|
|
|
|
|
Universidade Federal de Santa Maria
Ci. Fl., Santa Maria, v. 32, n. 2, abr./jun. 2022
DOI: 10.5902/1980509855320
ISSN 1980-5098
Submissão: 22/09/2020 • Aprovação: 04/08/2021 • Publicação: 24/06/2022
Artigos
Influência de sistemas de cultivo sobre a comunidade da fauna edáfica no nordeste do Brasil
Crop systems’ influence on soil fauna community in the brazilian northeast
Samuel Inocêncio Alves da SilvaI
IUniversidade Federal da Paraíba, Areia, PB, Brasil
IIUniversidade Federal do Acre, Rio Branco, AC, Brasil
IIIUniversidade Federal de Santa Catarina, Curitibanos, SC, Brasil
RESUMO
As características bióticas e abióticas dos solos variam substancialmente em função dos sistemas de cultivo empregados em ambientes semiáridos. Sistemas de cultivo que favoreçam a manutenção dos teores de carbono orgânico no solo (e.g., provisão de habitat) podem influenciar positivamente a diversidade da comunidade da fauna edáfica e a qualidade do solo. Objetivou-se neste estudo avaliar o efeito de diferentes sistemas de cultivo (e.g., plantio direto vs. integração lavoura-pecuária-floresta) sobre as propriedades químicas do solo, a composição da fauna edáfica e a qualidade de um Planossolo Nátrico em condições semiáridas do Nordeste do Brasil. Usando métodos combinados de coleta de amostras de solo para caracterização química com a extração de indivíduos da fauna edáfica e sua identificação taxonômica foi observado que ambos sistemas de plantio avaliados neste estudo promoveram incrementos nos teores de carbono orgânico no solo e fósforo disponível em relação ao controle. Foram observadas 11 ordens e mais 3 grupos de larvas (Larvas de Coleoptera, Diptera e Lepidoptera) da fauna edáfica, contudo, apenas Araneae, Coleoptera, Diptera e Hymenoptera foram influenciadas de forma significativa (p < 0,01) pelos sistemas de cultivo. Além disso, os índices de qualidade do solo em todos os sistemas de cultivo foram superiores em comparação ao controle, o que reforça a hipótese de que sistemas de plantio que consideram a manutenção de habitat e energia para fauna do solo contribuem para o estabelecimento de uma teia trófica diversificada e provisão de serviços ecossistêmicos favorecendo a ciclagem de nutrientes. Por fim, o estudo demonstra a importância de considerar sistemas de cultivo que promovam a manutenção dos teores de carbono orgânico no solo e a provisão de condições ideais no ecossistema solo para sustentar uma comunidade da fauna edáfica e funcional em condições semiáridas.
Palavras-chave: Caatinga; Qualidade do solo; Sistema integração lavoura-pecuária-floresta; Sistema plantio direto
ABSTRACT
Soil biotic and abiotic characteristics are influenced by crop system in semiarid environments. Crop systems which promote soil organic carbon content at high levels could positively promote soil fauna diversity and soil quality. Our aim with this study was to evaluate the effects of crop systems (No-tillage vs. Integrated crop-livestock-forestry system) on soil chemical properties, soil fauna composition, and soil quality in a Planossolo at semiarid environment from Brazilian Northeast. Combining protocols for soil chemical characterization and soil fauna extraction and identification, we observed that both crop systems studies increased soil organic carbon and available P when compared to control treatment. We found 11 orders plus 3 larvae groups (Larvae of Coleoptera, Diptera, and Lepidoptera) from soil fauna organisms, however, only Araneae, Coleoptera, Diptera, and Hymenoptera were significantly affected (p < 0.01) by crop systems. We also observed that soil quality index in all crop systems studies was higher than in the control treatment, and it corroborates with the follow hypothesis that crop system which consider habitat and energy maintenance for soil fauna contributes to a diverse soil food web establishment that favours soil nutrient cycling. Our results highlight the importance to consider crop systems which promotes soil organic carbon and ideal condition into soil ecosystem to sustain a diverse and function soil fauna community in semiarid conditions.
Keywords: Caatinga; Integrated crop-livestock-forestry system; Litter deposition; No-tillage system
Sistemas de cultivo com espécies arbóreas e culturas anuais em monocultivos e sistemas agroflorestais são focos de pesquisas para avaliar a capacidade produtiva das culturas, estado nutricional e qualidade do solo (TAVARES et al., 2020). Entretanto, estudos abordando como diferentes sistemas de cultivo afetam a composição da fauna edáfica, os seus grupos-funcionais e a qualidade biológica do solo no Nordeste do Brasil, em sistemas plantio direto e de integração lavoura-pecuária-floresta (iLPF) nas condições semiáridas são raros e incipientes (SARTO et al., 2020). A deposição e manutenção de serapilheira na superfície do solo é limitada e impulsionada pelas características climáticas em condições semiáridas (e.g., altas temperaturas que aumentam a atividade microbiana e consequentemente a velocidade de decomposição dos resíduos), que acaba limitando a atividade e diversidade da fauna edáfica (KOOCH; NOGHRE, 2019).
Estes organismos que habitam o solo são classificados em diversos grupos taxonômicos e grupos-funcionais (SILVA et al., 2019). Segundo Souza e Freitas (2018), são reconhecidos doze grupos-funcionais que são classificados em função das características morfológicas, fisiológicas, comportamentais e bioquímicas dos indivíduos que compõem a comunidade da fauna edáfica (e.g., Arachnida, Insecta, Larvas, Myriapoda, microrganismos e Vermes). No solo a fauna edáfica é dependente de teores adequados de carbono e nitrogênio orgânico que são supridos pela decomposição da matéria orgânica que é realizada por organismos, classificados segundo Souza e Freitas (2018), como: transformadores de serapilheira (e.g., Chilopoda, Coleoptera e Isopoda) e decompositores (e.g., Actinomicetos, Basidiomycota e Pseudomonas). Dentre os principais fatores que afetam os teores de matéria orgânica em solos agrícolas em ambiente semiárido destacam-se: o sistema de cultivo (e.g., monocultivo, plantio direto e ILPF) e a cultura selecionada (e.g., anual ou perene) (TAVARES et al., 2020). Ambos influenciam a deposição de serapilheira, a rizodeposição, a taxa de formação de horizontes orgânicos em nível intermediário de decomposição (e.g., camadas L e H), a decomposição de resíduos orgânicos e a manutenção dos teores de matéria orgânica no solo (NEHRANI et al., 2020).
A manutenção desses processos ecológicos favorece a manutenção de habitat e provisão de recursos (e.g. energia e nutrientes) para a fauna edáfica. Em condições semiáridas, Melo, Souza e Santos (2019) demonstraram que plantas de cobertura com (i) alta capacidade de produção de biomassa; (ii) alta taxa de crescimento; e (iii) que favoreçam a manutenção de teores de carbono orgânico no solo em níveis elevados em comparação a ecossistemas naturais (e.g., fragmento de floresta ombrófila aberta) influenciam na manutenção da comunidade e diversidade da fauna edáfica (e.g., representados pela riqueza e índice de diversidade de Shannon). Enquanto, Gebremikael et al. (2016) descrevem no seu estudo que níveis tróficos elevados da fauna edáfica necessitam provisões de fontes de carbono diversificadas que são correlacionadas com a diversidade das plantas.
Nesse contexto, esta pesquisa baseou-se na seguinte hipótese: sistemas de cultivo que promovam teores adequados de carbono orgânico no solo podem favorecer positivamente a diversidade da comunidade da fauna edáfica, a manutenção de grupos-funcionais e a qualidade do solo. Com base na hipótese da provisão de habitat descrita por Melo, Souza e Santos (2019), espera-se encontrar nos sistemas de integração lavoura-pecuária-floresta os maiores valores de riqueza e diversidade da fauna edáfica, bem como alta abundância de indivíduos transformadores de serapilheira e qualidade do solo. Dessa maneira, o objetivo deste estudo foi avaliar o efeito de diferentes sistemas de cultivo (e.g., plantio direto vs. integração lavoura-pecuária-floresta) sobre as propriedades químicas do solo, a composição da fauna edáfica e a qualidade de um Planossolo Nátrico em condições semiáridas do Nordeste do Brasil.
