having the third best MHDI in the state ranking, according to data from the Rio de Janeiro State Federation of Industries (Santos & Ferreira, 2010; Firjan, 2018; Lobão; Lima & Raiher., 2018). These data reveal the good level of human development of the residents of the Eastern Rondônia micro-region, and as a consequence, of the municipalities that emerged from consolidation of the PAD Marechal Dutra.

In light of this, this situation warrants further investigation, the purpose of this study. Therefore, our aim was to evaluate the stage of human development of the municipalities that were created in the area of the Marechal Dutra Directed Settlement Project (PAD Marechal Dutra) between 1991 and 2018, to be able to collaborate with future studies on this subject and also with the public authorities, for future planning and development actions in this area.

2 METHODOLOGY

2.1. Delimitação da área de estudo e dos participantes da pesquisa

2.1 Study Area

The PAD Marechal Dutra was implemented by INCRA in the then federal territory of Rondônia in September 1978. It is located within the limits of the Eastern Rondônia micro-region, more specifically in the Jamari Valley. It has an area of 478,546 hectares and capacity for settlement of 4,672 households, but only 4,603 households were established, in lots measuring 100 hectares. Besides Ariquemes, the following municipalities emerged from consolidation of the PAD Marechal Dutra: Alto Paraiso; Cacaulândia; Monte Negro; and Rio Crespo (Figure 1).

In this study, we selected eight municipalities for close examination, the six identified above in Rondônia, one in the state of Acre (AC) and one in the state of Amazonas (AM). Each of them has origin and socioeconomic characteristics based on implementation of a Directed Agricultural Colony (CAD), Directed Settlement Project (PAD) or Integrated Colonization Project (PIC). The history of the creation of the municipalities in Rondônia is based on the descriptions of Silva-Filho (1995), as indicated below:

I) Alto Paraíso (RO) emerged from the Paraíso Urban Nucleus for Rural Support (NUAR) during implementation of the PAD Marechal Dutra. It was elevated to the category of municipality by Law 375 of February 13, 1992, with the inclusion of areas detached from the municipalities of Ariquemes and Porto Velho.

II) Ariquemes (RO) was elevated to the category of village by means of Resolution 735 of October 3, 1915. It was formerly part of the 3rd district of the municipality of Porto Velho. During the government of President Getúlio Vargas (1930-1945), it became a district with the name Ariquemes. Then in 1977, through Law 6,448, it was politically emancipated, and finally was established as a municipality on July 16, 1981, with area detached from Porto Velho.

III) Cacaulândia (RO) originated from a NUAR created in the ambit of the Integrated Program for Development of the Northwest (Polonoroeste) in the consolidated areas of the PAD Marechal Dutra and PAD Burareiro. It was named Cacaulândia because of the prevailing cultivation of cacao. It was elevated to the category of municipality by State Law 374 of February 13, 1992. The NUAR was established in an area of 40 hectares donated by settlers living near the crossing of Highway TB 65 and Line C 15, in the rural space of the municipality de Ariquemes.

Figure 1 – Location of the municipalities that were created in the PAD Marechal Dutra.

Source: Elaborated by the authors (2021) based on data from IBGE (2020).

IV) Monte Negro (RO) is located around the crossing of Highway BR 421 and Line C 25. It arose from the NUAR Boa Vista in the PAD Marechal Dutra area. It was elevated to the category of municipality by State Law 378 of February 13, 1992, in an area detached from the municipality de Ariquemes.

V) Rio Crespo (RO) was created by State Law 376 of February 13, 1992 from areas detached from the municipalities of Ariquemes and Porto Velho, originally creating the NUAR Cafelândia, part of the PAD Marechal Dutra. The name Cafelândia had been chosen due to the prevailing cultivation of coffee (along with dairy farming).

In classifying the stage of human development of the municipalities in Rondônia, created from consolidation of the PAD Marechal Dutra, we used as reference for statistical analysis the average MHDI of the municipalities of Candeias do Jamari (RO), Senador Guiomard (AC) and Iranduba (AM) (Figure 2). The details of the creation of those municipalities are described below.

VI) Candeias do Jamari (RO) arose from the NUAR created to support the CAD Candeias, implemented around the crossing of Highway BR 29 (today BR 364) and the Candeias River, a tributary of the Jamari River. It was created by act of President Getúlio Vargas on November 14, 1939, to achieve some of the targets of the “March to the West” Colonization Program. The village of Candeias was elevated to the category of municipality by Law 363 of February 13, 1992. In the regional context, Candeias do Jamari integrates the geo-economic micro-region of Madeira-Guaporé in the northern part of Rondônia (Santos and Ferreira, 2010).

VII) Iranduba (AM) emerged from a settlement formed in the period of the First Rubber Cycle. After many years of decay of the latex extraction activity, the Manaus Free Trade Zone was created and the settlement of Iranduba was founded. In 1971, INCRA implemented PIC Bela Vista along the margins of Highway M 70, with the purpose of growing food for the population of Manaus (capital of the state of Amazonas). Iranduba was elevated to the category of municipality by Constitutional Amendment 12 of February 10, 1981, and integrates the set of municipalities of the Manaus Metropolitan Region (Costa, 2018).

VIII)  Senador Guiomard (AC) grew out of two small settlements of rubber tappers (Quinari) in the period of the First Rubber Cycle. In 1955, the governor of the then territory of Acre acquired the lands of the rubber tapper settlements of Santa Maria, Nilcióy and Missão for implementation of the NUAR Quinari. The next year it was transformed into the village of Quinari, belonging to the municipality of Rio Branco (AC). With the creation of the state of Acre in 1962, the village of Quinari was elevated to the category of municipality with the name Senador Guiomard. In 1978, as part of the PIN, INCRA implemented the PAD Pedro Peixoto in an area of 317,588 hectares, for settlement of 4,025 rural households, each with land plots of up to 100 hectares (Peres et al., 2013). At present, the municipality of Senador Guiomard is part of the geo-economic micro-region of Rio Branco.

