Ensino de sentenças e responder sequencial: efeitos sobre a memória operacional e consciência sintática em uma criança com implante coclear

 

Sentence teaching and sequential responding: effects on working memory and syntactic awareness in a child with cochlear implant

 

Enseñanza de oraciones y respuesta secuencial: efectos sobre la memoria de trabajo y la conciencia sintáctica en un niño con implante coclear

 

Matheus Yoshimi Shibukawa

Universidade Metropolitana de Santos, Santos, SP, Brasil.

myshibukawa@gmail.com

 

Anderson Jonas das Neves

Universidade Estadual Paulista (UNESP) e Faculdade Nove de Julho (FNJ), Bauru, SP, Brasil.

filosofoajn@gmail.com

 

Leandra Tabanez do Nascimento Silva

Hospital de Reabilitação de Anomalias Craniofaciais, Bauru, SP, Brasil.

leandracpa@usp.br

 

Ana Claudia Moreira Almeida-Verdu

Universidade Estadual Paulista (UNESP), Bauru, SP, Brasil.

ana.verdu@unesp.br

 

Recebido em 10 de fevereiro de 2023

Aprovado em 24 de setembro de 2024

Publicado em 25 de novembro de 2024

 

 

 

 

RESUMO

O responder sequencial, enquanto processo comportamental básico, está nas bases da produção de sentenças, consciência sintática (CS) e memória operacional (MO). O presente estudo avaliou se um programa de ensino de sentenças poderia melhorar os escores em MO e CS, e a porcentagem de acertos nas tarefas de produtividade semântica e sintática, em uma criança com deficiência auditiva e implante coclear (IC) que era leitora. O programa de ensino era computadorizado, aplicado remotamente e baseado em equivalências entre estímulos auditivos, textuais e figuras. Foram usados três conjuntos de sentenças, com diferentes níveis de complexidade, organizados por matrizes. Em cada conjunto, o participante aprendeu a emparelhar figuras às sentenças ditadas e a construir sentenças escritas sob ditado. Sondas sistemáticas avaliavam a porcentagem de acertos em tarefas de escrita, leitura e nomeação de figuras, para sentenças ensinadas e recombinadas; a MO e a CS também foram mensuradas por meio de testes de Dígitos (DG), Sequência de Números e Letras (SNL), Cubos de Corsi (CC) e Prova de Consciência Sintática (PCS). Após o ensino, o participante aumentou a porcentagem de acertos nas tarefas de produtividade semântica e sintática, e nos escores em subtestes de MO. Os efeitos do ensino de sentenças sobre as medidas de MO e CS, em crianças que usam IC, ainda precisam ser melhor elucidados.

Palavras-chave: Educação Especial; Desenvolvimento da linguagem; Ensino baseado em equivalência.  

 

 ABSTRACT

Sequential responding, as a basic behavioral process, is at the basis of sentence production, syntactic awareness (SA) and working memory (WM). The current study evaluated whether an instructional program with sentences would improve the MO and CS scores, and the percentage of correct responses in the semantic and syntactic productivity tasks, in a child with deaf and hard of hearing and cochlear implant (CI) who was reader. The program was computerized, applied remotely and based on equivalences between auditory, textual and picture stimuli. Three sets of sentences, with different levels of complexity and organized by matrices, were used. In each set, the participant learned to match pictures to dictated sentences and to construct written sentences under dictation. Systematic probes evaluated the percentage of correct responses in tasks of writing, reading and pictures naming, for taught and recombined sentences; WM and SA were also measured using Digits (DG), Sequence of Number and Letter (SNL), Corsi Cubes (CC) and Syntactic Awareness Test (PCS). After teaching, the participant increased the percentage of correct responses in the semantic and syntactic productivity tasks, and in the scores in WM subtests. The effects of sentence instruction on MO and SC measures for children CI still need to be better elucidated.

Keywords:  Special Education; Language development; Equivalence-based instruction.

 

RESUMEN

La respuesta secuencial, como proceso conductual básico, está en la base de la producción de oraciones, la conciencia sintáctica (CS) y la memoria de trabajo (OM). El presente estudio evaluó si un programa de enseñanza de oraciones podía mejorar los puntajes en MO y CS, y el porcentaje de respuestas correctas en las tareas de productividad semántica y sintáctica, en un niño con pérdida de audición y implante coclear (IC) y que era lector. El programa de enseñanza fue informatizado, aplicado a distancia y basado en equivalencias entre estímulos auditivos, textuales y pictóricos. Se utilizaron tres conjuntos de oraciones, con diferentes niveles de complejidad, organizados por matrices. En cada conjunto, el participante aprendió a hacer coincidir imágenes con oraciones dictadas y a construir oraciones escritas bajo dictado. Pruebas sistemáticas evaluaron el porcentaje de respuestas correctas en tareas de escritura, lectura y denominación de imágenes, para oraciones enseñadas y recombinadas; OM y SC también se midieron usando dígitos (DG), secuencia de números y letras (SNL), cubos de Corsi (CC) y prueba de conciencia sintáctica (PCS). Después de la enseñanza, el participante aumentó el porcentaje de respuestas correctas en las tareas de productividad semántica y sintáctica, y las puntuaciones en las subpruebas de OM. Los efectos de la enseñanza de oraciones en las mediciones de MO y SC en niños que usan IC aún deben dilucidarse mejor.

Palabras clave: Educación Especial; Desarrollo del lenguaje; Enseñanza en la equivalencia.

 

 

Introdução

O desenvolvimento da linguagem falada ocorre por meio da interação das crianças com seu ambiente social, de modo que a fala é modelada, torna-se mais complexa e adquire propriedades dinâmicas e topográficas (Bevilacqua; Formigoni, 1998; Skinner, 1957). Interagir verbalmente com outras pessoas, usando palavras e sentenças, requer responder a estímulos apresentados sequencialmente (Assis; Baptista; Nunes, 2009) e emitir respostas em sequência (Spradlin, 1999).

Construir sentenças é uma habilidade complexa e envolve a capacidade de ordenar palavras a partir das convenções linguísticas (Mackay, 2013; Remington, 1994; Skinner, 1957). Essa capacidade está relacionada à consciência sintática (CS) e pode ser avaliada por meio da Prova de Consciência Sintática (PCS), composta por tarefas de “julgamento gramatical”, “correção gramatical”, “correção de frases agramaticais e assemânticas”, e “categorização de palavras” (Capovilla; Capovilla; Soares, 2004), sucintamente descritas a seguir.

As tarefas de julgamento gramatical consistem, basicamente, em identificar se as frases estão corretas gramaticalmente e, se incorretas, verbalizá-las da forma correta; por exemplo, quando o aplicador diz a frase “sapo o comeu mosca a”, o participante deve falar cada palavra, de forma ordenada, para compor a sentença sintaticamente correta (i.e., O sapo comeu a mosca). Nas tarefas de correção gramatical, são apresentadas frases gramaticalmente incorretas que devem ser corrigidas pelo participante; por exemplo, dada a frase “a mosca são verde”, o participante deve dizer “a mosca é verde” ou “as moscas são verdes”. Nas tarefas de correção gramatical de frases com incorreções gramatical e semântica, o aplicador apresenta frases com incorreções (semânticas e gramaticais) e o participante deve corrigir apenas o erro gramatical; se o aplicador diz “a vaca sabemos voar”, por exemplo, o participante deve dizer “a vaca sabe voar”, de modo a corrigir a concordância verbal e manter o sentido, mesmo sabendo que vacas não sabem voar. As tarefas de categorização de palavras envolvem identificar as palavras ditadas em substantivo, verbo ou adjetivo; por exemplo, quando o aplicador diz “correu”, o participante deve identificá-la na mesma coluna de “beberam”, por se tratar de palavras de mesma categoria (i.e., verbo/ação). Essas habilidades avaliadas pela PCS podem ser entendidas como comportamentos operantes e favorecidas por meio do ensino (Neves, 2019a), permitem arranjar as palavras em ordem convencionada, não depende apenas dos elementos lexicais e exigem, especialmente, a memória operacional (MO) (Grivol; Hage, 2011; Abreu; Mattos, 2010).

Baddeley (1992) e Baddeley e Hitch (2000) definem a MO como um sistema cognitivo que fornece um armazenamento temporário e que permite manipular informações para tarefas complexas como as de linguagem, execução de rotinas e construção de sequências (Baltruschat et al., 2012; Bueno; Batistela, 2015; Grivol; Hage, 2011). A MO é composta por quatro componentes (Baddeley, 1992; Baddeley; Hitch, 2000): (1) o executivo central que prove subsídio atencional; (2) a alça fonológica que mantém informações verbais, apresentadas pelas vias auditivas ou visuais, em um armazenamento de curto prazo, transformando em código fonológico incluindo sinais acústicos, temporais e sequenciais; (3) a alça visuoespacial que processa as informações visuais e espaciais, organizando imagens e o planejamento de movimentos no espaço; (4) e o retentor episódico que gerencia as alças subordinadas e a memória de longo prazo (Abreu; Mattos, 2010). Este trabalho compreende os componentes da MO que processam e integram estímulos visuais e auditivos como operantes que podem ser otimizados por meio de ensino. Os processos descritos como de responsabilidade das alças fonológica e visuoespacial implicam em aprendizagem relacional (i.e., relacionar o que foi ouvido com estímulos visuais – Sidman, 1994), controle pelos componentes menores dos estímulos verbais (i.e., recombinação de unidades menores em novas unidades verbais – Goldstein, 1983) e de responder verbal subvocal aos sons de fala (i.e., fala inaudível - Skinner, 1957).

