Universidade Federal de Santa Maria

Ci. Fl., Santa Maria, v. 31, n. 4, Oct./Dec., 2021

DOI: 10.5902/1980509852851

ISSN 1980-5098

Submitted: 12th/08/2020 • Approved: 26th/02/2021 • Published: 17th/11/2021

Artigos

Adaptation of the Fórmula de Monte Alegre for the danger prediction of forest fires in the central region of São Paulo state

Adaptação da Fórmula de Monte Alegre para previsão do perigo de incêndios florestais na região central do estado de São Paulo

João Francisco Labres dos SantosI

Bruna KovalsykiII

Tiago de Souza FerreiraIII

Franciane PajewskiIV

Antonio Carlos BatistaV

Alexandre França TettoVI

Ronaldo Viana SoaresVII

I Forestry Engineer, Master degree, Researcher, Universidade Federal do Paraná, Curitiba, PR, Brazil

https://orcid.org/0000-0001-5517-1868 – joaolabres@ufpr.br

II Forestry Engineer, Dr., Researcher, Universidade Federal do Paraná, Curitiba, PR, Brazil

https://orcid.org/0000-0002-1213-2102 – kovalsyki.b@gmail.com

III Forestry Engineer, Master degree, Researcher, Universidade Federal do Paraná, Curitiba, PR, Brazil

https://orcid.org/0000-0002-1836-625X – tiagoferreira@florestal.eng.br

IV Forestry Engineer, Master degree, Researcher, Universidade Federal do Paraná, Curitiba, PR, Brazil

https://orcid.org/0000-0003-3209-0808 – franpajewski@yahoo.com.br

V Forestry Engineer, Dr., Professor, Universidade Federal do Paraná, Curitiba, PR, Brazil

https://orcid.org/0000-0001-5929-3838 – batistaufpr@gmail.com

VI Forestry Engineer, Dr., Professor, Universidade Federal do Paraná, Curitiba, PR, Brazil

https://orcid.org/0000-0003-2251-964X – tetto@ufpr.br

VII Forestry Engineer, Dr., Professor, Universidade Federal do Paraná, Curitiba, PR, Brazil

https://orcid.org/0000-0002-8625-425X – rvsoares02@gmail.com

ABSTRACT

Considering that the formulation of fire danger index helps in the planning of prevention and combat activities, revealing, in advance, the probability of occurrence and spread of forest fires. This work aimed to adjust and to validate the Fórmula de Monte Alegre for areas of eucalypt cultivation in the state of São Paulo. Data on relative humidity, rainfall and records of forest fires from 10/11/2003 to 4/29/2016 were used. For the analysis, the data set was divided into two parts, with the observations between years 2003 and 2013 (75%) being used to adjust FMA, while the data referring to the years 2014 to 2016 (25%) were used to validate the new classification generated according to the establishment of the new threshold values of distinction among the fire danger classes. The results showed that the establishment of new thresholds for the definition of the danger classes provided improvements in the efficiency of the Fórmula de Monte Alegre in predicting the occurrence of fires in the study region.

Keywords: Forest weather; Hazard index; Forest protection

RESUMO

Considerando que a formulação de índices de perigo de incêndios auxilia no planejamento das atividades de prevenção e combate, refletindo de forma antecipada a probabilidade de ocorrência e de propagação dos incêndios florestais, o presente trabalho teve por objetivo realizar o ajuste e validação da Fórmula de Monte Alegre para áreas de cultivo de eucalipto no Estado de São Paulo. Foram utilizados dados de umidade relativa do ar, precipitação pluviométrica e registros de ocorrência de incêndios florestais no período de 11/10/2003 a 29/04/2016. Para a análise, o conjunto de dados foi dividido em duas partes, sendo que as observações entre os anos de 2003 e 2013 (75%) foram utilizadas para o ajuste da FMA, enquanto os dados referentes aos anos de 2014 a 2016 (25%) foram utilizados para validar a nova classificação gerada conforme o estabelecimento dos novos valores limiares de distinção entre a classes de perigo de incêndios. Os resultados demonstraram que o estabelecimento de novos limiares para as definições das classes de perigo proporcionou melhorias na eficiência da Fórmula de Monte Alegre em prever a ocorrência de incêndios na região de estudo.