2.1 Localização do experimento
O estudo foi realizado em um experimento de campo em seu quinto ano de execução na estação experimental agroflorestal, da Empresa Paraibana de Pesquisa Extensão Rural e Regularização Fundiária, no município de Alagoinha-PB, localizado na Mesorregião Agreste do estado (6°57’00” S e 35°32’42” W, altitude de 317 m). O clima da região, segundo a classificação de Köppen-Geiger, é do tipo As’ (Árido com clima tropical quente e úmido e estação seca no inverno), precipitação e temperatura média anual de 995 mm e 26,4°C, respectivamente (ALVARES et al., 2013). Durante o período de amostragem, foram coletadas informações da temperatura média e precipitação acumulada (Figura 1) no site do Instituto Nacional de Meteorologia (INMET) (https://portal.inmet.gov.br/) e Agência Executiva de Gestão de Água (AESA) (http://www.aesa.pb.gov.br/aesa-website/meteorologia-chuvas/). O solo da área experimental foi classificado como Planossolo Nátrico Órtico, textura franco arenoso.
Figura 1 – Precipitação acumulada (mm) e temperatura média do ar (ºC) da área experimental no período de março a novembro de 2018, Alagoinha, PB, Brasil
Fonte: Autores (2020)
2.2 Delineamento experimental
O experimento de campo foi instalado seguindo um delineamento em blocos casualizados, com seis blocos e dez tratamentos. Os tratamentos foram correspondentes a uma área de referência (controle – Ecossistema natural – fragmento de floresta ombrófila aberta), sistemas de cultivo simulando o sistema de integração lavoura-pecuária-floresta (iLPF) compostos pelos: iLPF1 [Gliricidia sepium (Jacq.) Steud. + Zea mays L. + Brachiaria decumbens Stapf.]; iLPF2 [Mimosa caesalpiniaefolia Bentham + Zea mays L. + Brachiaria decumbens Stapf.]; e iLPF3 [Tabebuia alrea (Manso) Benth. & Hook. f. ex S. Moore + Zea mays L. + Brachiaria decumbens Stapf.], e o sistema de monocultivos em plantio direto (SPD) que considerou os tratamentos: Arachis hypogaea L., Gossypium hirsutum L., Glycine max (L.) Merrill, Sesamum indicum L., Vigna unguiculata (L.) Walp. e Zea mays L. Cada parcela apresentou dimensões de 38 × 20 m (Tabela 1). O preparo da área, calagem, adubação, tratos culturais e arranjo espacial das plantas no sistema de plantio direto e integração lavoura-pecuária-floresta seguiram recomendações descritas por Cavalcanti et al. (2008) e recomendações específicas descritas pela rede iLPF (https://www.redeilpf.org.br/).
Tabela 1 – Caracterização dos sistemas de cultivo avaliados
|
Sistema de cultivo |
Tipo de sistema |
Nome vulgar da cultura |
|
Arachis hypogaea |
SPD |
Amendoim |
|
Gossypium hirsutum |
SPD |
Algodão |
|
Glycine max |
SPD |
Soja |
|
Sesamum indicum |
SPD |
Gergelim |
|
Vigna unguiculata |
SPD |
Feijão Vigna |
|
Zea mays |
SPD |
Milho |
|
Gliricidia sepium + Zea mays + Brachiaria decumbens |
iLPF1 |
Gliricidia + Milho + Capim Braquiária |
|
Mimosa caesalpiniaefolia + Zea mays + Brachiaria decumbens |
iLPF2 |
Sabiá + Milho + Capim Braquiária |
|
Tabebuia alrea + Zea mays + Brachiaria decumbens |
iLPF3 |
Ipê Amarelo + Milho + Capim Braquiária |
|
Ecossistema Natural |
Controle |
- |
Fonte: Autores (2020)
2.3 Coleta e análises de solo
Em cada parcela experimental foram coletadas três amostras de solo na profundidade de 0 a 20 cm mensalmente após a emergência de todas as espécies anuais. Cada amostra foi identificada e analisada separadamente no laboratório. Foram analisados os seguintes parâmetros: pH do solo em água destilada na proporção solo e água de 1 para 2,5, respectivamente (BLACK, 1965), o carbono orgânico total foi determinado pelo método da oxidação rápida em dicromato de potássio, conforme descrito no protocolo de Okalebo, Gathua e Woomer (1993). O fósforo disponível foi determinado através do método proposto por Olsen et al. (1954).
2.4 Deposição de serapilheira e produção de biomassa
Os ambientes foram caracterizados quanto à deposição de serapilheira/material vegetal na superfície do solo (g m-2) e produção de biomassa seca da parte aérea e raiz das plantas (g planta-1). A avaliação da deposição de serapilheira/material foi realizada com auxílio de um quadrado metálico de 20 cm2 que foi jogado aleatoriamente em 20 pontos por parcela, de acordo como recomendado por Melo, Souza e Santos (2019). Para estimar a produção de biomassa da parte aérea, as plantas foram divididas em três grupos: a) Plantas anuais de hábito de crescimento ereto (Arachis hypogaea, Gossypium hirsutum, Glycine max, Sesamum indicum, Vigna unguiculata e Zea mays): foram coletadas 20 plantas por parcela. A parte aérea das plantas foi cortada rente à superfície do solo, identificadas e colocadas em saco de papel; b) Planta de crescimento indeterminado (Brachiaria decumbens): com auxílio de um quadrado metálico de 20 cm-2, que foi arremessado aleatoriamente em 20 pontos dentro da parcela, foi coletado o material vegetal presente na superfície do solo. O material foi cortado rente à superfície do solo, assim como realizado para as plantas anuais; e c) Essências florestais: foram selecionadas 20 plantas por parcela. Para cada planta, foram tomadas as medidas de altura (m), diâmetro ao nível do peito (cm) e solo (cm) e a densidade da madeira (g cm-3) para estimar a biomassa da parte aérea das plantas seguindo equações propostas por Laurindo et al. (2020). A biomassa das raízes foi estimada com a coleta de um bloco de solo de 20 cm-3 com auxílio de um cubo metálico. O solo coletado foi passado em peneira de malha de 2 mm e todas as raízes remanescentes na peneira foram coletadas e identificadas. Todos os materiais coletados no campo (parte aérea e raiz) foram encaminhados para laboratório e colocados em estufa até obterem peso constante. Após 48h em estufa de circulação de ar forçado à 68ºC e até obterem peso constante, foi realizado a pesagem do material e os valores médios expressos em g planta-1. Para os valores de Brachiaria decumbens (g 20 cm-2), foi considerada a densidade de plantio das sementes (450 sementes m-2) e a taxa de germinação das sementes (92%). Assim, os resultados foram convertidos e expressos também em g planta-1.
2.5 Identificação da fauna edáfica
Para a caracterização da fauna edáfica, foram utilizadas dez armadilhas do tipo Provid (ANTONIOLLI et al., 2006) em cada parcela experimental. Cada armadilha continha 100 mL de água destilada, 30 mL de detergente neutro e 20 mL de álcool a 70%. Uma vez instaladas no campo, as armadilhas permaneceram por 48 horas. Após esse período, o conteúdo de cada armadilha (indivíduos da fauna edáfica + solução) foi colocado em potes plásticos transparente e com tampa, contendo a identificação de sua respectiva armadilha. Os organismos da fauna edáfica, de cada amostra, foram identificados em nível de ordem. Para a Classe Insecta, foi usado a chave de classificação disponível em https://bodemdierendagen.nl/, enquanto para as Classes Arachnida e Myriapoda foram usadas as chaves de classificação disponíveis em https://tolweb.org/. Eventuais ajustes na identificação das Ordens foram realizados seguindo as recomendações de Souza (2020), e os indivíduos foram posteriormente classificados em grupos-funcionais (SOUZA; FREITAS, 2018).