Crianças com deficiência auditiva sensorioneural, severo a profundo, bilateral e pré-lingual apresentam prejuízos no desenvolvimento típico da linguagem falada (Tabaquim et al., 2013; Moret; Bevilacqua; Costa, 2007). O implante coclear (IC), um dispositivo implantado cirurgicamente no ouvido interno e que substitui parcialmente as funções das células sensoriais auditivas da cóclea (Moret; Bevilacqua; Costa, 2007), representa um notório avanço na habilitação da audição dessa população, sobretudo quando implantado nos primeiros anos de vida (Willstedt-Svensson et al., 2004; Hyppolito; Bento, 2012). A literatura documenta que crianças com IC apresentam baixos escores da MO (Kronenberger et al., 2018) e que são escassos os estudos que demonstram os efeitos de ensino e intervenções sobre a MO nessa população (Shibukawa et al., 2022). Uma possibilidade de pesquisa seria estender essas investigações e verificar se programas instrucionais poderiam melhorar os escores de MO e CS de crianças com IC.

Pesquisas têm demonstrado o potencial do ensino baseado em equivalência (Equivalence-Based Instruction, EBI) para promover habilidades verbais em crianças com desenvolvimento típico e atípico (de Rose; Gil; de Souza, 2014). O EBI propõe, basicamente, ensinar relações condicionais entre estímulos que compartilham de elementos comuns, e avaliar as relações entre estímulos que não foram diretamente ensinadas (de Rose; Gil; de Souza, 2014). Essas relações entre estímulos são novas - mas os estímulos são os mesmos do ensino direto - e consideradas simbólicas se observadas as propriedades formais que atestam a formação de classes de estímulos equivalentes (Sidman, 1994). Esses estímulos podem ser permutáveis uns pelos outros, de forma contextualizada (de Rose; Gil; de Souza, 2014), e um responder que ocorria inicialmente diante de um estímulo discriminativo poderá ser observado frente aos demais estímulos que compõem a classe de estímulos equivalentes (Sidman, 1994; de Rose, 2005; Mackay, 2013). Esses resultados têm sido promissores e replicados em crianças com IC quando expostas ao EBI com palavras (Almeida-Verdu; Gomes, 2016; Anastácio-Pessan et al., 2015; Lucchesi et al., 2015; Lucchesi et al., 2022) e, de modo mais recente, com sentenças (Neves et al., 2018; Neves et al., 2019; Silva; Almeida-Verdu; Neves, 2017; Neves, 2019b; Nascimento, 2020; Alvarez, 2020; Neves et al., 2022).

O EBI de sentenças pode envolver relações entre estímulos e responder sob controle da ordem das palavras (Almeida-Verdu et al., 2021; Ponciano; Moroz, 2012). Um procedimento de ensino frequentemente usado é o Matching-to-Sample (MTS) que consiste na apresentação de um estímulo modelo que estabelece uma condição para selecionar um, dentre dois ou mais estímulos de comparação disponíveis (Cumming; Berryman, 1965) e cuja ordem de seus componentes esteja relacionada ao modelo. O ensino de sentenças pode se dar também pela construção, demandando responder sequencial (Assis; Élleres; Sampaio, 2006; Mackay, 2013) por meio do procedimento de Constructed-Response Matching-to-Sample (CRMTS), em que os componentes são selecionados ordenadamente para compor o estímulo relacionado ao modelo (Mackay; Sidman, 1984; Mackay, 2013).

Neves e colaboradores (2018) avaliaram os efeitos de um programa de ensino de sentenças, que incluía o EBI e estímulos estruturados em matrizes, em crianças com IC. Os participantes apresentavam um repertório inicial superior a 70% de acertos na leitura e inferior a 50% de acertos na nomeação de figuras. O ensino direto consistiu em selecionar figuras de ações condicionalmente às sentenças ditadas via MTS, e construir sentenças impressas sob ditado via CRMTS. As relações não diretamente ensinadas (i.e., relação sentença impressa-figura, figura-construção de sentença impressa, leitura e nomeação de figuras) foram avaliadas durante as sondas. Combinado ao EBI, as sentenças de três termos (sujeito-verbo-objeto) foram organizadas por meio de uma matriz (Goldstein, 1983; Remington, 1994): três nomes e três verbos foram dispostos, respectivamente, em linhas e colunas, produzindo nove sentenças a partir da sobreposição dos termos das linhas, colunas e do objeto invariável. Foram ensinadas as três sentenças da diagonal da matriz e as demais foram usadas para avaliar a produtividade sintática. As crianças com IC aprenderam as relações ensinadas, formaram classes de equivalência (entre sentenças ditadas, impressas e figuras de ação) e aumentaram a precisão em nomeação de figuras; essas relações entre estímulos e entre estímulos e respostas demonstram a produtividade semântica dessas condições de ensino (Mackay; Fields, 2009). Os participantes também foram capazes de nomear novas figuras e construir corretamente sentenças a partir da recombinação de componentes menores das sentenças treinadas, demonstrando a produtividade sintática (Mackay; Fields, 2009; Mackay, 2013). Esses resultados foram replicados em Neves e colaboradores (2019, 2022), Silva, Almeida-Verdu e Neves (2017), Nascimento (2020) e Alvarez (2020).

O Estudo 2 de Neves (2019b) avançou nessa frente de pesquisa ao ampliar o número de conjuntos de estímulos e organizá-los em níveis de complexidade, em uma proposta de módulo de ensino. Usando matrizes de ensino, os conjuntos de sentenças incluíam desde palavras simples (e.g., Mila seca o bule), com dificuldades de decodificação (e.g., Dinho chuta a latinha) até pseudopalavras (e.g., Deva zabe o tabilu). A estrutura do EBI e das matrizes foi replicada (cf., Neves et al., 2018) e parâmetros experimentais foram refinados, como delineamento e estabilidade da linha de base. Os resultados replicaram estudos prévios e demonstraram o potencial do programa de ensino para favorecer a produtividade semântica e sintática de crianças com IC.

Considerando processos comportamentais, o responder sequencial está nas bases da construção de sentenças (Mackay, 2013; Almeida-Verdu et al., 2021), da CS (Neves, 2019a; Saddler; Behforoorz; Asaro, 2008) e da MO (Baltruschat et al., 2012). Desse modo, uma hipótese relevante é que o ensino que envolve responder sequencial, como a construção de sentenças, pode produzir mudanças em habilidades relacionadas a CS e MO. Baltruschat e colaboradores (2012) mostraram experimentalmente as relações entre o responder sequencial e a MO, em que os participantes com autismo aumentaram os escores de MO após um ensino que requeria sequenciar múltiplos exemplares de letras. As relações entre o responder sequencial e a CS foram explicitadas por Saddler, Behforoorz e Asaro (2008): quatro crianças com dificuldade de aprendizagem e de escrita passaram por um programa que ensinava a sequenciar palavras em sentenças e parágrafos e, após o ensino, aumentaram os escores de CS, especialmente na construção de sentenças e categorização gramatical das palavras.

Essa questão de pesquisa poderia ser explorada empiricamente com crianças com IC, de modo a verificar se essas mudanças nos escores de MO e de CS podem ocorrer em função de condições de ensino que incluam sequenciar palavras em sentenças. O objetivo do presente estudo foi avaliar se um programa de ensino de sentenças, baseado em EBI e matrizes, afetaria os escores da MO e da CS, em uma criança com IC que apresenta habilidades básicas de leitura.

 

Método

Participante

Participou da pesquisa uma criança do sexo masculino, Zac (nome fictício), com nove anos de idade no início do estudo, que cursava o 5º ano do Ensino Fundamental em escola pública de Bauru, interior do Estado de São Paulo. O diagnóstico audiológico era de Desordem do Espectro da Neuropatia Auditiva (DENA), que se caracteriza pela dissincronia da condução nervosa durante o processamento auditivo, que afeta a compreensão e produção da fala, e pode ser diminuída via implante coclear (Silva; Araújo, 2007).

Zac fazia uso do IC bilateral; o primeiro IC foi ativado aos cinco anos e seis meses no ouvido esquerdo e o IC contralateral foi ativado aos sete anos e nove meses. O participante fazia acompanhamento educacional e fonoaudiológico na instituição em que recebeu o IC. Todos os cuidados éticos foram tomados (CAAE23690719.9.0000.5398;23690719.9.3001.5441).

 

Variáveis Dependente e Independente

A variável independente foi o programa de ensino de sentenças (Neves, 2019b; Estudo 2). O programa incluía um EBI com 1) ensino direto de relações sentença ditada-figura e sentença ditada-construção da sentença impressa e 2) sentenças organizadas em matrizes (Goldstein, 1983).

Como variável dependente foi considerada a porcentagem de acertos nas tarefas que avaliavam as relações figura-construção de sentenças impressas, nomeação de figuras e leitura de sentenças impressas. Essas tarefas referem as relações semânticas (i.e., relações não ensinadas diretamente) com sentenças treinadas, e as relações sintáticas derivadas da recombinação entre componentes das sentenças treinadas. Também foram variáveis dependentes os escores obtidas nos subtestes de MO e de CS.

 

Ambiente, materiais e instrumentos

A entrevista inicial com a mãe e a primeira avaliação do participante ocorreram na residência deles, de forma presencial, em meados de fevereiro de 2020. Nessas sessões, foi usado um laptop com acesso ao PROLER®, que era o software que apresentava as tarefas e consequências programadas pelo pesquisador, bem como registrava as respostas de seleção e de construção do participante (Assis; Santos, 2010). Ainda, foram usadas caixas de som para apresentar os estímulos auditivos, o gravador do computador para registrar as respostas verbais, e jogos (e.g., cartas e tabuleiro) para interação lúdica com o participante.