Palavras-chave: Meteorologia florestal; Índice de perigo; Proteção florestal

1 INTRODUCTION

Brazil has 1.2% of its territory destined to forest plantations, among which, 75% are formed by species of the genus Eucalyptus (IBGE, 2017b). According to Borges et al. (2011), areas with eucalyptus plantations confer a high risk of fire occurrence, due to the large amount of available combustible material which is formed both by the continuous deposit of leaves and branches in the understory and by the wood of the settlement itself.

In this context, the formulation of fire hazard indices has increasingly stood out as a fundamental tool in the management of commercial plantations, since it assists in the planning of prevention and combat activities, reflecting, in advance, the probability of occurrence and of spread of forest fires (SOARES; BATISTA; TETTO, 2017).

For the formulation of forest fire hazard indices, meteorological factors are the most indicated variables, because in addition to determining how fires behave, when and where they occur (VÉLEZ, 2009), they are also decisive in igniting combustible material and in the spread of fire. In Brazil, the first forest fire hazard index developed was the Fórmula de Monte Alegre (FMA) (SOARES, 1972), which uses two meteorological variables, the relative humidity and precipitation. Over the years, FMA has become the main fire hazard index used in Brazil and in other countries, with national prominence for the states of Paraná (NUNES et al., 2010; KOVALSYKI et al., 2014), Minas Gerais (TORRES et al., 2017) and Mato Grosso (MACHADO et al., 2017), as well as Cuba (RODRÍGUEZ et al., 2012) and Mozambique (MBANZE et al., 2017), internationally.

However, the formulation of fire hazard indices for a specific region needs adaptation (VIEGAS et al., 2004). Thus, the main difficulty in using FMA is calibration, which is most often carried out by arbitrarily modifying the fire hazard classes of the index and by analyzing certain assumptions, such as minimizing the number of days in the classes, the high and the very high ones in danger, and maximizing the correlation between the occurrence of fires and the high and very high fire hazard classes (TETTO et al., 2015). In addition, another difficulty in applying FMA is the need to transform the hazard scale of the index into dichotomous values by determining a cutoff value between the occurrence and the non-occurrence of fires (SAMPAIO; SOARES, 2000). In this sense, some authors (eg NUNES; SOARES; BATISTA, 2007; NUNES et al., 2010; BORGES et al., 2011; WHITE et al., 2013) considered the lower limit of FMA “medium” hazard class as a point cutoff. However, this value can only be considered adequate when the index classifies most of the predictions correctly (UNAL, 2017).

The main damage in the use of indices not adjusted in a specific way for the region of application, is the risk of making wrong decisions in relation to the prevention and combat procedures. Thus, the present work aimed to propose a new process of adjustment and validation of the Fórmula Monte Alegre through the establishment of new thresholds for the definition of hazard classes through the union index (UI), which maximizes the values of the detection probabilities and of the false detection obtained in the analysis of the area under the ROC curve.

2 MATERIAL AND METHODS

2.1 Characterization of the study area

The study area comprises 32 municipalities, located in the central region of São Paulo state, totaling approximately 92,710 ha, between the geographical coordinates 22º 1 ‘and 22° 52’ south latitude and 49º 30 ‘and 48° 33’ west longitude. According to the Köppen climate classification, the regions of Pratânia and Iaras fit into the Cwa climate, characterized by the tropical climate of altitude, with rains in summer and drought in winter, with the average temperature of the hottest month exceeding 22 ° C, while the regions of Avaí, Paulistânia and Lençóis Paulista fit into the Aw climate, that is, rainy tropical, with dry winter and colder month with average temperature above 18ºC (ALVARES et al., 2013).

The weather stations that provided the data for this study are operated by the company Lwarcel and are located in the municipalities of Avaí, Iaras, Lençóis Paulista, Paulistânia and Pratânia (Figure 1).