Figure 2 – Location of the municipalities used for inter-municipal and intra-regional reference

Source: Elaborated by the authors (2022), based on data from IBGE (2020)

2.2 Database and analytic methods

In the statistical analysis of the variables, the MHDI was the main variable, while the secondary variables were the illiteracy rate among youths and adults, schooling level, average monthly income and infant mortality rate. These data were obtained from the digital databases and records of the Brazilian Institute of Geography and Statistics (IBGE), Institute for Applied Economic Research (IPEA), United Nations Development Program (PNUD), Getulio Vargas Foundation (FGV) and Rio de Janeiro State Federation of Industry (FIRJAN), as identified in Chart I.

The statistical design for the analyses of the variability of the MHDI and the sub-indices of longevity, education and income was completely randomized. These variables were analyzed in two steps. The first consisted of organizing the data into a single database of discrete and continuous numerical variables.

Chart 1 – Variables used in the analyses, sources of data and reference period

Variables

Source

Years

MHDI

IBGE, IPEA, FIRJAN and PNUD

1991 to 2018

Illiteracy rate and school attendance of youths and adults

IBGE

1991 to 2018

Average monthly household income (% income) and Gini.

IBGE, IPEA and FGV

1991 to 2018

Total population (number of inhabitants)

IBGE

1991 to 2020*

Life Expectancy at Birth (% LEB) of youths and adults

IBGE, IPEA, FIRJAN and PUND

1991 to 2018

GPD and per capita GDP (real)

IBGE, IPEA and FIRJAN

1991 to 2018

Source: Organized by the authors

We used the Past version 3.17c software to calculate descriptive statistics (mean, median, variance, standard deviation, coefficient of variation, Pearson correlation coefficient, among others) and the Tukey test of the means (α = 0.05) for classification of the main and aggregated secondary variables of the dimensions. Regarding Tukey’s statistical analysis used in the comparative analytical test of MHDI averages, Guimarães e Sarsfield (2012, p. 6) explains that: “the Student or Tukey Statistical Test is used to compare all possible pairs of averages and is based on the minimum significant difference (D.M.S) considering the percentiles of the group”.

The second step was spatial representation of the variables, for which we applied the method proposed by Martinelli (2003) for preparation of quantitative and qualitative thematic maps for presentation of the categories (classes) of municipal human development. These maps were created with the assistance of the programs (Terraview 5.2 and Spring 5.0) for geoprocessing.

For classification of the current stage of human development of the municipalities that originated from consolidation of the PAD Marechal Dutra, we adopted the FIRJAN Municipal Development Index (IFDM), which establishes four categories, as indicated in Chart 2.

Chart 2 – Categories of the stage of municipal human development

Development categories

Variation of the indices

Color classes for spatial representation of the MHDI

Low development

between 0 and 0.49

C:0-M:100-Y:100-K:0

Regular development

between 0.50 and 0.69

C:0-M:0-Y:100-K:0

Moderate development

between 0.70 and 0.89

C:0-M:60-Y:100-K:0

High development

between 0.90 and 1.0

C:100-M:0-Y:100-k:0

Source: IFDM (2018), organized by the authors.

3 RESULTS

The process of occupation of the southern Amazon region in the 1970s and 1980s, largely through the implementation of directed settlement projects, motivated the migration of landless people from other macro-regions of the country to Rondônia, a movement that remained strong until the end of the 1990s (PERDIGÃO, 1992). This phenomenon led to average annual population growth between 1990 and 2000 (Figure 3) greater than 1.9% in the municipality of Ariquemes and 1.4% in Alto Paraíso and Monte Negro. In the same period, the municipality of Cacaulândia, presented a yearly population growth rate of 1.2% (IBGE, 2000).

The population increase directly elevated the gross domestic product (GDP) and also was associated with rising per capita household GDP in all the municipalities evaluated. Ariquemes and Cacaulândia experienced greater increases of per capita GDP than the other municipalities analyzed. However, it is necessary to pay special heed to the use of GDP per capita as a parameter of economic performance of a locale, since this index considers that all the inhabitants of the municipality share the same financial resources and have a single standard of living considered as decent (Barros; Foquel; Uilyssea, 2006).

Figure 3 – Average rate of population increase of the municipalities of PAD Marechal Dutra – Rondônia

Source: based on data from IBGE (2020).

Although the overall growth of GDP per capita of Rio Crespo between 1991 and 2018 was the greatest of all the municipalities (Table 1), it has recently experienced periods of economic instability (expansion-contraction-expansion) (ARANTES et al., 2014). The recent increase of revenue of the municipality is related to the establishment of lumber companies and a steep drop of population (2000 = 7,574 inhabitants and 2010 = 3,316 inhabitants (IBGE, 2010). For this reason, Frey and Wittmann (2006), Riella (2006), and Silva (2012) have stressed that economic indicators alone are insufficient to gauge the level of human development (well-being) of urban and rural communities.

The stage of human development of the municipalities that emerged from consolidation of the PAD Marechal Dutra was measured based on social and economic dimensions related to opportunities to live a long and healthy life (longevity), to have access to knowledge (education) and to have a decent quality of life (income) (Lobão; Lima & Raiher., 2018; Assad Mariuzzo, 2020).

Table 1 – Socioeconomic characteristics of the municipalities created from consolidation of the PAD Marechal Dutra.

Municipality

Total population

Number of primary and secondary schools

GDP.