As demais sessões de coleta de dados passaram a ocorrer na modalidade remota, em formato de telehealth (Osos et al., 2023), por meio do aplicativo de videochamada Zoom®, em decorrências das restrições e distanciamento físico imposto pela pandemia de SARS-Cov-2. Sob essas condições, o pesquisador manteve o mesmo computador e software anteriormente descritos, adotava recursos como compartilhamento de tela e comando de mouse do Zoom para conduzir o estudo (Shibukawa et al., 2021), e forneceu caixas de som e microfone para o participante durante todo o tempo de coleta. Um sistema de economia de fichas foi programado, de modo que o participante escolhia itens como chocolates, revistas, mangas (quadrinho japonês) e arquivos digitais de desenhos ao final de cada conjunto; esses itens eram entregues devidamente higienizados na portaria do prédio do participante.

As medidas de MO e CS, que são variáveis de interesse do presente estudo, foram obtidas por meio da aplicação sistemática dos seguintes testes:

- Wechsler Intelligence Scale for Children (WISC IV) (Wechsler, 2013), subtestes da escala da MO, quais sejam, dígitos (DG) e a sequência de números e letras (SNL). O subteste DG Ordem Direta (OD) consiste no examinador ditar números em uma ordem definida pelo teste, com pausa de um segundo, e o participante repetir na mesma ordem. No DG Ordem Inversa (OI), o examinador dita os números, com mesmo tempo de pausa, e o participante deve repeti-las de trás para frente. O subteste SNL inclui números e letras embaralhados que o examinador dita; e o participante deve dizer os números em ordem crescente e, na sequência, as letras em ordem alfabética (e.g., quando o examinador ditar A2D5, o participante deve responder 25AD).

- Corsi block-tapping (Corsi, 1972), conhecido como teste Cubos de Corsi (CC), consiste na disposição pseudorrandômica de nove cubos em um painel, que são numerados apenas na face que é direcionada ao examinador. A aplicação requer, inicialmente, que o examinador toque os blocos em uma determinada sequência, aproximadamente um bloco por segundo. Em seguida, o participante deve repetir a sequência feita pelo examinador, completando-a na OD ou OI, a depender a orientação do examinador. O número de blocos das sequências aumenta a cada tentativa.

- Prova de Consciência Sintática (PCS) (Capovilla; Capovilla; Soares, 2004) avalia a CS, por meio de tarefas orais, organizadas em quatro subtestes. No subteste de Julgamento Gramatical, são apresentadas frases gramaticais e agramaticais e o participante deve falar se a frase está correta ou incorreta gramaticalmente. O subteste Correção Gramatical envolve corrigir frases gramaticalmente incorretas, com anomalias morfêmicas ou inversões de ordem. No subteste seguinte, frases com incorreções tanto semânticas quanto gramaticais são apresentadas, e o participante deve corrigir apenas o erro gramatical. Na Categorização de Palavras, o participante deve categorizar palavras ditadas pelo experimentador em substantivo, verbo ou adjetivo.

A escolha do WISC-IV (especificamente os subtestes DG e SNL) e do CC é justificada por estudos semelhantes a este e que avaliaram MO em crianças com IC e outros transtornos do neurodesenvolvimento (Baltruschat et al., 2012; Kronenberger et al., 2018). A PCS foi selecionada por ser um dos instrumentos mais frequentes para avaliar CS, com validade importante para crianças brasileiras (Capovilla; Capovilla; Soares, 2004; Grivol; Hage, 2011; Oliveira; Guaresti; Viali, 2019).

Estímulos

Foram adotados os estímulos do Estudo 2 de Neves (2019b), que eram sentenças estruturadas em [sujeito]-[verbo]-[artigo definido]-[objeto], organizadas em três conjuntos com níveis gradativos de complexidade. O primeiro conjunto envolveu sentenças compostas por palavras dissílabas, com sílabas do tipo consoante-vogal e sem dificuldade de decodificação (e.g., “Mila seca o bule”). O segundo conjunto incluía palavras di e trissílabas, e com dificuldades de decodificação como “ch” e “nh” (e.g., “Dinho chuta a latinha”). O terceiro conjunto envolveu pseudopalavras sem significado na língua portuguesa (e.g. “Deva zabe a guzata”). Todos os estímulos auditivos e visuais foram importados do programa de Neves (2019b): as sentenças ditadas eram em voz feminina e gravadas em estúdio; as figuras eram importadas do programa Lótus (Seles et al., 2019), digitais, 500 x 500 pixels, coloridas e representavam cenas referentes às sentenças; e as sentenças escritas eram digitadas em fonte Arial, tamanho 65 e em um espaço de 5 x 5 centímetros.

As sentenças foram organizadas em matrizes (Goldstein, 1983), como apresentado na Figura 1. Foram ensinadas as três sentenças dispostas na diagonal de cada uma das matrizes de ensino. A generalização recombinativa foi avaliada para uma de amostra de 18 sentenças que recombinavam palavras que ocupavam a mesma posição dentro do mesmo conjunto (intra-matriz) e entre os conjuntos (entre matrizes).


 

 

 

 

 

 

 

 

 

 

 

 

 

 

 

 

 

 


Figura 1 - Matrizes representativas das sentenças ensinadas e avaliadas

 

 

 

Delineamento

Este estudo consiste em uma pesquisa experimental aplicada, de abordagem quantitativa, com um delineamento experimental de sujeito único denominado “sondas múltiplas” (Horner; Baer, 1978). As sondas múltiplas intercalaram o ensino de cada conjunto de sentenças e serviram para monitorar a porcentagem de acertos nas relações-alvo de um conjunto antes e depois de cada ensino, a manutenção dessa aprendizagem e os efeitos do ensino de um conjunto sobre as relações-alvo de outros conjuntos que ainda não tinham sido ensinados. Desse modo, esse delineamento permitiu identificar se o aumento nas porcentagens de acertos e nos escores (dos testes) ocorria em função do ensino que era aplicado de maneira escalonada, nos sucessivos conjuntos de sentenças.

Procedimento Geral


A programação geral foi a mesma adotada em Neves (2019b) e adicionou testes de MO e CS. As sessões foram individuais, de três a quatro vezes por semana, e com 30 minutos de duração em média. A Sonda 1.0 avaliou a linha de base do participante e foi realizada no formato presencial. Por conta da pandemia de Covid-19, ocorreu a pausa de seis meses até retomada em formato remoto, quando foi aplicado a Sonda 1.1 para reavaliar o participante antes do ensino. As demais sondas e ensino foram conduzidos no formato remoto, com mesma frequência e duração das sessões presenciais. Em cada conjunto de sentenças, o ensino direto envolvia emparelhamento de figuras às sentenças ditadas (AB) via MTS (i.e., respostas baseadas em seleção) e construção das sentenças impressas condicionalmente às sentenças ditadas (AE) via CRMTS (i.e., respostas baseadas em topografia).

Durante o ensino, foram providas consequências diferenciais para acertos e erros do participante. As respostas definidas como corretas eram seguidas de animações visuais em GIFs e elogios do aplicador. Em caso de erro, o feedback consistia em uma tela preta de dois segundos e a apresentação da próxima tentativa. As sondas, por sua vez, ocorreram sem feedback de acerto ou de erro (i.e., em extinção). A Tabela 1 demonstra a sequência geral do estudo, que está descrita a seguir.

 

Tabela 1 - Sequência Geral de Ensino e Testes do Estudo

Etapas via PROLER

MO

CS

Sonda 1.0

CC, DG, SNL

PCS

Sonda 1.1

 

 

Pré-treino

 

 

Ensino do Conjunto 1

 

 

Sonda 2

DG, SNL

PCS

 

 

 

Ensino do Conjunto 2

 

 

Sonda 3

DG, SNL

PCS

 

 

 

Ensino do Conjunto 3

 

 

Sonda 4

CC, DG, SNL

PCS

 

 

 

Fonte: Elaborado pelos autores

 

 

Sondas

As sondas avaliaram as habilidades verbais do participante, a partir da rede de relações de equivalência proposta, antes e depois do ensino de cada conjunto de sentenças. Essas sondas incluíam tentativas de seleção de estímulos, de vocalização e de construção para todas as sentenças do estudo, uma tentativa por sentença e por relação, somando 135 tentativas em cada sonda. Essas tentativas envolviam ler as sentenças impressas (CD), nomear oralmente as figuras (BD), selecionar figuras frente às sentenças ditadas (AB), e construir a sentença escrita selecionando as palavras dispostas na tela condicionalmente às sentenças ditadas e figuras (respectivamente, AE e BE).

Juntamente com as sondas, foram realizadas as avaliações da MO e da CS. A MO foi avaliada por meio dos testes DG e SLN do WISC-IV, e CC. A CS foi avaliada pela PCS. Os testes que eram verbais e não usavam estímulos visuais (i.e., DG, SNL e PCS) foram aplicados de maneira online via Zoom®, seguindo as indicações do Conselho Federal de Psicologia, especificamente a nota orientadora sobre avaliação psicológica em modalidade remota no contexto da pandemia de COVID-19 (Conselho Federal de Psicologia, 2020), e Cartilha de boas práticas para avaliação psicológica em contextos de pandemia (Conselho Federal de Psicologia, 2020). O teste de CC, por se tratar de um teste visual, foi aplicado apenas na Sonda 1.1 e 4, de modo presencial e adotou todas as medidas sanitárias (i.e., distanciamento físico, higienização do material, e uso de máscara e álcool).