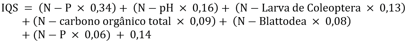
Os indivíduos no estágio larval foram considerados separadamente de suas respectivas ordens por ocuparem exclusivamente nesse estágio o grupo-funcional dos herbívoros. Foram estimados os seguintes índices ecológicos: riqueza (S), diversidade de Shannon (H’); e índice de dominância de Simpson (C’). Foi gerado o índice de qualidade do solo (FORSTALL-SOSA et al., 2020) que considera atributos bióticos e abióticos com potencial importância para contribuir com a variabilidade dos dados. Nesse índice são incluídos apenas atributos que apresentem alta significância (p < 0,001) e inclui três etapas principais: (i) seleção do conjunto mínimo de dados, (ii) pontuação dos indicadores com base nos valores de score, e (ii) cálculo dos valores normalizados através da divisão da média do atributo selecionado pelo seu respectivo valor de score observado em uma análise de componentes principais. Os atributos selecionados para calcular o índice de qualidade do solo neste estudo estão descritos na Equação (1):
|
|
(1) |
Em que: N-P = valores médios normalizados de fósforo disponível (mg dm-3); N-pH = valores médios normalizados do pH do solo em água; N-Larva de Coleoptera = valores médios normalizados da abundância de larvas de Coleoptera (ind. m-2); N-carbono orgânico total = valores médios normalizados de carbono orgânico no solo (g kg-1); N-Blattodea = valores médios normalizados da abundância de Blattodea (ind. m-2). Os valores normalizados são obtidos pela divisão da média ponderada de cada variável pelo seu respectivo valor de “score” expresso na análise de componentes principais.
2.6 Análises estatísticas
Foi empregado o teste de Shapiro-Wilk para testar a normalidade do conjunto de dados. Para avaliar a deposição de serapilheira, a produção de biomassa, a fauna edáfica e os grupos funcionais, foi empregada a análise de variância não-paramétrica pelo teste de Kruskal-Wallis e as médias comparadas pelo teste de Bonferroni a 5% de probabilidade. Para avaliar as similaridades existentes entre a comunidade da fauna edáfica em função de propriedades químicas do solo, variação sazonal e climática foi realizada análise de componentes principais. Todos os procedimentos estatísticos foram realizados no software livre R (R CORE TEAM, 2018).
3.1 Deposição de serapilheira e produção de biomassa nos sistemas de cultivo
Observou-se diferenças significativas para a deposição de serapilheira (X29,27 = 17,23, p < 0,001), biomassa seca das raízes (X29,27 = 12,72, p < 0,001) e biomassa seca da parte aérea (X29,27 = 31,54, p < 0,001) entre os sistemas de cultivo analisados (Tabela 2). Para a deposição de serapilheira, foi observado os maiores valores no monocultivo em sistema plantio direto de Gossypium hirsutum (175,02 ± 23,23 g m-2). Para a biomassa seca das raízes, os maiores valores foram observados nas parcelas onde foi cultivado o iLPF1 e iLPF2. Enquanto para a produção de biomassa da parte aérea, os maiores valores foram observados nas parcelas do tratamento controle (19.982,33 ± 576,98 g planta-1) (Tabela 2).
Tabela 2 – Caracterização dos sistemas de cultivo avaliados (Média ± desvio padrão) quanto à deposição de serapilheira (g m-2), produção de biomassa das raízes (g cm-3) e da parte aérea (g planta-1)
|
Sistema de cultivo |
Deposição de serapilheira (g m-2) |
Biomassa seca das raízes1 (g cm-3) |
Biomassa seca da parte aérea2 (g planta-1) |
|
Sistemas de plantio direto |
|||
|
Arachis hypogaea |
58,60 ± 1,20 e3 |
0,98 ± 0,20 c |
40,66 ± 1,33 e |
|
Gossypium hirsutum |
175,02 ± 23,23 a |
1,50 ± 0,20 c |
111,33 ± 23,12 d |
|
Glycine max |
63,09 ± 13,22 e |
0,63 ± 0,10 c |
15,33 ± 2,67 f |
|
Sesamum indicum |
103,22 ± 9,83 b |
1,00 ± 0,10 c |
19,33 ± 1,79 f |
|
Vigna unguiculata |
85,09 ± 1,79 d |
0,58 ± 0,20 c |
62,32 ± 8,38 e |
|
Zea mays |
58,00 ± 10,98 e |
4,60 ± 0,30 b |
80,33 ± 4,56 e |
|
Integração lavoura-pecuária-floresta |
|||
|
iLPF1 |
95,75 ± 3,48 c |
8,78 ± 1,09 a |
6.188,002 ± 453,56 b |
|
iLPF2 |
107,09 ± 2,79 b |
7,55 ± 0,98 a |
4.101,60 ± 197,28 c |
|
iLPF3 |
106,37 ± 5,97 b |
5,38 ± 1,17 b |
2.115,00 ± 283,99 c |
|
Controle4 |
34,98 ± 4,96 f |
4,87 ± 0,95 b |
19.982,33 ± 576,98 a |
Fonte: Autores (2020)
Em que: 1Valores consideram apenas raízes com diâmetro entre 2 e 6 mm. 2Considerando a biomassa média das essenciais florestais e das plantas de Zea mays e Brachiaria decumbens. 3Letras minúsculas iguais nas colunas não diferem entre si pelo teste de Bonferroni a 5% de probabilidade. 4Ecossistema natural.
Com base nos resultados apresentados na Tabela 2, fica evidente que ocorre variação na deposição de serapilheira (principal via de entrada de nutrientes e carbono no solo) e na produção de biomassa da raiz (o que pode indicar indiretamente a atividade radicular no ambiente edáfico) e da parte aérea (principal fonte de alimento para o grupo-funcional dos herbívoros e fonte de habitat para predadores da Ordem Araneae) em função dos sistemas de cultivo avaliados em um Planossolo nátrico. Em linhas gerais, o sistema plantio direto apresentou maior taxa de deposição de serapilheira, enquanto o sistema de integração lavoura-pecuária-floresta apresentou maior taxa de produção de biomassa da parte aérea e maior produção de biomassa radicular. Resultados semelhantes foram descritos por Melo, Souza e Santos (2019) e Santos et al. (2020), que observaram maiores produções de serapilheira e produção de biomassa em sistemas de manejo que consideraram o uso de adubos verdes ou plantas de cobertura em comparação a sistemas de cultivo sem o manejo de resíduos orgânicos no Bioma Caatinga.
3.2 Propriedades químicas dos sistemas de cultivo
Observou-se diferenças significativas para o pH do solo (F9,80 = 3,99, p < 0,05), carbono orgânico total (F9,80 = 12,43, p < 0,01) e fósforo disponível (F9,80 = 71,39, p < 0,01) no solo entre os sistemas de cultivo analisados (Tabela 3). Para o pH do solo, foi observado os maiores valores no monocultivo em sistema plantio direto de Sesamum indicum (6,6 ± 0,1). Para o carbono orgânico total, os maiores valores foram observados nas parcelas onde foi cultivado Arachis hypogaea, Gossypium hirsutum, Glycine max, Sesamum indicum, Zea mays, iLPF1 e iLPF2. Enquanto para o P disponível, os maiores valores foram observados nas parcelas onde foi cultivado Gossypium hirsutum (40,2 ± 2,7 mg dm-3), valor superior em 482,6% em comparação aos valores observados no tratamento controle (Tabela 3).