(1000 – R$)

GDP per capita - R$

Distance from the capital city (km)

Alto Paraiso (RO)

17,847

11

368,752

15,655

206.8

Ariquemes (RO)

109,523

44

2,463,773

23,207

202.5

Cacaulândia (RO)

6,269

5

140,630

22,719

259.1

Candeias do J. (RO)

27,388

15

567,898

21,857

24.5

Monte Negro (RO)

16,007

8

283,003

18,032

246.8

Iranduba (AM)

49,011

65

636,015

14,277

36.2

Rio Crespo (RO)

3,804

3

106,522

28,612

197.7

Sn. Guiomard (AC)

21,369

36

326-351

16,361

26.2

Source: IBGE (2018); IBGE (2020); FGV (2021). Lenged: J = Jamari. Sn = Senator.

The average MHDI in the Eastern Rondônia micro-region is 0.598 (MHDI – income = 0.375, MHDI – education = 0.665 and MHDI – longevity = 0.775), a value that indicates the micro-region has a regular municipal human development level (IFDM, 2018). This result differs from that obtained by Arantes et al. (2014), regarding the rural sustainable development of the Jamari Valley.

The subindices education and longevity (Figure 3) improved in the period from 1991 to 2018 in all the municipalities analyzed. The average MHDI for education varied from very low to moderate (MIN = 0.065, MAX = 0.789; MEAN = 0.404) and longevity ranged from regular to moderate (MIN = 0.68. MAX = 0.879. MEAN – 0.759). These results are proportional to those recorded in the municipalities of Candeias of Jamari (RO), Senador Guiomard (AC) and Iranduba (AM), used as intra-regional references, and contrast with the tendency for evolution of the MHDI of Brazil as a whole (PNUD, 2016).

The evolution of the average income dimension of the MHDI moved inversely to the evolution of the education and longevity dimensions, declining from 0.613 in 1991 to 0.363 in 2018 (Figure 4). These results differ from those obtained by Carvalho (2018), for income index = 0,517 and 0,599 respectively, in a study conducted in the micro-region of the lower course of the Amazon River, which corroborated the results reported by PNUD (2016) in the study of the municipal human development of Brazilian micro-regions.

Figure 4 – Indicators of human development of the municipalities created from consolidation of the PAD Marechal Dutra from 1991 to 2018.

Gráfico

Descrição gerada automaticamente

Source: PNUD (2016); FIRJAN (2018); FGV (2021)

With respect to the decrease of the per capita income in the North region of Brazil and the area studied here, Lobão et al. (2018) clarified that two factors can explain the decline of the income subindex in the municipal human development index. The first occurs when the values of the income dimension of the MHDI are lower than the regional average, representing a tendency for greater income concentration, social inequality and thus social vulnerability (elevation of poverty), a phenomenon that can be characterized by municipal human underdevelopment.

The second occurs when the growth of the subindices of the dimensions education and longevity are greater than the regional average, indicating a tendency for positive municipal human development.

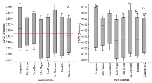
The results of analyzing the descriptive statistics of the education dimension and the Tukey test of the means (α = 0.05), used for comparative classification of the minimum significant difference of the education variable of the municipalities that originated from consolidation of the PAD Marechal Dutra and of the municipalities whose MHDI values for education are used for intra-regional reference are presented in Figure 5.

Figure 5 – MHDI of the education dimension by municipality. A) Descriptive statistical analysis of the education subindex of the municipalities arising from consolidation of the PAD Marechal Dutra. B) Tukey test of the significance of the mean MHDI for education.

Gráfico

Descrição gerada automaticamente

Source: PNUD (2016); FIRJAN (2018); FGV (2021)

Legend: Means followed by the same letter do not differ by the Tukey test at 5% significance (P-v ≤ 0.05). The red line represents the MHDI of the Eastern Rondônia micro-region.

It allows visualizing that Monte Negro (RO) and Rio Crespo (RO) had the lowest values of the MHDI of the education dimension. This result was influenced by the percentages of students between the ages of 15 and 17 years who did not yet conclude primary school (PS, through 9th grade) and of the population between 18 and 20 years with incomplete secondary school (SS, 10th to 12th grade). The same trend was observed in Candeias do Jamari (RO), Senador Guiomard (AC) and Iranduba (AM), used as intra-regional references (IBGE, 2018).

Although INCRA established schools in the NUAR Boa Vista (current municipality of Monte Negro), the education of youths and adults apparently was not a priority, since the school attendance other than basic education among youths in Monte Negro is one of the lowest in comparison with the other municipalities evaluated (1991 / SS = 0% and 2000 / SS = 20.35%; 2010 / SS= 50.72% and 2018 = 80.7%). Values with the same magnitude were observed for secondary school attendance in Candeias do Jamari (RO), Senador Guiomard (AC) and Iranduba (AM) (IBGE, 2018).

It is important to mention that in the demographic census of 1991, the Brazilian Institute of Geography and Statistics (IBGE) found that only 1.01% of residents aged 18 and older in the rural and urban zones of the municipality de Monte Negro (RO) had finished secondary school. The situation improved substantially in the new century. Data from the 2010 census revealed that the percentage of children and adolescents who concluded PS and SS increased to 84.29 and 32.23%, respectively (IBGE, 2010).

The rate of illiteracy had similar statistical performance as the school attendance rate among youths and adults residing in Monte Negro (RO) and Rio Crespo (RO). This led us to a reflection regarding the possession of land, namely the priority given by all the members of the families that received lots to work directly or indirectly in farming activity, both to guarantee production of food and definitive ownership of the land.

Valadares et al. (2017, p. 216) presented a similar reflection regarding human development and rural land possession:

[...] a concentrated landholding structure can indicate deprivation of access to land and income, which is a restraint to liberty, influencing other aspects of individuals’ lives, related with deprivation of other types of liberty, such as access to education and health. [...].