 

Ensino de sentenças (Conjuntos 1, 2 e 3)

Pré-Treino

Antes de iniciar o ensino do primeiro conjunto de sentenças, foi realizado um pré-treino de seleção de figuras condicionalmente às sentenças ditadas (AB), com sentenças provavelmente conhecidas pelo participante e que funcionaram como relações de linha de base para o ensino do Conjunto 1. Essas relações foram ensinadas por meio do MTS combinado ao fading out do componente visual do modelo. Inicialmente, as tentativas envolviam relações de identidade entre as figuras e o componente visual do modelo que estava sobreposto ao componente auditivo (i.e., sentença auditiva). Um esvanecimento progressivo do componente visual do modelo multicomponente auditivo-visual ocorreu em pequenos passos até que a tentativa se transformasse em puramente auditivo-visual (Almeida-Verdu et al., 2008; Nascimento, 2020; Neves, 2019b). O critério de aprendizagem era 100% de acertos nas tentativas puramente auditivo-visuais.

 

Ensino de relações entre sentença ditada e figura (AB)

Em seguida, o ensino das relações condicionais entre sentenças ditadas e figuras (AB) ocorreu por MTS combinado ao ensino por exclusão. O bloco de ensino AB tinha 21 tentativas que incluíam linha de base, de exclusão, de controle e de aprendizagem (de Rose; de Souza; Hanna, 1996; Neves et al., 2022). As tentativas de linha de base consistiram em selecionar uma figura, dentre três figuras conhecidas, condicionalmente à sentença ditada também conhecida; para o ensino do Conjunto 1, as relações condicionais de linha de base foram estabelecidas no pré-treino. Na tentativa de exclusão, foram apresentados uma nova sentença ditada como modelo e três figuras para escolha, sendo duas conhecidas e uma nova; o participante deveria selecionar a figura nova, relacionando a sentença ditada nova, e rejeitando as figuras já conhecidas. As tentativas de controle (da novidade) apresentavam uma sentença ditada conhecida como modelo e três figuras para escolher, sendo duas figuras conhecidas e uma figura nova, e o participante deveria selecionar a figura conhecida que era relacionada ao modelo conhecido. As tentativas de aprendizagem apresentavam as novas sentenças ditadas como modelo e as figuras novas como comparações, e o participante deveria selecionar a figura relacionada arbitrariamente à sentença ditada. O ensino das relações AB dos conjuntos posteriores usava as relações AB do conjunto anterior como linha de base. O critério de aprendizagem era 100% de acertos no bloco. Caso o participante não atingisse o critério, eram realizadas até três exposições na mesma sessão; em seguida, a sessão era finalizada e o ensino retomado na próxima sessão.

 

Ensino de relações entre sentença ditada e construção da sentença impressa (AE)

O ensino da construção de sentenças impressas condicionalmente as sentenças ditadas (AE) ocorreu por meio do CRMTS. Inicialmente, o participante selecionava um quadrado azul na tela que habilitava, simultaneamente, a reprodução da sentença ditada via computador e a apresentação de 11 palavras escritas que eram dispostas na parte inferior da tela. Havia quatro palavras escritas relacionadas experimentalmente às sentenças ditadas que, se selecionadas na ordem correta (i.e., sujeito-verbo-artigo-objeto), eram seguidas pelas consequências programadas para acerto; as outras sete palavras disponíveis, se selecionados, eram seguidos pela consequência programada para erro. O ensino AE foi composto por 21 tentativas, divididos em 3 blocos, sendo dois de seis tentativas e um de nove tentativas. O critério de aprendizagem em cada bloco de ensino era 100% de acertos em duas exposições consecutivas. Caso o participante não atingisse o critério, eram realizadas até três exposições na mesma sessão; em seguida, a sessão era finalizada e o ensino retomado na próxima sessão.

 

Revisão de ensino

Após o ensino AE de cada conjunto, era aplicado um bloco de revisão das relações diretamente treinadas (AB e AE), três tentativas por relação, totalizando 18 tentativas. O critério de aprendizagem era 100% de acertos em até três exposições na mesma sessão; se não atingido o critério, a sessão era finalizada e o ensino retomado na próxima sessão.

 

Procedimento de Análise dos Dados e Concordância entre Observadores

O software gerou relatórios do participante com registro de quantidade de acertos e erros nas tentativas e número de tentativas por bloco, em cada sessão. Os dados das tarefas de seleção e de construção foram transportados para o Microsoft Office Excel® e a quantidade de acertos, por etapa e relação, foi convertida em porcentagem.

A produção oral do participante nas tarefas de nomeação (BD) e leitura (CD) foi analisada em termos de precisão da fala (Yoder; Camarata; Gardner, 2005; Neves, 2019b). As respostas do participante foram transcritas pelo pesquisador e registradas por meio de fonemas, de modo a verificar a correspondência ponto a ponto com a produção-alvo, a partir das convenções do Português Brasileiro. A precisão da fala foi apresentada em porcentagem e obtida pelo seguinte cálculo: número de fonemas emitidos corretamente / número total de fonemas da sentença x 100. A título de exemplo, dada a sentença-alvo “Mila cola o bule” (13 fonemas) e o participante verbalizar “Mila cola o bole”, seriam considerados 12 fonemas corretos e a precisão da fala seria de 92%.

Os dados de produção oral também foram submetidos a análise de concordância entre observadores. Uma amostra de 21,86% dessas gravações foi disponibilizada para um observador que desconhecia o procedimento e a população usuária de IC. Essa concordância foi obtida em porcentagem e calculada pela seguinte fórmula: número de concordâncias, dividido pela soma das concordâncias e discordâncias, multiplicado por 100 (Kazdin, 1982). A concordância entre observadores foi de 93,68%.

As medidas de MO e CS foram obtidas a partir da correção de acordo com as normas padronizadas dos referidos instrumentos, e organizadas em planilhas do Excel®. Os testes de DG e SNL foram corrigidos pelas tabelas e normas do WISC-IV, sendo feita a correção de escore bruto, convertidos para ponderados e índice de memória operacional (IMO) acompanhado de Percentil. O CC foi corrigido usando o escore Z de acordo com os dados normativos de Dias e colaboradores (2019). O PCS foi corrigido a partir do escore bruto, como recomendado por Capovilla, Capovilla e Soares (2004).

 

Resultados

O participante concluiu o estudo em 32 sessões, das quais 13 sessões foram destinadas aos blocos de ensino e de revisão. Zac aprendeu todas as relações ensinadas com os três conjuntos de sentenças, sendo necessárias cinco exposições aos blocos de ensino das relações condicionais entre sentença ditada e figuras (AB) até obter 100% de acertos com estímulos do Conjunto 1, duas exposições com o Conjunto 2 e apenas uma exposição com o Conjunto 3. A aprendizagem da construção de sentenças escritas sob ditado (AE) foi mais rápida, sendo necessárias uma exposição nos Conjuntos 1 e 2 e duas exposições com o Conjunto 3.

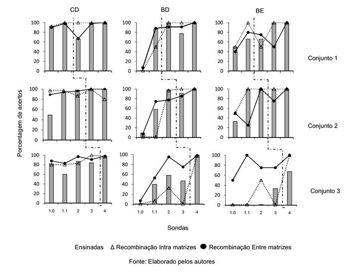
A Figura 2 apresenta a porcentagem de acertos nas tarefas de nomeação de figuras (BD), leitura de sentenças (CD) e construção de sentenças escritas condicionadas às figuras (BE), durante as sondas múltiplas do estudo (c.f., Tabela 1).

 

Figura 2 – Porcentagem de acertos do participante nas tarefas de leitura (CD), nomeação de figuras (BD) e construção de sentenças escritas diante de figuras (BE), ao longo das múltiplas sondas do estudo.

Nas Sondas 1.0 e 1.1 (as duas medidas anteriores a linha tracejada que demarca o ensino), os resultados em leitura (CD) eram superiores aos de nomeação de cenas (BD) nas sentenças de ensino (barras) e sentenças recombinadas (triângulos e círculos), para os três conjuntos de estímulos. Os resultados eram superiores a 80% de acertos em leitura. Na nomeação de figuras, os resultados foram praticamente nulos na primeira avaliação e, com a passagem do tempo (primeiros meses de isolamento físico em decorrência da pandemia de Covid-19), a porcentagem de acertos aumentou nos três conjuntos de estímulos com porcentagens entre 40% e 87% de acertos em sentenças de ensino e recombinadas (respectivamente, segundas barras e círculos fechados na Figura 2); somente as sentenças recombinadas intra-matriz (triângulos) permaneceram com porcentagens de acertos inferiores a 50% de acertos. A nomeação de figuras (BD) e a construção de sentenças impressas frente às figuras (BE) do Conjunto 3 manteve abaixo de 58% de acertos até a exposição ao ensino, para as sentenças de ensino e recombinadas.

Na Figura 2 observa-se que, imediatamente após o ensino (linha tracejada), Zac obteve entre 80 e 100% de acertos nas tarefas de leitura (CD) e de nomeação de figuras (BD), para as sentenças de ensino (barras) dos três conjuntos, exceto na leitura (CD) do Conjunto 1. Essa performance também foi observada nas tarefas de construção (BE) com o Conjunto 2; com o Conjunto 3, Zac teve 67% de acertos, o que foi superior ao obtido na linha de base (33%). Nas três relações-alvo (CD, BD e BE), os resultados com sentenças recombinadas intra-matriz (triângulos) e entre matrizes (círculos) foram de 100% de acertos em, pelo menos, uma das sondas após o ensino.

A Tabela 2 apresenta os resultados nos testes de MO verbal (DG e SNL) e não verbal (CC), e de CS (PCS). De maneira geral, foi observada muita variabilidade nos resultados e, em alguns testes, os escores obtidos por Zac aumentaram à medida que era exposto aos conjuntos do programa de ensino; por exemplo, Zac aumentou sistematicamente os escores totais de DG (2, 6, 7, 6 respectivamente) ao longo da exposição ao ensino; o aumento no escore está especificamente relacionado à OI (4, 9, 12 e 9). Esse aumento também foi observado, com alguma variação, no percentil no IMO. O ensino não afetou as medidas de SNL. No CC em OD, Zac obteve 0.724 (classificação Média), em escore Z, na Sonda 1.0, e 1.216 (classificação Alta) na Sonda 4; em OI, Zac apresentou escore 1.860 (classificação Alta) nas Sondas 1.0 e 4.