Tabela 3 – Valores médios (média ± desvio padrão, N = 90) de pH, carbono orgânico total (g kg-1) e fósforo disponível (mg dm-3) observados nos sistemas de cultivo avaliados
|
Sistema de cultivo |
pH (H2O 1:2,5) |
Carbono orgânico total (g kg-1) |
P disponível (mg dm-3) |
|
Sistemas de plantio direto |
|||
|
Arachis hypogaea |
5,6 ± 0,1 d1 |
7,5 ± 0,3 a |
13,8 ± 1,5 b |
|
Gossypium hirsutum |
5,7 ± 0,4 bcd |
7,1 ± 0,1 a |
40,2 ± 2,7 a |
|
Glycine max |
6,5 ± 0,1 ab |
7,5 ± 0,3 a |
12,6 ± 1,0 b |
|
Sesamum indicum |
6,6 ± 0,1 a |
7,6 ± 0,5 a |
7,4 ± 0,6 c |
|
Vigna unguiculata |
6,0 ± 0,1c |
7,0 ± 0,1 b |
3,6 ± 0,1e |
|
Zea mays |
6,3 ± 0,1 ab |
7,7 ± 0,2 a |
4,7 ± 0,3 d |
|
Integração lavoura-pecuária-floresta |
|||
|
iLPF1 |
6,1 ± 0,3 bc |
7,8 ± 0,4 a |
13,7 ± 4,9 b |
|
iLPF2 |
5,3 ± 0,1e |
7,5 ± 0,3 a |
3,0 ± 0,1f |
|
iLPF3 |
6,0 ± 0,3 bc |
6,8 ± 0,4 b |
2,2 ± 0,5 g |
|
Controle2 |
5,3 ± 0,1e |
5,2 ± 0,4 c |
6,9 ± 0,1 c |
Fonte: Autores (2020)
Em que: iLPF1 = Gliricidia sepium + Zea mays + Brachiaria decumbens; iLPF2 = Mimosa caesalpiniaefolia + Zea mays + Brachiaria decumbens; iLPF3 = Tabebuia alrea + Zea mays + Brachiaria decumbens. 1Letras minúsculas iguais nas colunas não diferem entre si pelo teste de Bonferroni a 5% de probabilidade. 2Ecossistema natural.
Com base nos resultados apresentados na Tabela 3, ficou evidente que ocorre variação nas propriedades químicas do solo (pH do solo, carbono orgânico total e P disponível), em função dos sistemas de cultivo em um Planossolo Nátrico em ambiente semiárido. Em regiões semiáridas as elevadas temperaturas influenciam na velocidade de decomposição da serapilheira, na produção de biomassa da parte aérea e raiz (ERDENEBILEG et al., 2020) e atividades como a adição de corretivos no solo (adubação e calagem), a deposição de serapilheira, rizodeposição e atividade radicular podem ter causado alterações nas propriedades químicas do solo em ambos os sistemas de cultivo avaliados (BASIRAT et al., 2019). Resultados encontrados por Deon, Deon e Moraes (2020) diferem das respostas obtidas nesta pesquisa para o pH do solo e os teores de P disponível no solo ao avaliarem um sistema silvipastoril (Caatinga, Cenchrus ciliaris (L.) e caprinos) no semiárido. Os valores encontrados por esses autores variaram de 4,83 a 5,07 para o pH do solo e de 0,84 a 3,56 mg dm-3 para o P. Em outro estudo, Sales et al. (2016), avaliando a qualidade física do solo sob plantio direto e preparo convencional do solo com diferentes culturas (Sorghum bicolor [L.] Moench, Zea mays e Helianthus annuus L.) no semiárido também obtiveram respostas que diferem desta pesquisa, observaram os maiores teores de carbono orgânico total no solo (0,5-10,0 cm) no plantio direto (13,0 g kg-1) quando comparado ao sistema convencional (11,8 g kg-1). Os maiores resultados para os atributos químicos do solo (pH, carbono orgânico total e fósforo) obtidos no sistema de plantio direto neste estudo podem ser explicados devido à característica desse sistema de manejo, uma vez que o sistema de plantio direto contribui para a manutenção da estrutura do solo e minimiza os efeitos da degradação ocasionados pelas técnicas praticadas no sistema de cultivo convencional (iLPF), condição que corrobora com Li et al. (2020). No que diz respeito ao iLPF, a adoção do componente arbóreo contribui com a disponibilidade dos nutrientes na zona rizosférica, tendo em vista que o sistema radicular das árvores intercepta os nutrientes localizados em camadas do solo pouco acessíveis às raízes das culturas agrícolas por serem mais profundas, além disso ocorre também maior deposição de material orgânico na superfície do solo, o que contribui para maiores teores de carbono no solo (BASIRAT et al., 2019).
3.3 Composição da fauna edáfica
Durante o período experimental, foram observadas 11 ordens e mais 3 grupos de indivíduos no estágio larval (Larvas de Coleoptera, Diptera e Lepidoptera) constituintes da comunidade da fauna edáfica. As Ordens predominantes e que apresentaram diferenças significativas entre os tratamentos foram Araneae (X29,27 = 3,25; p < 0,001), Coleoptera (X29,27 = 7,54, p < 0,001), Diptera (X29,27 = 5,10, p < 0,01) e Hymenoptera (X29,27 = 8,78, p < 0,001) em todos os tratamentos avaliados (Tabela 4). As ordens Araneae e Diptera apresentaram maiores abundâncias (ind. armadilha-1) nas parcelas onde Vigna unguiculata e iLPF2 foram cultivados (5,0 ± 1,6 e 6,0 ± 1,9 ind.m-2, respectivamente). Já Coleoptera apresentou a maior abundância nas parcelas onde foi cultivado Arachis hypogaea, Gossypium hirsutum e iLPF1 (12,0 ± 4,8; 8,0 ± 3,2; e 18,0 ± 3,3 ind.m-2, respectivamente). Enquanto, Hymenoptera apresentou maior abundância de indivíduos nas parcelas onde foi cultivado Vigna unguiculata (64,0 ± 10,0 ind.m-2) (Tabela 4).
Tabela 4 – Abundância da fauna edáfica (média ± desvio padrão, N = 90, ind. armadilha-1) observadas nos sistemas de cultivo
|
Sistemas de cultivo/Ordens |
Araneae |
Coleoptera |
Diptera |
Hymenoptera |
|
Sistemas de plantio direto |
||||
|
Arachis hypogaea |
1,0 ± 0,4 b1 |
12,0 ± 4,8 ab |
- |
9,0 ± 3,4 d |
|
Gossypium hirsutum |
1,0 ± 0,1 b |
8,0 ± 3,2 ab |
2,0 ± 0,8 b |
13,0 ± 4,9 c |
|
Glycine max |
1,0 ± 0,2 b |
6,0 ± 2,5 c |
1,0 ± 0,3 b |
4,0 ± 0,6 e |
|
Sesamum indicum |
2,0 ± 0,9 b |
4,0 ± 1,1 c |
2,0 ± 0,9 b |
4,0 ± 2,1 e |
|
Vigna unguiculata |
5,0 ± 1,6 a |
5,0 ± 0,9 c |
6,0 ± 2,1 a |
64,0 ± 10,0 a |
|
Zea mays |
4,0 ± 0,8 a |
4,0 ± 1,8 c |
1,0 ± 0,2 b |
- |
|
Integração lavoura-pecuária-floresta |
||||
|
iLPF1 |
- |
18,0 ± 3,3 a |
- |
16,0 ± 4,1 c |
|
iLPF2 |
- |
5,0 ± 1,7 c |
6,0 ± 1,9 a |
32,0 ± 6,3 b |
|
iLPF3 |
- |
4,0 ± 1,3 c |
- |
1,0 ± 0,07 f |
|
Controle2 |
1,0 ± 0,3 b |
5,0 ± 1,6 c |
2,0 ± 0,8 b |
39,0 ± 4,4 b |
Fonte: Autores (2020)
Em que: iLPF1 = Gliricidia sepium + Zea mays L. + Brachiaria decumbens; iLPF2 = Mimosa caesalpiniaefolia + Zea mays + Brachiaria decumbens; iLPF = Tabebuia alrea + Zea mays L. + Brachiaria decumbens. 1Letras minúsculas iguais nas mesmas colunas não diferem entre si pelo teste de Bonferroni a 5% de probabilidade.2Ecossistema natural.