With respect to the MHDI for longevity, the average of the municipalities created from consolidation of the PAD Marechal Dutra increased from 0.404 in 1991 to 0.797 in 2010, an absolute increase of 0.394, greater than the increase observed in the period from 2010 to 2018 (MHDI = 0.778 / increase = 0.019). This increment is a reflection of two important advances in the area of health: a decline in the infant mortality rate from 47.8 per thousand live births in 1991 to 9.0 in 2010; and an increase in the average aging rate of the population, which increased from 1.78 in 1991 to 5.98 in 2010 and further to 6.51 in 2018 (IBGE, 2018; AGEVISA, 2018).

The MHDI for longevity is calculated based on the life expectancy at birth (PNUD, 2010). This subindex did not have great disparities among the municipalities in Rondônia analyzed, except Ariquemes (RO), whose MHDI remained numerically better than the values of the municipalities used for intra-regional reference. The information confirming the trend for increasing longevity (a proxy for well-being) of the people residing in municipalities created from consolidation of the PAD Marechal Dutra is presented in Figure 5 / A and B.

The fact that the municipalities created from consolidation of the PAD Marechal Dutra presented MHDI of the longevity dimension higher than the average (except Alto Paraiso) of the Eastern Rondônia micro-region does not mean that the inhabitants of Candeias do Jamari (RO), Iranduba (AM) and Senador Guiomard (AC), used as intra-regional reference, had a worse longevity (shorter healthy lifetime), since the numerical disparities around the mean were not significant, as also shown in Figure 6.

The improvement in health services, especially treatment of diseases (e.g., malaria, yellow fever, hepatitis, tuberculosis, etc.), along with the expanded provision of sanitation services (e.g., treated water, trash collection, sewage treatment, among other) had a strong influence on the increased life expectancy at birth and consequently the MHDI-longevity in the area studied.

Figure 6 – MHDI-longevity between 1991 and 2018. A) Statistical analysis of the longevity subindex of the municipalities created from consolidation of the PAD Marechal Dutra. B) Tukey test of significance of the mean MHDI-longevity.

Gráfico, Gráfico de cascata, Gráfico de caixa estreita

Descrição gerada automaticamente

Source: PNUD (2016); FIRJAN (2018)

Legend: Means followed by the same letter do not differ by the Tukey test at 5% significance (P-v ≤ 0.05). The red line represents the MHDI of the Eastern Rondônia micro-region

Castro et al. (2019, p. 356), in the conclusion of his study entitled “Human development index in municipalities that have an Integrated Rural Sanitation System (SISAR): a comparative analysis”, stated that:

“[...] The results found in the study corroborate the importance of having treated water and sanitary sewage for the increase of some of the human development indicators, such as the longevity and education dimensions, which were superior in the municipalities with a SISAR, contributing to increase the MHDI of these municipalities [...]”

The better longevity subindex is a reflection of the increase in life expectancy, which rose from 59 to 73 years between 1991 and 2018. The highest life expectancy (74 years) was recorded in Rio Crespo and Cacaulândia. This can be related to their proximity to the municipality of Ariquemes, which has good healthcare infrastructure, such as first aid stations, testing laboratories, and public and private hospitals and clinics.

3.1 The effect of per capita income on municipal human development

The dimension with the greatest absolute decrease between 1991 and 2010 was the MHDI-income, with a loss of 0.112. The decline was greatest between 2010 and 2018, of 0.262, while in the period from 1991 to 2000 it increased by 0.108 and again rose, by 0.150, from 2000 to 2010, evolution of 0.042.

In percentage terms, the human development indicator that performed the worst in the period from 1991 to 2018 was the income dimension, with a decline of 22.5%, and a steeper decline of 39.3% between 2010 and 2018. The decrease of the MHDI of the income dimension represented greater deprivation of access to basic needs (water, food, housing, transportation, among others) of the people in the municipalities analyzed.

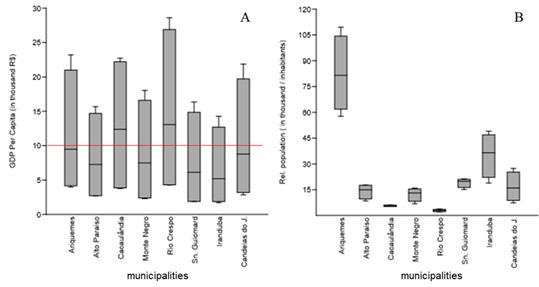
The information in Figures 7 and 8 pertain to two singular questions. Why did the municipalities of Rio Crespo (RO) and Cacaulândia (RO) have high per capita GDP and a relatively small population and low MHDI-income? Furthermore, why did Alto Paraíso (RO), with the lowest per capita GDP among the municipalities created from consolidation of the PAD Marechal Dutra, have the second best MHDI-income between 1991 and 2018?

The MHDI-income is used to ascertain the ability of the municipal population to satisfy their basic needs for a decent standard of living. This subindex is based on the average monthly income of the residents of the municipality in Brazilian currency (the real, R$) (BARROS; FOQUEL and UILYSSEA, 2006; PNUD, 2013).

The variability of the average monthly income per person in the household (RMMD) in the municipalities created from consolidation of the PAD Marechal Dutra contrasts with the result of the MHDI-income subindex. The RMMD presented average growth in percentage terms of 236.75% between 1991 and 2010.

Figure 7 – GDP per capita and population in each municipality. A) Mean per capita GDP of each municipality. B) Mean population between 1991 and 2018 of the municipalities created from consolidation of the PAD Marechal Dutra.

Gráfico

Descrição gerada automaticamente

Source: (IBGE, 2020).