Figure 1 – Location of the study area

Figura 1 – Localização da área de estudo

Mapa

Descrição gerada automaticamente

Source: Authors (2019), adapted from Lwarcel Celulose (2016) and IBGE (2017a)

2.2 Obtaining meteorological data and fire occurrences

The data on the relative humidity of the air at 1 pm and the daily precipitation, as well as the occurrences of fires, were provided by the company Lwarcel, which has eucalyptus plantations in all the municipalities analyzed. All data were collected from 10/11th/2003 to 4/29th/2016, totaling 12 years, 6 months and 8 days of registration.

2.2.1 Fórmula de Monte Alegre Adjustment

For the analysis, the data set was divided into two parts, and the observations between the years 2003 and 2013 (75%) were used to adjust FMA, while the data referring to the years 2014 to 2016 (25%) were used to validate the new classification generated according to the establishment of the new threshold values of distinction between fire hazard classes (WILKS, 2011).

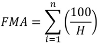
The forest fire hazard was calculated using the Fórmula de Monte Alegre (FMA) (SOARES, 1972), which is a cumulative index based on only two meteorological variables: i) relative air humidity recorded at 1 pm, which is used directly in the calculation of the fire hazard, and; ii) total daily rainfall, which is applied as a restrictive factor, in which, depending on the amount of daily rainfall, corrections are made to the value of FMA.

The daily fire hazard indexes were determined using the Equation (1):

(1)

In where: FMA = Fórmula de Monte Alegre; H = relative air humidity (%) measured at 1 pm; n = number of days without rain greater than or equal to 12.9 mm.

Then, the restrictive factor was applied in relation to the observed value of FMA, according to the parameters contained in Table 1.

Table 1 – Restrictions on the Sum of FMA according to daily rainfall

Tabela 1 – Restrições ao somatório da FMA de acordo com a precipitação pluviométrica diária

Daily Rainfall Precipitation (mm)

Modification in Calculation

≤ 2.4

None.

2.5 - 4.9

Cull 30% in the FMA calculated the day before and add (100 / H) of the day.

5.0 - 9.9

Cull 60% in the FMA calculated the day before and add (100 / H) of the day.

10.0 - 12.9

Cull 80% in the FMA calculated the day before and add (100 / H) of the day.

> 12.9

Interrupt the sum (FMA = 0), resume the calculation on the next day or when the rain stops.

Source: Soares, Batista and Tetto (2017)

Then, using the scale shown in Table 2, the classification of the degree of danger estimated by the FMA between 2003 and 2013 was performed.

Table 2 – FMA danger scale

Tabela 2 – Escala de perigo da FMA

FMA value

Fire Hazard Class

≤ 1.0

Null

1.1 - 3.0

Low

3.1 - 8.0

Medium

8.1 - 20.0

High

> 20.0

Very high

Source: Soares, Batista and Tetto (2017)

Through the Fire Occurrence Records (ROI) provided by the company Lwarcel, the observations between years 2003 and 2013 were classified as a fire occurrence, if at least one event was recorded on that day, and non-occurrence of fire, if no event was recorded on that day. In this way, it was possible to compare the values of the fire hazard classes with the occurrence data and number of fire days in the period.

After that, the adherence of the classification generated to the premise established by Nunes et al. (2010), in which the number of days foreseen in each hazard class must show a decreasing behavior according to the FMA value. In addition, Nunes et al. (2010) also established that the distribution of fire occurrences should show an increasing behavior according to the hazard classes, so that the “high” and “very high” classes were responsible for concentrating the greatest number of occurrences in relation to the other classes.

The accuracy of the generated classification was evaluated using the analysis of the area under the ROC curve (AC). In addition to the application of the method known as skill score (SAMPAIO; SOARES, 2000; NUNES, 2005; NUNES; SOARES; BATISTA, 2006; NUNES et al., 2010), which is based on a contingency table that contains the observed and predicted values for an event in a population, “null” and “low” degrees of danger were considered non-indicative of fire and “medium”, “high” and “very high” degrees of danger as fire. From this definition, the skill score (SS), the success percentages (PS) and the probabilities of detection (POD) and false detection (POFD) for each study region were calculated.