Também foram observados indivíduos no estágio larval (Larvas de Coleoptera, Diptera e Lepidoptera) e indivíduos adultos de outras Ordens com menor abundância, sendo estas: Acari, Araneae, Blattodea, Coleoptera, Dermaptera, Diptera, Hemiptera, Hymenoptera, Isopoda, Orthoptera e Thysanoptera. No entanto, para essas ordens encontradas em menor abundância neste estudo, não foram observadas diferenças significativas em função dos sistemas de plantio avaliados (Tabela 5).
Tabela 5 – Abundância dos demais indivíduos (média ± desvio padrão, N = 90, ind. armadilha-1) da fauna edáfica observados nos sistemas de cultivo
|
Sistemas de cultivo1 |
Acari |
Blattodea |
Dermaptera |
Hemiptera |
Isopoda |
Larva de Coleoptera |
Larva de Diptera |
Larva de Lepidoptera |
Orthoptera |
Thysanoptera |
|
Sistema em plantio direto |
||||||||||
|
Arachis hypogaea |
2,0 ± 0,5 |
- |
- |
- |
1,0 ± 0,1 |
1,0 ± 0,1 |
- |
- |
- |
- |
|
Gossypium hirsutum |
- |
- |
- |
- |
- |
- |
- |
- |
- |
1,0 ± 0,1 |
|
Glycine max |
- |
- |
- |
- |
- |
- |
1,0 ± 0,1 |
- |
- |
|
|
Sesamum indicum |
- |
- |
- |
- |
- |
- |
- |
- |
- |
1,0 ± 0,1 |
|
Vigna nguiculata |
1,0 ± 0,1 |
- |
1,0 ± 0,1 |
1,0 ± 0,1 |
2,0 ± 0,4 |
- |
- |
1,0 ± 0,1 |
3,0 ± 0,7 |
- |
|
Zea mays |
- |
1,0 ± 0,03 |
- |
- |
- |
- |
- |
- |
- |
- |
|
Integração lavoura-pecuária-floresta |
||||||||||
|
iLPF1 |
||||||||||
|
iLPF2 |
- |
- |
- |
1,0 ± 0,1 |
- |
- |
- |
- |
- |
- |
|
iLPF3 |
- |
- |
- |
2,0 ± 0,2 |
- |
- |
- |
- |
- |
1,0 ± 0,1 |
|
Controle2 |
2,0 ± 0,2 |
- |
- |
- |
- |
- |
- |
- |
- |
- |
Fonte: Autores (2020)
Em que: 1Não foram observadas diferenças significativas na abundância de grupos em função dos sistemas de cultivo; 2Ecossistema natural - Fragmento de Floresta Ombrófila aberta. Em que: IQS = índice de qualidade do solo; iLPF1 = Gliricidia sepium + Zea mays + Brachiaria decumbens; iLPF2 = Mimosa caesalpiniaefolia + Zea mays + Brachiaria decumbens; iLPF3 = Tabebuia alrea + Zea mays + Brachiaria decumbens.
Diante da abundância de indivíduos encontrada, fica evidente que o tipo de sistema de cultivo adotado pode influenciar diretamente a comunidade edáfica do solo. Estudos realizados por Matos, Barreto-Garcia e Scoriza (2019) e Santos et al. (2020) observaram comportamentos semelhantes para o sistema plantio direto com incrementos na abundância de indivíduos da fauna edáfica na ordem de 101 e 32% quando comparados diferentes sistemas de manejo florestal com uma área controle, no entanto, em sistema iLPF trabalhos que avaliam a abundância da comunidade da fauna edáfica são escassos. A predominância das ordens Araneae, Coleoptera, Diptera e Hymenoptera entre os sistemas de cultivo em plantio direto pode ser justificada pela manutenção da serapilheira, produção de biomassa da parte aérea e do sistema radicular, transformação da matéria orgânica e ciclagem de nutrientes no solo, considerados pilares para manter o ecossistema edáfico equilibrado e favorecer o ciclo de retroalimentação planta-solo positivo (DESIE et al., 2020). Esses resultados corroboram com a hipótese de que os sistemas de cultivo que promovem teores adequados de carbono orgânico no solo no ambiente rizosférico podem favorecer positivamente a diversidade da comunidade da fauna edáfica, a manutenção de grupos-funcionais e a qualidade do solo. Em solos de alta qualidade biológica há um adequado fornecimento de habitat e nutrientes para os organismos edáficos, o que favorece a manutenção de uma teia trófica diversificada (MELO; SOUZA; SANTOS, 2019). Organismos do solo da Ordem Araneae (grupo-funcional dos predadores) desempenham a função de predação, regulando a população de indivíduos de outras ordens, reduzindo assim a pressão de herbivoria sobre os produtores primários e evitando o surgimento de eventuais patógenos e doenças nas plantas. Já a Ordem Coleoptera (grupo-funcional dos transformadores de serapilheira) participa no processo de transformação de serapilheira (fragmentação física), na exumação de sementes e na manutenção do banco de sementes, o que intensifica o processo de incorporação de nutrientes depositados na superfície do solo na forma de serapilheira nas camadas mais superficiais do perfil solo. A Ordem Hymenoptera (grupo-funcional dos engenheiros do ecossistema) atua nos processos relacionados à estruturação e agregação do solo, criando ambiente edáfico favorável para o desenvolvimento de raízes. E por último, a Ordem Diptera (grupo-funcional dos decompositores) que irá atuar como saprófagos em materiais vegetais e animais mortos depositados na superfície do solo, favorecendo o processo de decomposição da matéria orgânica e ciclagem de nutrientes (FORSTALL-SOSA et al., 2020). Para os sistemas iLPF (iLPF1 e iLPF2), a elevada ocorrência de Coleoptera e Diptera tem o favorecimento atribuído a heterogeneidade vegetal, já que utilizam da diversidade espacial de maneira favorável à sua reprodução e alimentação (HARTERREITEN-SOUZA et al., 2020).
Os grupos funcionais (herbívoros, engenheiros de ecossistema, transformadores de serapilheira e predadores) formam a teia trófica do solo, onde, através das suas atividades e serviços, regulam a ciclagem de nutrientes, transformação da matéria orgânica e dinâmica de comunidade edáfica (SOUZA; FREITAS, 2018). O equilíbrio entre a abundância desses grupos funcionais fortalece a resistência aos fatores abióticos adversos (e.g., mudanças climáticas e intemperismo), entretanto, o que modifica o sistema são as mudanças antrópicas excessivas (SOUZA; FREITAS, 2017). Como observado nos resultados deste estudo, o sistema de plantio direto favoreceu a presença de organismos edáficos, o que pode ser justificado pela manutenção de serapilheira na superfície do solo que funciona como provisão de habitat para os organismos edáficos (MELO; SOUZA; SANTOS, 2019). Nesse contexto, pode-se considerar que a deposição de serapilheira, a transformação da matéria orgânica e a ciclagem de nutrientes no solo são pilares para manter o ecossistema edáfico equilibrado e favorecer o ciclo de retroalimentação planta-solo positivo (DESIE et al., 2020). Esses resultados corroboram com a hipótese de que os sistemas de cultivos que promovem teores adequados de carbono orgânico no solo no ambiente rizosférico podem favorecer positivamente a diversidade da comunidade da fauna edáfica, a manutenção de grupos-funcionais e a qualidade do solo.