Legend: The red line represents the mean GDP per capita of the East Rondônia micro-region.

However, in the period from 2010 to 2018, there was a decline of the average monthly income of the people in the area evaluated of 36.2%, representing a loss of R$ 124.25 and reduction of the MHDI of the income dimension (Figure 7).

The decrease of the RMMD was greatest in Alto Paraíso, followed by Rio Crespo and Cacaulândia, which in turn was greater than the values of Candeias do Jamari (RO), Senador Guiomard (AC) and Iranduba (AM), used as intra-regional reference (Figure 7). These results corroborate the numbers reported in the atlas of human development of Brazilian micro-regions for 2016 (PNUD, 2016).

We expected the MHDI-income values of Rio Crespo, Cacaulândia and Monte Negro in all the periods to be higher than those in the intra-regional reference municipalities, due to the high per capita GDP and low population. However, only Alto Paraíso and Ariquemes had MHDI above the average of the intra-regional reference indices. Both values were statistically significant with respect to the income subindex calculated for Candeias do Jamari (RO), Senador Guiomard (AC) and Iranduba (AM), used as reference.

The favorable performance of the MHDI-income of Alto Paraiso, although it had the smallest per capita GDP among the municipalities created from consolidation of the PAD Marechal Dutra, can be associated with two factors: i) the investments in family farming made since the 1980s, in the form of low-interest loans to finance the cultivation of Robusta coffee; and ii) the public policies to provide technical assistance to farmers.

One of the measures to face the fluctuations of the price of coffee in the domestic and international markets is guidance to farmers to invest part of the revenue from sale of coffee to purchase dairy and/or beef cattle. This acts as a form of savings, so when the monthly income is not sufficient to provide a dignified standard of living of the farmer and his household, he can sell some of the cattle to generate additional income (SANTOS, 2001).

Besides the factors covered, the establishment of a dairy processing plant of the company Italac in Alto Paraíso provided a new source of income to farmers. The company offers contracts to family farmers with a fixed monthly payment. This has had a positive influence on the MHDI-income subindex and the standard of human development, i.e., the well-being of the people who live in Alto Paraíso.

As part of calculating the statistical significance of the mean values, we deleted outliers (atypical values with large distance measured in standard deviations above or below the mean of the intra-regional reference) with our without significance (p-v > or < 0.05) (Rogerson, 2012). With this adjustment, Ariquemes was the only municipality to present a high RMMD, and hence a high income subindex, during the period analyzed.

Between 1991 and 2018, we observed advances in the overall MHDI, a reflection of the reduction of illiteracy among youths and adults up to 25 years of age, and the increase of school attendance of children and youths between the ages of 6 and 18 years.

Figure 8 – MHDI-income between 1991 and 2018. A) Statistical analysis and Tukey test of the significance of the MHDI-income. B) Average monthly income per person in the municipalities created from consolidation of the PAD Marechal Dutra.

Source: PNUD (2016); FIRJAN (2018); FGV (2021)

Legend: Means followed by the same letter do not differ by the Tukey test at 5% significance (P-v ≤ 0.05). The red line represents the MHDI of the Eastern Rondônia micro-region. RMMD = average monthly income per person in the household.

There was also a decline of infant mortality and a consequent increase in the life expectancy of the people of the municipalities created from consolidation of the PAD Marechal Dutra. Nevertheless, from 2010 to 2018, there was a decline of the monthly household income of the residents of those municipalities, largely due to the poor performance of the Brazilian economy in the period (sluggish growth interspersed with recession) (Barbosa et al., 2020).

 

Therefore, on the one hand our results indicate improvement in the human development indicators education and longevity, but reduction of the average income and greater income inequality (in rural and urban zones), with a negative effect on the general MHDI of the municipalities created from consolidation of the PAD Marechal Dutra (except for Ariquemes). These phenomena are not limited to the Eastern Rondônia micro-region Jamari Valley. They also have been observed in other micro-regions in the North region and the Legal Amazon (Lobão; Lima and Raiher, 2018).

The continued average geometric growth of the MHDI for the education dimension is fundamental for the human development of the people residing in the Southern Amazon municipalities. Thus, it is necessary to continue efforts to eradicate illiteracy and increase schooling. In particular, it is necessary to improve the quality of teaching (learning), especially during the final years of basic education and first year of secondary education, so that young students from lower social strata have the training necessary to enter the labor market and compete for higher-paying jobs. This will make a positive contribution to average monthly household income and consequently to the municipal human development (Assad and Mariuzzo, 2020).

Figure 9 presents a summary of the spatial and statistical information inherent to the stage of human development of the municipalities created from consolidation of the PAD Marechal Dutra and the municipalities whose MHDI was used as intra-regional reference. As things stand now, there is still large disparity of intra-regional and inter-municipal development.

The substantial improvement of the education and longevity indicators between 2000 and 2018 has not yet been sufficient to raise Alto Paraiso, Cacaulândia and Monte Negro from the position of only regular municipal human development. This is in contrast to Ariquemes, which presented moderate MHDI in 2018.

Mention should be made of the negative effect on income distribution – national and regional – and on the MHDI of the municipalities analyzed, caused by the recession (2015-2016) followed by weak recovery (2017-2018). However, it must also be noted that the municipalities with MHDI values below the intra-regional average are not poor, since they are located in a region with plentiful natural resources (natural capital), waiting to be transformed into real financial capital. In the final analysis, society in the Southern Amazon is not facing problems of shortages, absolute or relative – of resources, but instead shortage of qualified labor and technologies to transform natural capital into financial capital (Barros; Foquel and Uilyssra, 2000).