Tabela 2 - Resultados das avaliações psicológicas em MO e CS durante o estudo

 

Teste

Subtestes

Sonda 1.0

Sonda 2

Sonda 3

Sonda 4

WISC-IV

DG (Ponderado)

OD

3

3

3

3

OI

4

9

12

9

Total

2

6

7

6

SNL (Ponderado)

Total

4

3

4

4

IMO (Percentil)

 

59 (0.3)

68 (2)

74 (4)

71 (3)

 

 

 

 

 

 

 

PCS

(Escore Bruto)

Julgamento Gramatical

11

10

10

8

 

Correção Gramatical

2

7

0

1

 

Correção Gramatical de frases com incorreções gramatical e semântica

0

3

2

2

 

Categorização de palavras

7

2

6

5

 

 

Total

20

22

18

16

 

 

Classificação

Muito rebaixado

Muito rebaixado

Muito rebaixado

Muito rebaixado

 

 

 

 

 

 

 

 

 

CC

(Escore Z)

 

OD

0.724

 

 

1.216

 

 

Classificação

Média

-

-

Alta

 

 

OI

1.860

 

 

1.860

 

 

Classificação

Alta

-

-

Alta

 

DG: Dígitos; OD: Ordem Direta; OI: Ordem Inversa; SNL: Sequência de Números e Letras; IMO: Índice de Memória Operacional; CC: Cubos de Corsi.

 

Fonte: Elaborado pelos autores.

 

 

Em relação à CS, foram considerados os escores brutos das quatro subtestes da PCS (área em cinza claro da Tabela 2). Houve variabilidade, porém sem tendência de melhora, nos escores do participante nos subtestes Julgamento Gramatical (respectivamente, 11, 10, 10 e 8), Correção Gramatical (respectivamente 2, 7, 0 e 1) e Categorização de Palavras (respectivamente 7, 2, 6 e 5). O subteste Correção Gramatical de Frases com Incorreções Gramatical e Semântica foi o único subteste em que os sucessivos escores obtidos foram superiores aos da linha de base (i.e., 0, 3, 2 e 2 respectivamente).

 

Discussão

O presente estudo avaliou se uma criança com IC aumentaria a nomeação precisa de figuras, a construção de novas sentenças e os escores de MO e CS, após passar por um programa de ensino computadorizado de sentenças. O participante aprendeu a selecionar figuras e construir sentenças escritas condicionalmente às sentenças ditadas (AB e AE), para três conjuntos de sentenças. Nos pré-testes, as habilidades de leitura (CD) eram superiores às de nomeação (BD) e de escrita (BE). Após o ensino, essas relações ficaram mais acuradas em todos os conjuntos, tanto com as sentenças ensinadas quanto recombinadas intra e entre matrizes, o que pode ser especialmente observado no Conjunto 3 com pseudo-sentenças. Em síntese, Zac demonstrou produtividade semântica (relações de equivalência entre sentenças ditadas, escritas e figuras) e sintática (produção de novas sentenças, a partir da recombinação de componentes ensinados) após o ensino de sentenças.

Esses resultados replicam os obtidos no Estudo 2 de Neves (2019b) quanto à formação de classes de estímulos equivalentes, precisão da fala em nomeação e produtividade de sentenças, mesmo após a aplicação do ensino a distância e as adaptações feitas em função da pandemia de COVID-19. Esses dados convergem com achados prévios que mostraram o efeito do EBI sobre a precisão da nomeação em crianças com IC usando sentenças de três (Neves et al., 2018; Neves et al., 2022), quatro (Alvarez, 2020; Nascimento, 2020; Neves, 2019b) e cinco termos (Silva; Almeida-Verdu; Neves, 2017).

O aumento da porcentagem de acertos entre a aplicação do Sonda 1.0 e 1.1, em um intervalo de seis meses e que ocorreram antes do ensino, sugere algumas hipóteses. Uma possibilidade seria a interferência de aspectos maturacionais e/ou de exposição a contingências no contexto domiciliar que favoreceram habilidades comunicativas (Bevilacqua; Formigoni, 1998). No caso desse estudo, as interações familiares podem ter sido acentuadas em decorrência do período de isolamento físico no primeiro momento da pandemia de COVID-19. Outra hipótese é que repetidos testes podem oferecer benefícios à aprendizagem, como demonstrado experimentalmente em Adesope, Trevisan e Sundararajan (2017) e Fields (1981), e reproduzido com crianças com implante coclear (Hussein et al., 2023). Cabe ressaltar que essas variáveis intervenientes não foram suficientes para produzir a acurácia da fala (>90% acertos) em tarefas de nomeação de figuras nos três conjuntos, o que foi somente obtida após a exposição do participante às contingências de ensino.

O programa de ensino atuou como variável relevante para aumentar a precisão da fala na nomeação de figuras nos três conjuntos de sentenças. Nos Conjuntos 1 e 2, a demonstração experimental dessas relações funcionais foi sutil e provavelmente afetada por variáveis extra-experimentais como palavras recorrentes no cotidiano do participante, a escolarização e a reabilitação auditiva (Moret; Bevilacqua; Costa, 2007). O Conjunto 3, que envolvia sentenças com pseudo-palavras e sem significado para o participante, serviu como controle importante e permitiu demonstrar experimentalmente o efeito do ensino sobre a nomeação precisa de figuras; logo, o participante não aprenderia a nomear essas figuras em contexto diferente do programado no presente estudo. Esses resultados replicam Neves (2019b) e são consistentes com estudos anteriores que mostraram o aumento da nomeação precisa em função do EBI, de palavras (Anastácio-Pessan et al., 2015; Lucchesi et al., 2015) a sentenças (Alvarez, 2020; Nascimento; 2020; Neves, et al., 2018; Neves, 2019b; Neves et al., 2022; Silva; Almeida-Verdu; Neves, 2017).

A necessidade de cinco exposições ao ensino para aprender a emparelhar figuras às sentenças ditadas do Conjunto 1 demonstra que o controle pelo estímulo auditivo ainda precisava ser estabelecido ou fortalecido para Zac, assim como observado em estudos anteriores (Neves et al., 2018; Silva; Almeida-Verdu; Neves, 2017). As condições sob as quais a aprendizagem de ouvinte envolvendo sentenças pode ocorrer, com poucos ou nenhum erro, em crianças com deficiência auditiva e IC, deve ser alvo de futuros estudos (Neves et al., 2022; Nascimento; 2020).

O participante aprendeu a construir sentenças impressas condicionalmente às sentenças ditadas (AE), por meio do ensino por CRMTS, sendo necessária apenas uma exposição para alcançar 100% de acertos nos Conjuntos 1 e 2, e de duas exposições no Conjunto 3. Esses achados confirmam estudos anteriores com sentenças (Neves et al., 2018; Neves et al., 2019; Silva; Almeida-Verdu; Neves, 2017; Neves, 2019b; Alvarez; 2020; Nascimento, 2020; Neves et al., 2022) e sugerem que a construção (via CRMTS) como componente relevante do EBI para que as unidades mínimas exerçam controle sobre sequenciar a sentença escrita que está arbitrariamente relacionada à sentença ditada (Mackay, 2013; Mackay; Sidman, 1984; Neves, 2019b; Alvarez; 2020).

O participante formou classes de equivalência e aumentou a precisão em nomeação de figuras (BD). Após estabelecer relações de equivalência entre sentenças ditadas, figuras e sentenças impressas (ABC), houve a extensão do controle sobre a precisão da fala do estímulo textual para a figura, replicando estudos prévios que aplicaram EBI de sentenças nessa população (Neves et al., 2018; Neves et al., 2019; Silva; Almeida-Verdu; Neves, 2017; Neves, 2019b; Alvarez; 2020; Nascimento, 2020; Neves et al., 2022). De modo mais amplo, a porcentagem de acertos em nomeação (BD) ficou mais próxima a de leitura (CD) após o EBI, o que confirma sistematicamente os achados de que relações de equivalência integram habilidades verbais (de Rose, 2005; Sidman, 1994) em crianças com IC, tanto com palavras quanto com sentenças (Almeida-Verdu; Golfeto, 2016; Lucchesi et al., 2022; Almeida-Verdu et al., 2021).

A produtividade de sentenças, demonstrada na recombinação dos componentes de diferentes matrizes (entre matrizes), pode ter sido potencializada por variáveis de procedimento no programa de ensino. A sobreposição e posição regular das palavras com função de sujeito, verbo e objeto nas sentenças estruturadas em matrizes (Goldstein, 1983) e a exigência da resposta construída durante o ensino via CRMTS podem ter favorecido o controle pelas unidades menores da sentença (i.e., cada palavra em ordem regular), produzindo repertórios de recombinação entre estímulos com mesma função ordinal (Almeida-Verdu et al., 2021; Mackay, 2013; Alvarez, 2020; Neves, 2019b).

O aumento de algumas medidas de MO após o ensino, como em DG-OI e CC-OD, pode ser considerado uma demonstração empírica de que intervenções envolvendo sequenciar estímulos afetam medidas de MO. Os resultados de Zac replicam achados prévios com crianças que usam IC (Kronenberger et al., 2011; Mishra; Boddupally, 2018) e com desenvolvimento atípico (Baltruschat et al., 2011; Baltruschat et al., 2012). O presente estudo também agrega a literatura ao demonstrar que medidas de MO podem aumentar quando o ensino emprega sentenças como estímulos, diferentemente de estudos anteriores que usaram letras e números (Baltruschat et al., 2011; Baltruschat et al., 2012; Kronenberger et al., 2011; Mishra; Boddupally, 2018).