Para os índices ecológicos, observou-se diferença significativa entre os sistemas de cultivo para a riqueza (S) (X29,27 = 3,73, p < 0,05), índice de diversidade de Shannon (H’) (X29,27 = 9,41, p < 0,01) e índice de dominância de Simpson (C’) (X29,27 = 4,69, p < 0,05). Os maiores valores de riqueza (S), índice de diversidade de Shannon (H’) e índice de dominância de Simpson (C’) foram observados nas parcelas onde Gossypium max e iLPF1 foram cultivados (S = 10,0 ± 1,5; H’ = 1,50 ± 0,08; e C = 0,76 ± 0,07). Essa superioridade encontrada corrobora a hipótese da provisão de habitat descrita por Korboulewsky, Perez e Chauvat (2016) e Melo, Souza e Santos (2019), onde esperava-se encontrar nos sistemas de integração lavoura-pecuária-floresta os maiores valores de riqueza e diversidade da fauna edáfica devido a maior variabilidade de espécies arbóreas no ambiente favorecendo o aparecimento de diversos micro-habitat. Não foi observada diferença significativa entre o iLPF1 e o tratamento controle em relação ao índice de dominância de Simpson (C’) (Tabela 6).
Tabela 6 – Valores médios (média ± desvio padrão, N = 90) de riqueza (S), índice de diversidade de Shannon (H’) e índice de dominância de Simpson (C’) observados nos sistemas de cultivo
|
Sistema de cultivo |
Riqueza (S) |
H’ |
(C’) |
|
Sistemas em plantio direto |
|||
|
Arachis hypogaea |
6,0 ± 1,3 b1 |
1,3 ± 0,1 b |
0,7 ± 0,1 a |
|
Gossypium hirsutum |
5,0 ± 1,6 b |
1,2 ± 0,2 b |
0,6 ± 0,1 a |
|
Glycine max |
5 ± 1,03 b |
1,31 ± 0,10 b |
0,7 ± 0,1 a |
|
Sesamum indicum |
5,0 ± 1,2 b |
1,5 ± 0,1 a |
0,8 ± 0,1 a |
|
Vigna unguiculata |
10,0 ± 1,5 a |
1,1 ± 0,1 b |
0,5 ± 0,1 b |
|
Zea mays |
4,0 ± 1,6 b |
1,2 ± 0,1 b |
0,7 ± 0,1 a |
|
Integração lavoura-pecuária-floresta |
|||
|
iLPF1 |
2,0 ± 1,8 b |
0,7 ± 0,3 c |
0,5 ± 0,1 b |
|
iLPF2 |
4,0 ± 1,3 b |
0,8 ± 0,2 c |
0,4 ± 0,1 b |
|
iLPF3 |
4,0 ± 2,3 b |
1,2 ± 0,1 b |
0,7 ± 0,1 a |
|
Controle2 |
5 ± 1,47 b |
0,76 ± 0,26 c |
0,8 ± 0,1 a |
Fonte: Autores (2020)
Em que: iLPF1 = Gliricidia sepium + Zea mays + Brachiaria decumbens; iLPF2 = Mimosa caesalpiniaefolia + Zea mays + Brachiaria decumbens; iLPF3 = Tabebuia alrea + Zea mays + Brachiaria decumbens. 1Letras minúsculas iguais nas colunas não diferem entre si pelo teste de Bonferroni a 5% de probabilidade. 2Ecossistema natural.
3.4 Análise de componentes principais (ACP)
Com relação à Análise dos Componentes Principais (ACP), Araneae, Blattodea, Coleoptera, Diptera, Isopoda, Larva de Coleoptera, pH do solo, carbono orgânico total e fósforo disponível foram as variáveis que mais contribuíram na variabilidade dos dados (Figura 2). Indicando dissimilaridades existentes entre os sistemas de cultivo avaliados em relação às propriedades químicas do solo e abundância de grupos específicos da fauna edáfica. Resultados semelhantes foram observados por Forstall-Sosa et al. (2020), que observaram 4 clusters distintos avaliando os efeitos de cultivo na comunidade da macrofauna no semiárido que foram caracterizados com base nas seguintes características: i) crescimento, exsudação e atividade radicular que incrementaram de forma semelhante os teores de carbono orgânico no solo, pH e a abundância de Blattodea (considerados como engenheiros de ecossistema). Segundo Melo, Souza e Santos (2019), o sistema de plantio direto promove melhorias na ciclagem de nutrientes, aumento do carbono orgânico do solo e na abundância da fauna edáfica devido a manutenção da serapilheira; ii) provisão de hábitat para altos níveis tróficos da fauna edáfica (Vigna unguiculata e iLPF2), evidenciados pela elevada abundância de Araneae (predadores) e Diptera (saprofíticos). Sistemas de cultivo com espécies de plantas com crescimento rápido e alta produção de biomassa, segundo Pedro et al. (2020), servem de refúgio para uma ampla diversidade de organismos do solo, sobretudo predadores e/ou aumentando a disponibilidade de nichos no habitat; iii) regulação da comunidade da fauna edáfica, estruturação do solo e herbivoria (Arachis hypogaea e controle), evidenciados pela elevada abundância de predadores (Acari), engenheiros de ecossistema (Isopoda) e herbívoros (larva de Coleoptera). Em ecossistemas semiáridos, a provisão de resíduos orgânicos (provindos da serapilheira ou da palhada no sistema plantio direto) com teores significativos de C e N favorecem a rizodeposição e a atividade biológica próxima a zona de atuação do sistema radicular (GEBREMIKAEL et al., 2016); e iv) deposição de serapilheira e ciclagem de nutrientes (Gossypium hirsutum, iLPF1 e iLPF3) evidenciado pela elevada abundância de Coleoptera (transformador de serapilheira) e teores de P disponível no solo (MAGCALE-MACANDOG et al., 2018). Indivíduos da ordem Coleoptera atuam no solo fragmentando a serapilheira e incorporando o material triturado nos horizontes superficiais do solo, o que favorece a atividade da microbiota e a ciclagem de nutrientes (SOFO; MININNI; RICCIUTI, 2020).
Figura 2 – Análise de Componentes Principais (ACP) entre a abundância da macrofauna edáfica e propriedades químicas do solo em diferentes sistemas de cultivo
Fonte: Autores (2020)
Em que: *Os eixos representam 79,67% da variabilidade dos dados. Variáveis representadas na CP apresentaram valores de p < 0,001; iLPF1 = Gliricidia sepium + Zea mays + Brachiaria decumbens; iLPF2 = Mimosa caesalpiniaefolia + Zea mays + Brachiaria decumbens; iLPF3 = Tabebuia alrea + Zea mays + Brachiaria decumbens.
3.5 Índice de qualidade do solo
Entre os sistemas de cultivos, observou-se diferença significativa no índice de qualidade do solo (F9,27 = 81,39, p < 0,001). O sistema de plantio direto correspondente as parcelas onde Gossypium hirsutum foi cultivado apresentou o maior valor de IQS (57,2 ± 4,1), enquanto para o sistema de integração lavora-pecuária-floresta, o maior valor de IQS foi observado nas parcelas do iLPF1 (21,5 ± 6,4). Quando comparados ao ecossistema natural, ambos os sistemas de cultivo (plantio direto e iLPF’s) apresentaram valores de IQS superiores na ordem de 388,9% e 83,8% para Gossypium hirsutum e iLPF1, respectivamente (Tabela 7).