Figure 9 – Map of the general MHDI for 2018. B) Statistical analysis and Tukey test of significance of the mean MHDI values between 1991 and 2018. C) Mean Gini coefficient of landholding inequality per municipality between 1991 and 2018.

Source: PNUD (2016); IBGE (2017); FIRJAN (2018); IBGE (2020).

Legend: Means followed by the same letter do not differ by the Tukey test at 5% significance (P-v ≤ 0.05). The red line represents the MHDI of the Eastern Rondônia micro-region.

The hypothesis that the municipalities created from consolidation of the PAD Marechal Dutra would have a general MHDI value greater than that of the municipalities originating from other categories of rural settlement projects cannot be rejected. The evolution of the subindices education and (mainly) longevity is a reflection of the decline of infant mortality and consequent increase in the life expectancy at birth in Ariquemes, Alto Paraíso and Cacaulândia. This result satisfies the hypothesis in question.

Although Alto Paraíso presented the lowest general MHDI between 1991 and 2018, it is the municipality with the least inequality in landholding and income (average Gini = 0.48, where 0 denotes absolute equality and 1 absolute inequality) (IBGE, 2017). The behavior of this variable is a positive reflection of the economic indicator of agricultural activity, the main source of income in the municipality.

This indicator, along with those already presented, clearly demonstrates that a substantial portion of the people from different social strata who settled in Alto Paraíso and Cacaulândia in the late 1970s now enjoy a decent standard of living and health among the municipalities analyzed.

4 FINAL CONSIDERATIONS

This study had the aim of providing evidence of the stage of human development of the municipalities that were created from consolidation of the PAD Marechal Dutra, with the main variables being the MHDI subindices education, longevity and income, and the secondary variables consisting of the rates of illiteracy and infant mortality and the average monthly income of the people permanently residing in the municipalities analyzed.

The statistical results indicate the existence of inequality of human development among the municipalities analyzed, even those arising from the same regional development program and rural settlement project. Statistical inference from comparing the results of the general MHDI of the municipalities of Ariquemes (RO), Senador Guiomard (AC) and Iranduba (AM) revealed a pattern of inequality at the intra-regional level.

In absolute terms, Ariquemes and Rio Crespo had the best levels of municipal human development. However, statistical treatment of the secondary variables (decomposition of the subindices of the MHDI) indicated that Alto Paraíso had a better human development stage than the municipalities used as inter-municipal and intra-regional reference.

The strategy of reducing illiteracy, increasing school attendance and diminishing infant mortality permitted growth of the average subindices of education and longevity between 2000 and 2018. This amortized the negative effects of the reduction of income on the general MHDI in all the municipalities analyzed except for Ariquemes, for which there was a positive effect on the general MHDI.

Overall, the results allow stating with a good safety margin that the public authorities need to increase their efforts to train qualified labor via teaching institutions at all levels, in particular those specialized in technical and technological subjects, to leverage the sustainable use of the plentiful natural resources (natural capital) and transform them into products and services with high economic value, to generate income. In particular, this is the best way to improve the human development of the municipalities that are in a regular stage of the MHDI in the Eastern Rondônia micro-region.

REFERÊNCIAS

AGEVISA – Agência Estadual de Vigilância em Saúde de Rondônia. Relatório Anual de Gestão 2018. Porto Velho: AGEVISA, 2018.

ARANTES, M.; SILVA, B. G. A.; ROTUNO, M. A. Plano Territorial de desenvolvimento rural sustentável do território Vale do Jamari. Porto Velho: Rio Terra, 2014.

ASSAD, L.; MARIUZZO, P. Desigualdade escondida nos índices. Revista Ciência e Cultura, São Paulo, v. 72, n. 1, p. 6-8, Jan-March 2020. Available at: http://cienciaecultura.bvs.br/pdf/cic/v72n1/v72n1a03.pdf. Consulted on: July 10, 2021.

BARBOSA, R. J.; SOUZA, P. H. G. F.; SOARES, S. S. D. Distribuição de renda nos anos 2010: uma década perdida para desigualdade e pobreza. Brasília: IPEA, 2020. 52 p.

BARROS, R. P.; FOQUEL, M. N.; UILYSSEA, G. Desigualdade de renda no Brasil: uma análise da queda recente. Brasília: IPEA, 2006. 446 p.

BARROS, R. P.; HENRIQUES, R.; MENDONÇA, R. Desigualdade Pobreza no Brasil: retrato de uma estabilidade inaceitável. Revista Brasileira de Ciências Sociais, v. 15, n. 42, p.123-142, 2000.

BECKER, B. K. Revisão das políticas de ocupação da Amazônia: é possível identificar modelos para projetar cenários? Parcerias Estratégicas., Brasília, n.12, p.135-159, Sept. 2001.

BECKER, B. K.; STENNER, C. Um Futuro para Amazônia. São Paulo: Oficina de Texto. 2008

BECKER, B.K. Amazônia. 2.ed. São Paulo: Ática, 1998.112p.

CARVALHO, A. V. Análise dos indicadores de desenvolvimento e pobreza multidimensional no baixo Amazonas nos anos 2000-2010. Revista terceiro Margem Amazônia, Manaus, v. 3, n. 1, p. 22-37. jul./dez. Available at: 2018. http://www.revistaterceiramargem.com/index.php/terceiramargem. Consulted on: Jun. 2, 2021.

CASTRO, l. A.; TALEIRES, F. C. S. S.; SILVEIRA, S. S. Índice de desenvolvimento humano em municípios que possuem sistema integrado de saneamento rural: uma análise comparativa. Revista Ciência e Saúde Coletiva, São Paulo, v. 26, n.1, p. 351-357, 2019. Available at: https://www.scielo.br/j/csc/a/xmC3R6p8LtQqVkPy9QkzYqP/abstract/?lang=en&format=html#. Consulted on: Jun. 10, 2021.