Em uma descrição operante, o responder sequencial está nas bases da produção de sentenças, da CS e da MO (Mackay, 2013; Neves, 2019b; Baltruschat et al., 2011; Baltruschat et al., 2012; Saddler; Behforooz; Asaro,2008). Se as contingências de ensino incluíram procedimentos que requeriam sequenciar palavras para produzir sentenças (e.g., o CRMTS) e a organização regular por matrizes (Goldstein, 1983), era possível que o efeito dessas contingências de reforço se estendessem para outros comportamentos que exigiam sequenciação, tal como nas tarefas de DG-OI e CC. Futuros estudos poderão explorar melhor essa hipótese e avaliar a direcionalidade dessa relação, verificando se ensinar a sequenciar estímulos (visuais ou auditivos, verbais ou não-verbais) afetaria a produtividade de sentenças nessa população.

Nas sucessivas avaliações do PCS, os resultados em “Correção Gramatical de Frases com Incorreções Gramatical e Semântica” são dignos de nota: a avaliação final é maior que a linha de base, e o aumento nos escores aparentemente não está em função do ensino. Por um lado, relações semânticas (i.e., classes de estímulos equivalentes) e sintáticas (i.e., ordenar palavras em sentenças) foram deliberadamente programadas nas contingências do presente estudo e se assemelham às tarefas requeridas em testes de consciência sintática (Capovilla; Capovilla; Soares, 2004; Neves, 2019a; Saddler; Behforoorz; Asaro, 2008). Por outro lado, um estudo recente (Oliveira; Guaresti; Viali, 2019) identificou uma correlação moderada entre a aquisição de leitura e escrita com medidas de memória operacional (MO), e uma correlação fraca entre a aquisição de leitura e escrita e as medidas de consciência sintática (CS), em alunos com audição típica do primeiro e segundo ano de alfabetização. Ainda, nossos achados diferem dos de Saddler, Behforoorz e Asaro (2008), o que pode ser explicado parcialmente pelo fato de a CS ser avaliada por um teste em língua inglesa (como o TOWL-3), que pode divergir em alguns parâmetros da Prova de Consciência Sintática (PCS). Considerando a escassez de estudos nacionais que relacionam ensino de sentenças e mudanças nos escores de PCS, os resultados do presente estudo fortalecem a recomendação de que as relações entre escores de CS e ensino de sentenças devem ser mais bem investigadas.

 

 

Conclusão

O presente estudo avaliou os efeitos de um programa de ensino de sentenças, baseado em equivalência e organizado em matrizes, sobre as habilidades de nomeação precisa de figuras, de MO e de CS em uma criança com IC. Houve um aumento da precisão da fala na nomeação, na construção de novas sentenças e nas medidas de MO em função do ensino; ao passo que os escores de CS apresentaram variabilidade e salientam a necessidade de estudos que verifiquem empiricamente as relações entre o ensino de sentenças e medidas de CS.

Algumas limitações desse estudo devem ser alvo de análise e ajuste em futuras pesquisas. Um único participante não necessariamente representa uma limitação, já que a população com deficiência auditiva e implante coclear é escassa e delineamentos experimentais de sujeito único se constituem uma vantagem (Cannon et al., 2016). No entanto, os efeitos adversos do isolamento não permitiram replicar os resultados intra-participante, uma vez que as medidas de nomeação com os Conjuntos 1 e 2 melhoraram antes mesmo da intervenção. Futuras pesquisas devem verificar se os resultados serão replicados em novos participantes, além de garantir medidas de linha de base sem tendência de melhora, de modo a identificar melhor as relações funcionais nesse delineamento de sujeito único (Horne; Baer, 1978). Foi observado o efeito da sucessiva aplicação de testes (“testing effect”) que pode, de alguma forma, levar a aprendizagem dessas relações (Saunders et al., 1988; Lucchesi et al., 2022); esse efeito tem sido explorado em diferentes estudos (Adesope; Trevisan; Sundararajan, 2017; Fields, 1981), inclusive em tarefas de leitura em crianças com IC (Lucchesi et al., 2022; Hussein et al., 2023). Medidas adicionais e externas ao procedimento podem ser incorporadas, como o Teste de Desempenho Escolar, visando identificar a eficácia e generalidade da intervenção (Cravo; Almeida-Verdu, 2018).

Essa pesquisa pode ser considerada exploratória na investigação das relações entre ensino de sentenças e medidas externas que envolvem repertórios sequenciais como MO e CS. Nossos resultados sugerem que essa relação precisa ser melhor esclarecida para essa população, com implicações importantes para a construção de um currículo de sentenças e o desenvolvimento de habilidades cognitivas em função do ensino sistemático.

 

Agradecimento

Ana Claudia Moreira Almeida Verdu é Bolsista Produtividade CNPq. Anderson Jonas das Neves contribuiu com o estudo durante pós-doutorado pela FAPESP (FAPESP2018/16694-5). Os autores agradecem o aporte do Instituto Nacional de Ciência e Tecnologia sobre Comportamento, Cognição e Ensino (CNPq 465686/2014-1, FAPESP 2014/50909-8).

 

Referências

ABREU, Neader; MATTOS, Paulo. Memória. In: MALLOY-DINIZ, Leandro Fernandes et al.  Avaliação Neuropsicológica. Porto Alegre: ARTMED, 2010. p. 76-85.

ADESOPE, Olusola; TREVISAN, Dominic; SUNDARARAJAN, Narayankripa. Rethinking the use of tests: A meta-analysis of practice testing. Review of Educational Research, v. 87, n. 3, p. 659-701, 2017. Disponível em: https://journals.sagepub.com/doi/10.3102/0034654316689306. Acesso em: 1 set. 2022.

ALMEIDA-VERDU, Ana Cláudia Moreira et al. Relational learning in children with deafness and cochlear implants. Journal of the Experimental Analysis of Behavior, v. 89, n. 3, p. 407-424, 2008. Disponível em: https://www.ncbi.nlm.nih.gov/pmc/articles/PMC2373762/. Acesso em: 1 set. 2022.

Almeida-Verdu, Ana Cláudia Moreira; Golfeto, Raquel Melo. Stimulus control and verbal behavior: (In)dependente relations in populations with minimal verbal repertoires. In: Todorov, João Claudio. Trends in Behavior Analysis. Brasília: Technopolitik, 2016. p. 187–226. Disponível em: https://www.researchgate.net/publication/306574575_Stimulus_control_and_verbal_behavior_independent_relations_in_populations_with_minimal_verbal_repertoires. Acesso em: 1 set. 2022.

ALMEIDA-VERDU, Ana Cláudia Moreira; GOMES, Fernanda Piqueira. Precisão da fala em nomeação de figuras após formação de classes de equivalência em crianças com implante coclear. Perspectivas em Análise do Comportamento. v. 7, n. 2, p. 274-287, 2016. Disponível em: http://pepsic.bvsalud.org/scielo.php?script=sci_arttext&pid=S2177-35482016000200009.  Acesso em: 1 set. 2022.

ALMEIDA-VERDU, Ana Cláudia Moreira et al. Subsídios necessários para ampliar o programa de ensino de repertórios verbais visando sentenças. In: ALBUQUERQUE, Alessandra Rocha; MELO, Raquel Maria. Contribuições da análise do comportamento para a compreensão da leitura e escrita: aspectos históricos, conceituais e procedimentos de ensino (volume I). Marília: Oficina Universitária,  2021. p. 249-286. Disponível em: https://ebooks.marilia.unesp.br/index.php/lab_editorial/catalog/view/238/2230/3756. Acesso em: 1 set. 2022.

ALVAREZ, Maria Fernanda Cazo. Efeitos do ensino de sentenças impressas por construção e por seleção sobre a compreensão e produção oral em crianças com implante coclear. 2020. 110f. Dissertação (Mestrado). Universidade Estadual Paulista Júlio Mesquita Filho. Programa de Pós-graduação em Psicologia do Desenvolvimento e Aprendizagem, Bauru, 2020. Disponível em: https://repositorio.unesp.br/bitstream/handle/11449/192588/alvarez_mfc_me_bauru%20.pdf?sequence=3&isAllowed=y. Acesso em: 1 set. 2022.

ANASTACIO-PESSAN, Fernanda da Luz et al. Usando o paradigma de equivalência para aumentar a correspondência na fala de crianças com implante coclear na nomeação de figuras e na leitura. Psicologia: Reflexão e Crítica, v. 28, n. 2, p. 365-377, 2015. Disponível em: https://www.scielo.br/j/prc/a/hxvy5R6RsvFt5mnLN8VhcWb/?format=html&lang=pt. Acesso em: 1 set. 2022.

ASSIS, Grauben José Alves; ÉLLERES, Cristiane Franco; SAMPAIO, Maria Elizângela Carvalho. Emergência de relações sintáticas em pré-escolares. Interação em Psicologia, v.10, n. 1, p. 19-29, 2006. Disponível em: https://revistas.ufpr.br/psicologia/article/view/5786. Acesso em: 1 set. 2022.

ASSIS, Grauben José Alves; BAPTISTA, Marcelo Quintino Galvão; NUNES, Ana Letícia Moraes. Formação de Sequências: Aspectos Conceituais e Metodológicos. Interação em Psicologia, v. 13, n. 2, p. 215-227, 2009. Disponível em: https://revistas.ufpr.br/psicologia/article/view/11960/11368. Acesso em: 1 set. 2022.

ASSIS, Grauben José Alves; SANTOS, Marcio Barbosa. PROLER (sistema computadorizado para o ensino de comportamentos conceituais). Belém-PA: Universidade Federal do Pará, 2010.