Tabela 7 – Índice de qualidade do solo (IQS, média ± desvio padrão, N = 90) considerando abundância de grupos da macrofauna edáfica e propriedades químicas do solo em diferentes sistemas de cultivo
|
Sistema de cultivo |
IQS |
|
Sistemas de plantio direto |
|
|
Arachis hypogaea |
21,8 ± 2,7 b1 |
|
Gossypium hirsutum |
57,2 ± 4,1 a |
|
Glycine max |
20,2 ± 2,3 b |
|
Sesamum indicum |
13,2 ± 1,8 c |
|
Vigna unguiculata |
7,7 ± 0,1 e |
|
Zea mays |
9,6 ± 0,2 d |
|
Integração lavoura-pecuária-floresta |
|
|
iLPF1 |
21,5 ± 6,4 b |
|
iLPF2 |
5,8 ± 0,8 f |
|
iLPF3 |
6,9 ± 0,1 e |
|
Controle2 |
11,7 ± 0,1 c |
Fonte: Autores (2020)
Em que: IQS = índice de qualidade do solo; iLPF1 = Gliricidia sepium + Zea mays + Brachiaria decumbens; iLPF2 = Mimosa caesalpiniaefolia + Zea mays + Brachiaria decumbens; iLPF3 = Tabebuia alrea + Zea mays + Brachiaria decumbens. 1Letras minúsculas iguais nas colunas não diferem entre si pelo teste de Bonferroni a 5% de probabilidade. 2Ecossistema natural.
A qualidade de Planossolos nátricos em região semiárida, com base nos resultados deste estudo, ocorre em função de atributos químicos do solo (pH, carbono orgânico e P disponível) e abundância de grupos da fauna edáfica (Larva de Coleoptera e Blattodea). A conversão do ecossistema natural em um sistema agrícola (independentemente do tipo de sistema) promove alterações nos atributos químicos (fósforo disponível, pH do solo e teores de carbono orgânico total) e estrutura da comunidade da fauna edáfica. Alterações nestes dois grupos, Larva de Coleoptera e Blattodea, modificam a estrutura funcional e a composição da macrofauna do solo (VICENT et al., 2018), e consequentemente o índice de qualidade do solo. Quanto ao valor do índice de qualidade do solo, superioridade ao ecossistema natural indica estabilidade nos níveis tróficos (objeto de estudo) e equilíbrio no sistema, podendo ser atribuídos ao tipo de vegetação, diversidade de espécies presentes no ambiente, quantidade serrapilheira, baixa perturbação antrópica, tipo de prática agrícola empregada, elevada rizodeposição e produção de raízes finas (LIU et al., 2020).
Os sistemas de cultivo podem afetar significativamente a deposição de serapilheira e a produção de biomassa da parte aérea e raiz. No geral, o sistema plantio direto apresentou efeitos positivos sobre a deposição de serapilheira, enquanto o sistema integração lavoura-pecuária-floresta apresentou efeitos positivos sobre a produção de biomassa da parte aérea e raiz. Essas alterações acima do solo e no ambiente radicular favoreceram o aumento dos valores de pH e os teores de carbono orgânico e fósforo disponível nas parcelas onde foi testado o plantio direto com culturas anuais.
Considerando a fauna edáfica, pode-se concluir que sistemas de cultivo que promovam a entrada de resíduos orgânicos através da serapilheira influenciam positivamente a abundância de Ordens que desempenham importantes funções no ambiente edáfico como Araneae, Coleoptera, Diptera e Hymenoptera. Nesse sentido, o sistema plantio direto foi o que apresentou os maiores valores de abundância, riqueza, diversidade e dominância da comunidade da fauna edáfica em comparação com o sistema de integração lavoura-pecuária-floresta.
Os elevados valores do índice de qualidade do solo observado em todos os sistemas de cultivo reforçam a hipótese de que sistemas de plantio que consideram a manutenção de habitat e energia para fauna do solo contribuem para o estabelecimento de uma teia trófica diversificada (e.g., com a presença de indivíduos herbívoros, transformadores de serapilheira, predadores e engenheiros de ecossistema) e provisão de serviços ecossistêmicos favorecendo a ciclagem de nutrientes.
Sendo assim, sistemas de cultivo que promovam a manutenção dos teores de carbono orgânico no solo e a provisão de condições ideais no ecossistema solo para sustentar uma comunidade da fauna edáfica e funcional devem ser considerados em ambientes com condições semiáridas.
Os autores agradecem aos pesquisadores da Empresa Estadual de Pesquisa Agropecuária, Valdemir Ribeiro Cavalcante pelo acompanhamento durante as coletas; Dr. Andre Julia do Amaral e Dr. João Henrique Zonta pela autorização de realizar o estudo e pelo fornecimento de detalhes sobre o histórico, condução e tratos culturais realizados na área experimental.
ALVARES, C. A. et al. Köppen’s climate classification map for Brazil. Meteorologische Zeitschrift, Berlin, v. 22, n. 6, p. 711-728, 2013.
ANTONIOLLI, Z. I. et al. Método alternativo para estudar a fauna do solo. Ciência Florestal, Santa Maria, v. 16, n. 4, p. 407-417, 2006.
BASIRAT, M. et al. The rhizosheath: a potential root trait helping plants to tolerate drought stress. Plant and Soil, The Hague, v. 445, n. 1-2, p. 565-575, out. 2019. DOI: https://doi.org/10.1007/s11104-019-04334-0
BLACK, C. A. Methods of Soil Analysis Part1And2. USA: American Society Of Agronomy, 1965.
CAVALCANTI, J. F. A. et al. Recomendações de adubação para o Estado de Pernambuco. Recife: Instituto Agronômico de Pernambuco, 2008.
DESIE, L. et al. Positive feedback loop between earthworms, humus form and soil pH reinforces earthworm abundance in European forests. British Ecological Society, [s. l.], aug. 2020. DOI: https://doi.org/10.1111/1365-2435.13668
DEON, D. S.; DEON, M. D. I.; MORAES, S. A. Caracterização e estoques de carbono do solo no Sistema Silvipastoril de produção de caprinos da Embrapa Semiárido (Sistema CBL). Petrolina: Embrapa Semiárido, 2020.
ERDENEBILEG, E. et al. Multiple abiotic and biotic drivers of long-term wood decomposition within and among species in the semiarid inland dunes: A dual role for stem diameter. Functional Ecology, London, v. 34, p. 1472-1484, mar. 2020. DOI: https://doi.org/10.1111/1365-2435.13559
FORSTALL-SOSA, K. S. et al. Soil macroarthropod community and soil biological quality index in a green manure farming system of the Brazilian semi-arid. Biologia, [s. l.], v. 76, p. 907-917, 2020. DOI: https://doi.org/10.2478/s11756-020-00602-y
GEBREMIKAEL, M. T. et al. Nematodes enhance plant growth and nutrient uptake under C and N-rich conditions. Scientific Reports, [s. l.], v. 6, p. 32862, set. 2016. DOI: https://doi.org/10.1038/srep32862
HARTERREITEN-SOUZA, E. S. et al. Diversity and Spatial Distribution of Predacious Dolichopodidae (Insecta: Diptera) on Organic Vegetable Fields and Adjacent Habitats in Brazil. Florida Entomologist, Gainesville, v. 103, n. 2, p. 197-205, jun. 2020. DOI: https://doi.org/10.1653/024.103.0207
KOOCH, Y.; NOGHRE, N. The effect of shrubland and grassland vegetation types on soil fauna and flora activities in a mountainous semi-arid landscape of Iran. Science of The Total Environment, Amsterdam, v. 703, p. 135497, 2020. DOI: https://doi.org/10.1016/j.scitotenv.2019.135497
KORBOULEWSKY, N.; PEREZ, G.; CHAUVAT, M. How tree diversity affects soil fauna diversity: a review. Soil Biology and Biochemistry, Elmsford, v. 94, p. 94-106, mar. 2016. DOI: https://doi.org/10.1016/j.soilbio.2015.11.024
LAURINDO, L. K. et al. Fungos micorrízicos arbusculares. In: LAURINDO, L. K.; SOUZA, T. A, F. de. Indicadores da qualidade do solo em sistemas agroflorestais e ecossistemas associados. 1. ed. Curitibanos: Biblioteca Nacional do Rio de Janeiro, 2020. p. 10-29.