COSCIONI, F. J. O darwinismo social na Geografia humana do início do século XX: o caso da obra Influences of Geographic Environment, de Ellen Semple. Revista Geousp espaço e tempo, São Paulo, v. 22, n. 2, 2018.

COSTA, A. U. No caminho das águas, na poeira da estrada: cenário rural de Iranduba em face a (re) configuração da região metropolitana de Manaus- RMM. 2018. 141 p. Dissertação (Mestrado em Sociedade e Cultura na Amazônia) – Universidade Federal do Amazonas, Manaus, 2018.

DINIZ, F. Crescimento e desenvolvimento econômico: modelos e agentes do processo. 2.ed. Lisboa: PT: Silabo, 2010.

FGV – Fundação Getúlio Vargas. Onde estão os riscos? Municipais. Rio de Janeiro: FGV, 2021. Available at: https://www.cps.fgv.br/cps/bd/docs/ranking/TOP_Municipio.htm. Consulted on: August 15, 2021.

FIRJAN – FEDERAÇÃO DAS INDUSTRIA DO ESTADO DO RIO DE JANEIRO. Índice FIRJAM de desenvolvimento municipal – IFDM. Rio de Janeiro: FIRJAN, 2018. Available at: file:///D:/Arquivo%202021/Publicação%202021/Analise_espacial%20IDHM/Metodologia%20IFDM%20-%20Final.pdf.Consulted in: June 2021.

FREY, M. R.; WITTMANN, M. L. Gestão ambiental e desenvolvimento regional: uma análise da indústria fumageira. EURE, Santiago de Chile, v. 32, n. 96, p. 99-115, 2006. Available at: https://www.scielo.cl/scielo.php?script=sci_arttext&pid=S0250-71612006000200006. Consulted on: Jun. 10, 2021.

GALINHA, I.; RIBEIRO P. J. L. História e evolução do conceito De bem-estar subjectivo. Revista Psicologia, saúde & doenças, São Paulo, v. 6, n.2, p. 203-214, jan./jul. 2005. Available at: file:///D:/Doc%202021/ENCCEJA%202019/Downloads/91%20(1).pdf. Consulted on: January 2, 2021.

GLÓRIA, P. J. Seria a teoria da evolução darwiniana domínio exclusivo dos Biólogos? Implicações da evolução Biológica para as Ciências Humanas. Revista de biologia, são Paulo, v. 3, n. 1, p. 1-5, Dec. 2009.

GUIMARÃES, R. C.; SARSFIELD, C. J. A. Estatística. 2. ed. São Paulo: McGraw-Hill, 2007.

IBGE - Instituto Brasileiro de Geografia e Estatística. Estimativa da população por municípios. Available at: https://cidades.ibge.gov.br/brasil/ro/alto-paraiso/panorama. Consulted on: June 10, 2020.

IBGE – Instituto Brasileiro de Geografia e Estatística. Malha municipal. Rio de Janeiro: IBGE, 2020. Available at: https://www.ibge.gov.br/geociencias/organizacao-do-territorio/malhas-territoriais/15774-malhas.html?edicao=27411&t=acesso-ao-produto. Consulted on: May 5, 2021.

IBGE - Instituto Brasileiro de Geografia e Estatística. Sinopse do Censo demográfico de 1991, 2000 e 2010. Rio de Janeiro: IBGE. Available at: www.ibge.gov.br/estadosat. Consulted on: Jun. 10, 2021.

IBGE - Instituto Brasileiro de Geografia e Estatística. Sinopse do Censo Agropecuário 2017. Rio de Janeiro: IBGE, 2017. Available at: https://www.ibge.gov.br/estatisticas/downloads-estatisticas.html. Consulted on: June 10, 2020.

IBGE - Instituto Brasileiro de Geografia e Estatística. Síntese dos Indicadores sociais. Rio de Janeiro: IBGE, 2018.

IBGE - Instituto Brasileiro de Geografia e Estatística. Tendência demográficas. Uma análise dos resultados da Sinopse Preliminar do Censo Demográfico 2000. Rio de Janeiro: IBGE. 2000.

LOBÃO, M. S. P.; LIMA, J. F.; RAIHER, A. F. Região norte do Brasil: uma análise do desenvolvimento humano municipal. Acta Geográfica, Boa Vista, v. 13, n. 31, p. 1-18, 2018.

MARTINELLI, M. Cartografia temática. São Paulo: Contexto, 2003.

NEVES, A. M.; LOPES, A. M. T. Projeto de assentamento dirigido Marechal Dutra (PAD). In: ORLANDO, V. Organização do espaço na faixa da transamazônica. Rio de Janeiro: IBGE, 1979. p. 129-136.

OLIVEIRA, F. L. P; WERNER, D. Perspectiva histórica do planejamento regional no Brasil. CEPAL – Coleção Documentos de projeto. 2014. Available at: < https://www.cepal.org/sites/default/files/publication/files/36633/S2014194_pt.pdf> Consulted on: Sept. 4, 2021.

OLIVEIRA, G, B. Uma discussão sobre o conceito de desenvolvimento. Revista FAE, Curitiba, v. 5, n. 2, p. 37-48, May-Aug. 2002.

OLIVEIRA, V.; AMARAL, J. J. O. Amazônia e o processo de Colonização da Fronteira Agrícola: O caso de Rondônia. Cadernos Ceru, São Paulo, v. 29, n. 2, p. 20-43, Dec. 2018.

PERDIGÃO, F. Migrantes Amazônicos: Rondônia: a trajetória da ilusão. São Paulo: Loyola, 1992. 224 p.