In order to adapt the classification of the degree of danger estimated by FMA between the years 2003 to 2013 for the areas of study, new thresholds were established for the definitions of the hazard classes. The new threshold values for class separation were obtained through the Union Index (UI), proposed by Unal (2017), which maximizes the values of detection probabilities and false detection obtained in the analysis of the area under the ROC curve.

The hazard class adjustment process took place through graphic analysis and alteration of the hazard class limits, according to the premise that the number of days foreseen in each hazard class must have an inverse relationship with the FMA value, that is, the greater the class of danger, the smaller the number of days foreseen for the occurrence of fire (NUNES et al., 2010). The adjustment of the minimum and maximum limits of the “medium” hazard class was conditioned so that the new threshold value occurred within that class.

To validate the new classification generated according to the establishment of the new threshold values of distinction between the fire hazard classes, independent data for the years 2014 to 2016 were used. Since, the adherence of these data was assessed to the pre-established premises by Nunes et al. (2010), as well as the skill score method was used to assess the assertiveness of the classification.

3 RESULTS AND DISCUSSION

Contrary to the premise established by Nunes et al. (2010), there was no decreasing behavior in the number of days in each hazard class due to the increase in the FMA value (Figure 2). Thus, about 50% of the days were categorized into the “high” and “very high” hazard classes, indicating that the use of the original fire hazard scale proposed by Soares (1972) is not suitable for application in the study region. Regarding the distribution of fire occurrences in the hazard classes generated with the original FMA scale, an increasing behavior was observed, indicating a good ability to predict the occurrence of fires, since approximately 80% of the occurrences were concentrated in the “high” and “very high” classes.

Figure 2 – Distribution of the number of days and occurrences by the original FMA danger class for the period 2003 to 2013

Figura 2 – Distribuição da quantidade de dias e ocorrências por classe de perigo da FMA original para o período de 2003 a 2013

Gráfico, Gráfico de barras

Descrição gerada automaticamente

Source: Authors (2019)

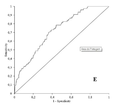
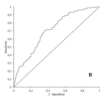
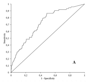
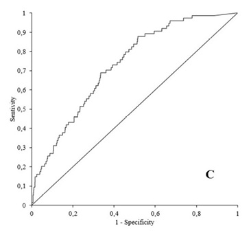
The AC values found in this study demonstrated that the use of FMA is an appropriate methodology to classify the fire hazard in eucalyptus stands in the Central Region of São Paulo state. Iaras was the area with the highest AC, with 0.73, while Lençóis Paulista was the one with the smallest area, with 0.70 (Figure 3).

Figure 3 – Receiver Operation Characteristic (ROC) Curves for the five areas studied from 2003 to 2013: A = Pratânia; B = Avai; C = Iara; D = Paulistania; E = Lençóis Paulista

Figura 3 – Curvas de Característica de Operação do Receptor (ROC) para as cinco áreas estudadas no período de 2003 a 2013: A = Pratânia; B = Avaí; C = Iaras; D = Paulistânia; E= Lençóis Paulista

Source: Authors (2019)

The percentage of success (PS), which is the percentage of correct answers in relation to the total observed, was 27.3% (Avaí) to 33.2% (Iaras), whereas the skill score (SS) is the reason for the difference between the hits and the expected number of hits ranged from 0.0159 (Lençóis Paulista) to 0.0215 (Iaras). Some authors obtained results similar to those of this study in the use of FMA, among which it is worth mentioning Nunes et al. (2010) (PS: 34.32%; SS: 0.0517), Borges et al. (2011) (PS: 38.54%; SS: 0.0946) and White, White and Ribeiro (2015) (PS: 20%; SS: 0.02). However, both rated the performance of the index as unsatisfactory.

In view of the above, in order to improve the classification of the degree of danger estimated by FMA between the years 2003 to 2013 for the study areas, new thresholds for the definitions of the hazard classes were established. The new threshold values of separation between classes were obtained by maximizing the probabilities of detection and false detection obtained in the analysis of the area under the ROC curve (Figure 4).