BADDELEY, Alan. Working Memory. Science, v. 255, n. 5044, p. 556-559, 1992. Disponível em: https://www.science.org/doi/10.1126/science.1736359. Acesso em: 1 set. 2022.

BADDELEY, Alan; HITCH, Graham. Development of Working Memory: Should the Pascual-Leone and the Baddeley and Hitch Models Be Merged?. Journal of Experimental Child Psychology, v. 77, n. 2, p. 128–137, 2000. Disponível em: https://www.sciencedirect.com/science/article/abs/pii/S002209650092592X. Acesso em: 1 set. 2022.

BALTRUSCHAT, Lisa et al. Addressing working memory in children with autism through behavioral intervention. Research in Autism Spectrum Disorders, v. 1. n. 5, p. 267-276, 2011. Disponível em: https://www.sciencedirect.com/science/article/abs/pii/S1750946710000607. Acesso em: 1 set. 2022.

BALTRUSCHAT, Lisa et al. The effects of multiple exemplar training on a working memory task involving sequential responding in children with autism. The Psychological Record, v. 62, n. 3, p. 549-562, 2012. Disponível em: https://link.springer.com/article/10.1007/BF03395820. Aceso em: 1 set. 2022.

BEVILACQUA, Maria Cecília; FORMIGONI, Gisela Maria Pimentel. Audiologia educacional: uma opção terapêutica para a criança deficiente auditiva. Carapicuíba: Pró-fono, 1998.

BUENO, Orlando Francisco Amodeo; BATISTELA, Silmara. Sistemas e tipos de memória. In: SANTOS, Flávia Heloisa; ANDRADE, Vivian Maria; BUENO, Orlando Francisco Amodeo. Neuropsicologia Hoje. 2ª Ed. Porto Alegre: Artmed, 2015. p. 76-82.

CANNON, J. E. et al. Single-case design research: building the evidence-base in the field of education of deaf and hard of hearing students. American Annals of the Deaf, v. 160, n. 5, p. 440–452, 2016. Disponível em: https://10.1353/aad.2016.0007. Acesso em: 08 fev. 2023.

CAPOVILLA, Alessandra Gotuzo Seabra; CAPOVILLA, Fernando César; SOARES, Joceli Vergínia Toledo. Consciência sintática no ensino fundamental: correlações com consciência fonológica, vocabulário, leitura e escrita. Psico-USF, v. 9, n. 1, p. 39-47, 2004. Disponível em: https://doi.org/10.1590/S1413-82712004000100006https://doi.org/10.1590/S1413-827120040001000066. Acesso em: 1 set. 2022.

CONSELHO FEDERAL DE PSICOLOGIA. Nota Orientativa sobre ensino da Avaliação Psicológica em modalidade remota no contexto da pandemia de Covid-19. Brasília, DF, 2020. Disponível em: https://site.cfp.org.br/nota-orientativa-sobre-ensino-da-avaliacao-psicologica-em-modalidade-remota-no-contexto-da-pandemia-de-covid-19/. Acesso em: 3 fev. 2022.

CONSELHO FEDERAL DE PSICOLOGIA. Cartilha De Boas Práticas Para Avaliação Psicológica Em Contextos De Pandemia. Brasília, DF, 2020. Disponível em: https://site.cfp.org.br/wp-content/uploads/2020/08/clique-aqui.pdf. Acesso em: 3 fev. 2022.

CORSI, Philip Michael. Human memory and the medial temporal region of the brain. Dissertation Abstracts International, v. 34, n. 2, p. 819, 1972.

CRAVO, Felipe Augusto Monteiro; ALMEIDA-VERDU, Ana Cláudia Moreira. Avaliação de desempenho escolar após exposição a um programa informatizado de leitura e escrita. Psicologia da Educação, n. 47, p. 1-10, 2018. Disponível em: http://dx.doi.org/10.5935/2175-3520.20180012. Acesso em: 1 set. 2022.

CUMMING, William; BERRYMAN, Robert. The complex discriminated operant: Studies of matching-to-sample and related problems. In: MOSTOFSKY, David. Stimulus Generalization. Stanford: Stanford University Press,1965 p. 284-330.

DE ROSE, Júlio César. Análise comportamental da aprendizagem de leitura e escrita. Revista Brasileira de Análise do Comportamento, v. 1, n. 1, p. 29-50, 2005. Disponível em: https://periodicos.ufpa.br/index.php/rebac/article/view/676. Acesso em: 1 set. 2022.

DE ROSE, Júlio César; GIL, Maria Stella Coutinho Alcântara; DE SOUZA, Deisy das Graças. Comportamento simbólico: bases conceituais e empíricas. Marília: Oficina Universitária, 2014.

DE ROSE, Júlio César; DE SOUZA, Deisy das Graças; HANNA, Elenice Seixas. Teaching reading and spelling: Exclusion and stimulus equivalence. Journal of Applied Behavior Analysis, v. 29, n. 4, p. 451-469, 1996. Disponível em: https://doi.org/10.1901/jaba.1996.29-451. Acesso em: 1 set. 2022.

FIELDS, Lanny. Early and late introduction of probes and stimulus control acquisition in fading. Journal of the Experimental Analysis of Behavior, v. 36, n. 3, p. 363-370, 1981. Disponível em: https://onlinelibrary.wiley.com/doi/abs/10.1901/jeab.1981.36-363. Acesso em: 23 jan. 2023.

GOLDSTEIN, Howard. Training generative repertoires within agent–action–object miniature linguistic systems with children. Journal of Speech & Hearing Research, v. 26, n. 1, p. 76-89, 1983. Disponível em: https://pubs.asha.org/doi/abs/10.1044/jshr.2601.76. Acesso em: 23 jan. 2023.

GRIVOL, Márcia Aparecida; HAGE, Simone Rocha de Vasconcellos. Phonological working memory: a comparative study between different age groups. Jornal da Sociedade Brasileira de Fonoaudiologia, v. 23, p. 245-251, 2011. Disponível em: https://doi.org/10.1590/S2179-64912011000300010. Acesso em: 23 jan. 2023.

HORNER, Ronald Don; BAER, Donald. Multipleprobe technique: a variation of the multiple baseline 1. Journal of Applied Behavior Analysis, v. 11, n. 1, p. 189-196, 1978. Disponível em: https://onlinelibrary.wiley.com/doi/abs/10.1901/jaba.1978.11-189. Acesso em: 23 jan. 2023.

HUSSEIN, Laila Guzzon et al. Effect of Density of Tests Interposed in Equivalence-Based Instruction on Speech Accuracy in Picture Naming. The Psychological Record, v. 73, n. 4, p. 525–540, 2023.  Disponível em: https://doi.org/10.1007/s40732-023-00570-0. Acesso em: 10 set. 2024.

HYPPOLITO, Miguel Angelo; BENTO, Ricardo Ferreira. Rumos do implante coclear bilateral no Brasil. Brazilian Journal of otorhinolaryngology, v. 78, p. 2-3, 2012. Disponível em: https://doi.org/10.1590/S1808-86942012000100001. Acesso em: 1 set. 2022.

KAZDIN, Alan. Single-case Research Designs: Methods for Clinical and Applied Settings. New York: Oxford University Press, 1982.

KRONENBERGER, William et al. Verbal learning and memory in prelingually deaf children with cochlear implants. International Journal of Audiology, v. 57, n. 10, p. 746-754, 2018. Disponível em: https://doi.org/10.1080/14992027.2018.1481538. Acesso em: 1 set. 2022

KRONENBERGER, William et al. Working Memory Training for Children With Cochlear Implants: A Pilot Study. Journal of Speech, Language, and Hearing Research, v. 54, n. 1, p. 1182–1196, 2011. Disponível em: https://doi.org/10.1044/1092-4388(2010/10-0119). Acesso em: 1 set. 2022.

LUCCHESI, Fernando Del Mando et al. Efeitos de um Programa de Ensino de Leitura sobre a Inteligibilidade da Fala de Crianças Usuárias de Implante Coclear. Psicologia: Reflexão e Crítica. v. 28, n. 3, p. 500-510, 2015. Disponível em: https://doi.org/10.1590/1678-7153.201528309. Acesso em: 1 set. 2022.

LUCCHESI, Fernando Del Mando et al. Speech accuracy and reading in children with cochlear implants. The Psychological Record. Advance online publication, 2022. Disponível em: https://doi.org/10.1007/s40732-022-00518-w. Acesso em: 1 set. 2022.

MACKAY, Harry. Developing syntactic repertoires: Syntheses of stimulus classes, sequences, and contextual control. European Journal of Behavior Analysis, v. 14, n. 1, p. 69–85, 2013. Disponível em: https://doi.org/10.1080/15021149.2013.11434446. Acesso em: 1 set. 2022.

MACKAY, Harry; FIELDS, Lanny. Syntax, Grammatical Transformation, and Productivity: A Synthesis of Stimulus Sequences, Equivalence Classes, and Contextual Control. In: REFELDT, Ruth Anne; BARNES-HOLMES, Yvonne. Derived Relational Responding: Applications for Learners with Autism and Other Developmental Disabilities. New Harbinger: London, 2009, p. 209-236.

MACKAY, Harry; SIDMAN, Murray. Teaching new behavior via equivalence relations. In: BROOKS, Penelope; SPERBER, Richard; MCCAULEY, Charley. Learning and cognition in the mentally retarded. Hillsdale: Erlbaum, 1984, p. 493-513.