LI, Y. et al. Trade-off between soil pH, bulk density and other soil physical properties under global no-tillage agriculture. Geoderma, Amsterdam, v. 361, p. 114099, mar. 2020. DOI: https://doi.org/10.1016/j.geoderma.2019.114099
LIU, Y. et al. Long-term forest succession improves plant diversity and soil quality but not significantly increase soil microbial diversity: Evidence from the Loess Plateau. Ecological Engineering, Oxford, n. 142, p. 105631, jan. 2020. DOI: https://doi.org/10.1016/j.ecoleng.2019.105631
MAGCALE-MACANDOG, D. B. et al. Leaf litter decomposition and diversity of arthropod decomposers in tropical Muyong forest in Banaue, Philippines. Paddy and Water Environment, [s. l.], v. 16, p. 265–277, nov. 2018. DOI: https://doi.org/10.1007/s10333-017-0624-9
MATOS, P. S.; BARRETO-GARCIA, P. A. B.; SCORIZA, R. N. Effect of different forest management practices on the soil macrofauna in the arboreal Caatinga. Revista Caatinga, Mossoró, v. 32, n. 3, p. 741-750. out. 2019. DOI: https://doi.org/10.1590/1983-21252019v32n318rc
MELO, L. N.; SOUZA, T. A. F.; SANTOS D. Cover crop farming system affects macroarthropods community diversity in Regosol of Caatinga, Brazil. Biologia, [s. l.], v. 74, n. 12, p. 1653-1660, maio 2019. DOI: https://doi.org/10.2478/s11756-019-00272-5
NEHRANI, S. H. et al. Quantification of soil quality under semi-arid agriculture in the northwest of Iran. Ecological Indicators, [s. l.], n. 108, p. 105770, jan. 2020. DOI: https://doi.org/10.1016/j.ecolind.2019.105770
OKALEBO, J. R.; GATHUA, K. W.; WOOMER, P. L. Laboratory methods of plant and soil analysis: a working manual. Technical Bulletin n. 1. Nairibi: Tropical Soil Biology and Fertlity Programme; Soil Science Society East Africa; UNESCO; ROSTA, 1993. 88 p. Disponível em: http://hdl.handle.net/11295/85257
OLSEN, S. et al. Estimation of available phosphorus in soils by extraction with sodium bicarbonate. Washington: US Gov. Print. Office, 1954.
PEDRO, L. et al. The Effect of Cover Crops on the Biodiversity and Abundance of Ground-Dwelling Arthropods in a Mediterranean Pear Orchard. Agronomy, [s. l.], v. 10, n. 4, p. 580, abr. 2020. DOI: https://doi.org/10.3390/agronomy10040580
R CORE TEAM. R: a language and environment for statistical computing. Vienna, Austria: R Foundation for Statistical Computing, 2018.
SALES, R. P. et al. Qualidade física de um Latossolo sob plantio direto e preparo convencional no semiárido. Revista Ciência Agronômica, Fortaleza, v. 47, n. 3, p. 429-438, jul./set. 2016.
SANTOS, D. P. et al. Soil macrofauna associated with cover crops in an Oxisol from the southwest of Piauí state, Brazil. Arquivos do Instituto Biológico, São Paulo, v. 87, p. 1-9, jun. 2020. DOI: https://doi.org/10.1590/1808-1657000822018
SARTO, M. V. M. et al. Soil microbial community, enzyme activity, C and N stocks and soil aggregation as affected by land use and soil depth in a tropical climate region of Brazil. Archives of Microbiology, Berlin, v. 1, n. 1, p. 1-10, aug. 2020. DOI: https://doi.org/10.1007/s00203-020-01996-8
SILVA, R. A. et al. Diversity of edaphic fauna in different soil occupation systems. Revista Caatinga, Mossoró, v. 32, n. 3, p. 647-657, jul./set. 2019. DOI: https://doi.org/10.1590/1983-21252019v32n309rc
SOFO, A.; MININNI, A. N.; RICCIUTI, P. Soil Macrofauna: a key Factor for Increasing Soil Fertility and Promoting Sustainable Soil Use in Fruit Orchard Agrosystems. Agronomy, [s. l.], v. 10, n. 4, p. 456, mar. 2020. DOI: https://doi.org/10.3390/agronomy10040456
SOUZA, T. A. F. Caminhos para classificar a biota edáfica. 1. ed. Curitibanos: Câmara Nacional do Livro, 2020. 50 p.
SOUZA, T. A. F.; FREITAS, H. Arbuscular mycorrhizal fungal community assembly in the Brazilian tropical seasonal dry forest. Ecological Processes, [s. l.], v. 6, n. 2, p. 2-10, jan. 2017. DOI: https://doi.org/10.1186/s13717-017-0072-x
SOUZA, T. A. F.; FREITAS, H. Long-Term Effects of Fertilization on Soil Organism Diversity. In: GABA, S.; SMITH, B.; LICHTFOUSE, E. (ed.). Sustainable Agriculture Reviews 28: Ecology for Agriculture. Cham: Springer, 2018. p. 211-247. DOI: https://doi.org/10.1007/978-3-319-90309-5_7
TAVARES, P. D. et al. Composition of the soil fauna community and leaf litter stock in agro-forestry systems and secondary forestry. Bioscience Journal, Uberlândia, v. 36, n. 4, p. 1377-1389, jul./ago. 2020. DOI: https://doi.org/10.14393/BJ-v36n4a2020-42715
VINCENT, Q. et al. Functional structure and composition of Collembola and soil macrofauna communities depend on abiotic parameters in derelict soils. Applied Soil Ecology, Amsterdam, v. 130, p. 259-270, set. 2018. DOI: https://doi.org/10.1016/j.apsoil.2018.07.002
Contribuição de Autoria
1 – Samuel Inocêncio Alves da Silva
Engenheiro Agrônomo, Me., Doutorando
https://orcid.org/0000-0003-0144-6699 • samuel-ufpb@hotmail.com
Contribuição: Análise Formal, Investigação, Metodologia, Visualização de dados (infográfico, fluxograma, tabela, gráfico), Escrita – primeira redação, Escrita – revisão e edição
2 – Tancredo Souza
Engenheiro Agrônomo, PhD.
https://orcid.org/0000-0001-8729-5478 • tancredo_agro@hotmail.com
Contribuição: Conceituação, Curadoria de dados, Análise Formal, Obtenção de financiamento, Investigação, Metodologia, Administração do projeto, Recursos, Software, Supervisão, Validação, Visualização de dados (infográfico, fluxograma, tabela, gráfico), Escrita – primeira redação, Escrita – revisão e edição
3 – Edjane Oliveira de Lucena
Engenheira Florestal, Dra.
https://orcid.org/0000-0003-2260-0114 • edjanelucenaengflo@gmail.com
Contribuição: Análise Formal, Investigação, Metodologia, Software, Visualização de dados (tabela, gráfico), Escrita – primeira redação
4 – Lídia Klestadt Laurindo
Graduanda em Agronomia
https://orcid.org/0000-0002-2785-5354 • lidia.klestadt@hotmail.com
Contribuição: Conceituação, Metodologia, Software, Validação, Escrita – primeira redação
5 – Djail Santos
Engenheiro Agrônomo, Dr.
https://orcid.org/0000-0003-2207-3115 • santos.djail@gmail.com
Contribuição: Obtenção de financiamento, Supervisão, Validação, Escrita – revisão e edição
Como citar este artigo
Silva, S. I. A.; Souza, T.; Lucena, E. O.; Laurindo, L. K.; Santos, D. Influência de sistemas de cultivo sobre a comunidade da fauna edáfica no nordeste do Brasil. Ciência Florestal, Santa Maria, v. 32, n. 2, p. 829-855, 2022. DOI 10.5902/1980509855320. Disponível em: https://doi.org/10.5902/1980509855320.