Figure 4 – Medium danger class limits and threshold values

Figura 4 – Limites da classe de perigo médio e valores limiares

Interface gráfica do usuário, Aplicativo

Descrição gerada automaticamente

Source: Authors (2019)

In where: White = indicates no fire occurrence; Black = indicates fire occurrence.

Fonte: Autores (2019)

Em que: branco = indica não ocorrência de incêndio; preto = indica ocorrência de incêndio.

The original FMA, that is, the one produced using the original fire hazard rating scale proposed by Soares (1972), presented detection probability values (POD) above 90% in all regions studied, except for the region of Lençóis Paulista. Despite this, the values obtained for POFD indicated that the original FMA has a strong bias in detecting non-existent events. After the establishment of new thresholds for the definition of hazard classes using the union index, it was observed that the POD values decreased in all regions, as well as the POFD values. Similar behavior to that found in this study, was observed by Castedo-Dorado et al. (2011) when studying the modeling of the probability of fire occurrences caused by lightning. The only region that maintained similar behavior before and after adjusting the FMA classification scales was that of Lençóis Paulista (Table 3).

Table 3 – POD and POFD obtained for original FMA and adjusted FMA from 2003 to 2013

Tabela 3 – POD e POFD obtidos para FMA original e FMA ajustada no período de 2003 a 2013

Area

Original FMA

Adjusted FMA

POD (%)

POFD (%)

POD (%)

POFD (%)

Pratânia

91.9

67.8

60.8

32.5

Avaí

95.9

75.7

68.9

35.5

Iaras

97.3

73.8

68.9

33.6

Paulistânia

95.9

72.0

68.9

36.1

Lençóis Paulista

67.6

39.2

66.2

38.9

Source: Authors (2019)

Based on the data in Table 3, it appears that the methodology used to change the values of the fire hazard scales, provided a greater balance between the values of POD and POFD, substantially reducing the probability of detecting false events and maintaining, in relative high levels, the probability of detecting true events.

In view of the adjustments made, the new hazard classes for the regions of interest were resized (Table 4). The new thresholds gave greater prominence to the lower classes of FMA, so that in the new arrangement, the representativeness of the “high” and “very high” classes represents about 20% of the observations, which in the original FMA arrangement represented around 50%.

Table 4 – New FMA Fire Danger Classes for Study Region

Tabela 4 – Novas classes de perigo de incêndio para FMA para região de estudo

FMA (adjusted scale)

Municipality

Pratânia

Avaí

Iaras

Paulistânia

Lençóis Paulista

Null

≤ 4.0

≤ 4.0

≤ 4.0

≤ 5.0

≤ 4.0

Low

4.1 - 10.0

4.1 - 11.0

4.1 - 10.0

5.1 - 12.0

4.1 - 11.0

Average

10.1 - 20.0

11.1 - 23.0

10.1 - 21.0

12.1 - 22.0

11.1 - 27.0

High

20.1 - 45.0

23.1 - 55.0

21.1 - 48.0

22.1 - 45.0

27.1 - 55.0

Very high

> 45.0

> 55.0

> 48.0

> 45.0

> 55.0

Source: Authors (2019)

These changes provided greater adherence to the classification generated to the premise established by Nunes et al. (2010), as well as the minimizing of the number of days in the “high” and “very high” hazard classes, in addition to maximizing the correlation between the occurrence of fires and the “high” and “very high” fire hazard classes (TETTO et al., 2015) (Figure 5).

Figure 5 – Distribution of the number of days and occurrences per adjusted FMA danger class for the period 2003 to 2013

Figura 5 – Distribuição da quantidade de dias e ocorrências por classe de perigo da FMA ajustada para o período de 2003 a 2013

Gráfico, Gráfico de barras

Descrição gerada automaticamente

Source: Authors (2019)

The adjusted FMA success percentage (PS) ranged from 61.2% (Lençóis Paulista) to 67.4% (Pratânia) and the skill score (SS) was 0.03 (Pratânia and Lençóis Paulista) to 0.04 (Avai, Iaras and Paulistânia). As a comparison, Rodriguez et al. (2012), obtained PS of 40.44% and SS of 0.0411 for adjusted FMA for the province of Pínar del Rio (Cuba) and Kovalsyki et al. (2014) obtained PS of 53.86% and SS of 0.2234 for FMA in Ponta Grossa, Paraná. Thus, the performance of the adjusted FMA for the study region can be considered satisfactory.