MISHRA, Srikant; BODDUPALLY, Shiva. Auditory Cognitive Training for Pediatric Cochlear Implant Recipients. Ear and Hearing, v. 39, n. 1, p. 48-59, 2018. Disponível em: https://journals.lww.com/ear-hearing/fulltext/2018/01000/auditory_cognitive_training_for_pediatric_cochlear.5.aspx?casa_token=QxXaz4X_cZEAAAAA:BPvAXZ_Nb2GFkaoxd4JNJCWBOsSSSUh9tbZGo2edU3Bqfvd3e0k-a9F2jUJQ_nNDE6muklcb4MQKBRufF8-qs_AlhQJETg. Acesso em: 1 set. 2022.

MORET, Adriane Lima Mortari; BEVILACQUA, Maria Cecília; COSTA, Orozimbo Alves. Implante coclear: audição e linguagem em crianças deficientes auditivas pré-linguais. Pró-Fono Revista de Atualização Científica, v. 19, n. 3, p. 295-304, 2007. Disponível em: https://doi.org/10.1590/S0104-56872007000300008. Acesso em: 1 set. 2022.

NASCIMENTO, Karina Ortiz. Efeito de diferentes tipos de fading sobre o ensino de sentenças para crianças com deficiência auditiva usuárias de implante coclear. 2020. 100f. Dissertação (Mestrado). Universidade Estadual Paulista Júlio Mesquita Filho. Programa de Pós-graduação em Psicologia do Desenvolvimento e Aprendizagem, Bauru, 2020. Disponível em: http://hdl.handle.net/11449/192611. Acesso em: 1 set. 2022.

NEVES, Anderson Jonas. Avaliando aprendizagem de sentenças: considerações sobre testes comportamentais e de consciência sintática. In: BOLSONI-SILVA, Alessandra Turini et al. Comportamento em foco 9: análises teóricas, educação e questões sociais. São Paulo: Associação Brasileira de Psicologia e Medicina Comportamental – ABPMC, 2019a, p. 27-47. Disponível em: https://abpmc.org.br/wp-content/uploads/2021/08/15731270280143c905.pdf. Acesso em: 1 set. 2024.

NEVES, Anderson Jonas et al. Ensino baseado em equivalência e produção de sentenças em crianças com implante coclear. Revista Brasileira de Análise do Comportamento, v. 15, n. 1, p. 01-14, 2019. Disponível em: https://periodicos.ufpa.br/index.php/rebac/article/view/7918. Acesso em: 1 set. 2022.

NEVES, Anderson Jonas et al. Improving oral sentence production in children with cochlear implants: effects of equivalence-based instruction and matrix training. Psicologia: Reflexão e Crítica, v. 31, n. 1, p. 14, 2018. Disponível em: https://doi.org/10.1186/s41155-018-0095-y. Acesso em: 1 set. 2022.

NEVES, Anderson Jonas. Avaliação de procedimentos de ensino e uma proposta de currículo para ampliar a produção oral de sentenças em crianças com implante coclear. 2019b. 300f. Tese (Doutorado).  Universidade Federal de São Carlos. Programa de Pós-graduação em Psicologia, São Carlos. 2019b. Disponível em: https://repositorio.ufscar.br/handle/ufscar/11756. Acesso em: 1 set. 2024.

NEVES, Anderson Jonas et al. Sentence comprehension and production in children with cochlear implants: Errorless procedures and equivalence-based instruction. Behavioral Interventions, v. 38, n. 2, p. 376-400, 2022. Disponível em: https://doi.org/10.1002/bin.1922. Acesso em: 26 jan. 2023.

OLIVEIRA, Elizama; GUARESI, Ronei; VIALI, Lori. Análise de preditores linguísticos e cognitivos da aquisição e aprendizado inicial da leitura e escrita. Revista Virtual Língua Nostra, v. 6, n. 1, p. 3-30, 2019. Disponível em: https://www.linguanostra.net/index.php/Linguanostra/article/view/125. Acesso em: 1 set. 2022.

OSOS, Jessica A. et al. The Use of Matrix Training to Teach Color–Shape Tacts Through Telehealth. The Analysis of Verbal Behavior, p. 1-17, 2023. Disponível em: https://doi.org/10.1007/s40616-023-00193-0. Acesso em: 12 set. 2024.

PONCIANO, Vera Lucia de Oliveira; MOROZ, Melania. Utilizando frases como unidade de ensino de leitura: um procedimento baseado na equivalência de estímulos. Revista Brasileira de Terapia Comportamental e Cognitiva, v. 14, n. 1, p. 38-56, 2012. Disponível em: https://www.researchgate.net/profile/Melania-Moroz/publication/308169403_Utilizando_frases_como_unidades_de_ensino_de_leitura_um_procedimento_baseado_na_equivalencia_de_estimulos/links/57dbfb2308aeea195935b6b2/Utilizando-frases-como-unidades-de-ensino-de-leitura-um-procedimento-baseado-na-equivalencia-de-estimulos.pdf. Acesso em: 1 set. 2022.

REMINGTON, Bob. Augmentative and alternative communication and behavior analysis: A productive partnership? Augmentative and Alternative Communication, v. 10, n. 1, p. 3-13, 1994. Disponível em: https://doi.org/10.1080/07434619412331276720. Acesso em: 1 set. 2022.

SADDLER, Bruce; ASARO, Kristie; BEHFOROOZ, Bita. The Effects of Peer-Assisted Sentence-Combining Practice on Four Young Writers with Learning Disabilities. Learning Disabilities: A Contemporary Journal, v. 6, n. 1, p. 17-31, 2008. Disponível em: https://files.eric.ed.gov/fulltext/EJ797654.pdf. Acesso em: 1 set. 2022.

SAUNDERS, Richard et al. The merger and development of equivalence classes by unreinforced conditional selection of comparison stimuli. Journal of the Experimental Analysis of Behavior, v. 50, n. 2, p. 145-162, 1988. Disponível em: https://doi.org/10.1901/jeab.1988.50-145. Acesso em: 1 set. 2022.

Seles, Thiago Pestilo et al. LÓTUS (Patente No BR512019000162-1). Brasília: Instituto Nacional da Propriedade Industrial (INPI). 2019. Disponível em: https://sgcd.fc.unesp.br/#!/lads/producao/software/lotus/. Acesso em: 1 set. 2022.

SHIBUKAWA, Matheus Yoshida et al. Tutorial para uso do recurso Zoom® em coleta de dados remotaBauru: UNESP, 2021. Disponível em: https://sgcd.fc.unesp.br/#!/lads/producao/produto-tecnico-e-tecnologico-programas/tutorial-para-uso-do-recurso-zoom-em-coleta-de-dados-remota/. Acesso em: 12 nov. 2024.

SHIBUKAWA, Matheus Yoshida et al. Effects of interventions on working memory measures in deaf and hard of hearing children with cochlear implants. ResearchGate, 2022. Disponível em: https://www.researchgate.net/profile/Matheus-Shibukawa/publication/359909374_Effects_of_interventions_on_working_memory_measures_in_deaf_and_hard_of_hearing_children_with_cochlear_implants/links/6255ef11ef013420666d77ad/Effects-of-interventions-on-working-memory-measures-in-deaf-and-hard-of-hearing-children-with-cochlear-implants.pdf. Acesso em: 1 set. 2022.

SIDMAN, Murray. Equivalence relations and behavior: A research history. Boston: Authors Cooperative, 1994.

SILVA, Rafaela Carolina Lopez; ARAÚJO, Samantha Gomes. Os resultados do implante coclear em crianças portadoras de Neuropatia Auditiva: revisão de literatura. Revista da Sociedade Brasileira de Fonoaudiologia, v. 12, p. 252-257, 2007. Disponível em: https://doi.org/10.1590/S1516-80342007000300014. Acesso em: 1 set. 2022.

SILVA, Raissa Viviani; NEVES, Anderson Jonas; ALMEIDA-VERDU, Ana Cláudia Moreira. Reconhecimento auditivo e produção oral de sentenças de cinco termos em crianças com deficiência auditiva pré-lingual usuárias de implante coclear. Acta Compartamentalia, v. 25, n. 3, p. 289-306, 2017. Disponível em: https://www.redalyc.org/journal/2745/274552568001/html/. Acesso em: 1 set. 2022.

SKINNER, Burrhus Frederic. Verbal Behavior. Cambridge: B. F. Skinner Foundation, 1957.

SPRADLIN, Joseph. Rotinas: implicações para a vida e para o ensino. Temas em Psicologia, v. 7, n. 3, p. 223-234, 1999. Disponível em: http://pepsic.bvsalud.org/scielo.php?script=sci_arttext&pid=S1413-389X1999000300004. Acesso em: 1 set. 2022.

TABAQUIM, Maria de Lourdes et al. Avaliação do desenvolvimento cognitivo e afetivo-social de crianças com perda auditiva. Revista CEFAC, v. 15, n. 6, p. 1475-1481, 2013. Disponível em: https://doi.org/10.1590/S1516-18462013005000051. Acesso em: 1 set. 2022.

WECHSLER, David. WISC IV - Escala Wechsler de Inteligência para Crianças. Manual Técnico. São Paulo: Casa do Psicólogo, 2013.

WILLSTEDT-SVENSSON, Ursula et al. Is age at implant the only factor that counts? The influence of working memory on lexical and grammatical development in children with cochlear implants. International Journal of Audiology, v. 43, n. 9, p. 506-515, 2004. Disponível em: https://doi.org/10.1080/14992020400050065. Acesso em: 1 set. 2022

YODER, Paul; CAMARATA, Stephen; GARDNER, Elizabeth. Treatment Effects on Speech Intelligibility and Length of Utterance in Children with Specific Language and Intelligibility Impairments. Journal of Early Intervention, v. 28, n. 1, p. 34-49, 2005. Disponível em: https://doi.org/10.1177/105381510502800105. Acesso em: 1 set. 2022.

CC.png 

This work is licensed under a Creative Commons Attribution-NonCommercial 4.0 International (CC BY-NC 4.0)