PERES, R. T.; GONZAGA, D. S. O.; HAVERROTH. M. Os caminhos para o desenvolvimento local da Agricultura Familiar no Acre: estudo comparativo das interações sociais de duas comunidades do Projeto de Assentamento Dirigido Pedro Peixoto – PAD Peixoto In: Congresso da Sociedade Brasileira de Economia, Administração e Sociologia Rural, 51., 2013, Belém. Anais [...] Belém: Digital, 2013. p. 1-15.

PNUD – PROGRAMA DAS NAÇÕES UNIDAS PARA O DESENVOLVIMENTO. Relatório do Desenvolvimento Humano 2010. Available at: <www.pnud.org.br>. Consulted on: May 23, 2021.

PNUD – PROGRAMA DAS NAÇÕES UNIDAS PARA O DESENVOLVIMENTO; IPEA – INSTITUTO DE PESQUISA ECONÔMICA APLICA; FIP – FUNDAÇÃO JOÃO PINHEIRO. O índice de desenvolvimento humano municipal brasileiro. Série Altas de desenvolvimento humano no Brasil 2013. Brasília: Pnud, 2013. Available at: http://www.pnud.org.br/arquivos/idhm-brasileiro-atlas-2013.pdf. Consulted on: Jun. 20, 2021.

PNUD – PROGRAMA DAS NAÇÕES UNIDAS PARA O DESENVOLVIMENTO; IPEA – INSTITUTO DE PESQUISA ECONÔMICA APLICA; FIP – FUNDAÇÃO JOÃO PINHEIRO. Desenvolvimento Humano nas macrorregiões brasileiras. Brasília: Pnud, 2016. Available at: file:///hgD:/Arquivo%202021/Publica%C3%A7%C3%A3o%202021/PNUD%202016-br-macrorregioesbrasileiras-2016.pdf. Consulted on: Jun. 20, 2021.

RIELLA, A. Globalización, desarrollo y territórios menos favorecidos. Montevideo: Facultad de Ciências Sociales/Departamento de Sociologia, 2006.

ROGERSON, P. A. Métodos estatísticos para geografia. 3rd ed. Porto Alegre: Bookman, 2012.

SANTOS, C. A fronteira do Guaporé. Porto Velho: Edunir, 2001.

SANTOS, E. L.; BRAGA, V.; SANTOS, R. S.; BRAGA, A. M. S. Desenvolvimento: um conceito multidimensional. Desenvolvimento regional em debate, Canoinhas, n. 1, p. 44-61, 2012.

SANTOS, S. L. M. FERREIRA, M. M. Produção de mandioca nos solos de Rondônia. Revista Geonorte, Manaus, v. 1, n. 1, p. 14-25, jan. 2010.

SILVA, R. S. Meios de transporte e desenvolvimento regional no estado do Amazonas: uma análise das microrregiões geográficas do Madeira e do Purus. Revista novos cadernos NAEA, Belém, v. 15, n. 2, p. 45-84, Dec. 2012.

SILVA-FILHO, G. A. Toponímia de Rondônia. Revista brasileira de geografia, Rio de Janeiro, v. 57, n. 3, p. 39-62, July-Sept. 1995.

SOUZA, N. J. Desenvolvimento econômico. São Paulo: Atlas, 1993.

VALADARES, A. A.; SILVEIRA, F. G.; NIKOLAS, F. G. Desenvolvimento humano e distribuição da posse da terra: In: MARGUTI, B. O.; COSTA, M. A.; PINTO, S. V. Territórios em números: insumos para políticas públicas a partir da análise do IDHM e do IVS de municípios e Unidades da Federação brasileira. Brasília: IPEA / INCT, 2017.

VEIGAS, J. E. Desenvolvimento sustentável. O desafio do século XXI, Rio de Janeiro: Garamond, 2010.

Contribuição de autoria

1 – Joiada Moreira da Silva Linhares

PhD in Regional Development and Environment. Provisional exercise teacher at IFRO Campus Cacoal (RO).

https://orcid.org/0000-0002-4266-6252  • joiada.linhares@gmail.br

Contribuição: Conceptualization, methodology, Curation of population data, Writing, Final review

2 – Josélia Fontenele Batista

PhD in Geography. she is currently part of the Geography research group e Spatial Planning in the Amazon (GOT-Amazon).

https://orcid.org/0000-0003-3374-0112 • joselia.fontenele@ifro.edu.br

Contribuição: Formal analysis, Conceptualization, Writing of the preliminary text

3 – Pablo Marques da Silva

Economist. master’s degree in Regional Development. He is currently part of the Middle Purus Regional Development (DRMP) research group.

https://orcid.org/0000-0002-0298-5769 • pablo.marques@ifam.edu.br

Contribuição: Formal analysis, Conceptualization, Curation of economic data. Data visualization, Writing

4 – Dávilla Vieira Odizio da Silva

Librarian. Professional Master’s degree in Environmental Sciences Teaching.

https://orcid.org/0000-0002-3974-490X • davilla.odizio@ifam.edu.br

Contribuição: Formal analysis, Organization of bibliographic data

5 – Graziela Tosini Tejas

Geographer. PhD in Regional Development and Environment.

https://orcid.org/0000-0002-3974-490X • graziela.tejas@ifro.edu.br

Contribuição: Conceptualization, Formal analysis, Data visualization, Writing

 

Como citar este artigo

LINHARES, J. M. da S.; BATISTA, J. F.; SILVA, D. V. O. da; TEJAS, G. T. Municipal human development in a directed settlement project in the southern brazilian Amazon. Geografia Ensino & Pesquisa, Santa Maria, v.28, 74062, p1-31, 2024. DOI 10.5902/2236499474062. Disponível em: https://doi.org/10.5902/2236499474062. Acesso em: dia mês abreviado. ano.