Figure 6 – Distribution of the number of days and occurrences per adjusted FMA danger class for the period 2014-2016

Figura 6 – Distribuição da quantidade de dias e ocorrências por classe de perigo da FMA ajustada para o período de 2014-2016

Gráfico, Gráfico de barras

Descrição gerada automaticamente

Source: Authors (2019)

As the FMA adjustment was considered satisfactory for the study areas, the validation step was performed with the use of an independent database, composed of observations referring to the years 2014 to 2016.

In the validation stage, the first assumption evaluated was the adherence of the distribution of the number of days in a decreasing way depending on the hazard class. In this regard, only Avaí did not meet the pre-established premise. As for the number of fire occurrences by hazard class, in general there was an increasing trend among the number of occurrences according to the hazard class, so that the highest percentages of fire occurrences were associated with the high and very dangerous classes high. Exceptions to the general rule were observed in the data distribution for the region of Avaí and Lençóis Paulista, with the first presenting a high concentration of occurrences in the high hazard class and the second showing a relatively uniform trend in the distribution of fire occurrences across the classes of danger.

For all the study areas, there was an increase in the values of percentage of success and skill score, which indicates that the adjustment of FMA provided an improvement in the efficiency of the index for the region of study (Table 6).

Table 6 – Comparison of Accuracy (A) and Skill Score (SS) between the original FMA and the adjusted FMA for the period 2014-2016

Tabela 6 – Comparação da Porcentagem de Sucesso (PS) e Skill Score (SS) entre a FMA original e FMA ajustada, para o período de 2014-2016

Area

Original FMA

Adjusted FMA

PS

SS

PS

SS

Pratânia

32.5

0.040

44.7

0.09

Avaí

30.1

0.001

33.1

0.05

Iaras

31.2

0.030

33.2

0.13

Paulistânia

30.3

-0.020

35.8

0.04

Lençóis Paulista

26.7

-0.020

43.5

0.03

Source: Authors (2019)

The results obtained in this study corroborate the assumptions regarding the need to use fire hazard indexes specifically adjusted according to the climatic characteristics of each region, in order to accurately predict the occurrence of fires. The use of maladjusted indices, as demonstrated in this study through the use of the original FMA scale proposed by Soares (1972) is not suitable for application in the region of study, since it has a strong tendency to detect non-existent events, which in turn, it can lead to mistaken decisions in relation to the procedures for preventing and fighting forest fires, causing unnecessary expenses.

4 CONCLUSION

It is concluded that the establishment of new thresholds for the definition of the hazard classes through the application of the union index resulted in improvements in the efficiency of FMA in predicting the occurrence of fires in the study region.

ACKNOWLEDGEMENTS

This work was carried out with the support of the Coordination for the Improvement of Higher Education Personnel - Brazil (CAPES) - Financing Code 001.

REFERENCES

ALVARES, C. A. et al. Köppen’s climate classification map for Brazil. Meteorologische Zeitschrift, Berlin, v. 22, n. 6, p. 711-728, 2013.

BORGES, T. S. et al. Desempenho de alguns índices de risco de incêndios em plantios de eucalipto no norte do Espírito Santo. Floram, Rio de Janeiro, v. 37, n. 92, p. 535-543, 2011.

CASTEDO-DORADO, F. et al. Modelling the probability of lightning-induced forest fire occurrence in the province of León (NW Spain). Forest Syst, [s. l.], v. 20, n. 1, p. 95-107, 2011.

IBGE. Geociências: divisão regional do Brasil em regiões geográficas. Rio de Janeiro, 2017a. Shapefile.

IBGE. Produção da extração vegetal e da silvicultura. Rio de Janeiro, 2017b. Disponível em: https://agenciadenoticias.ibge.gov.br/media/com_mediaibge/arquivos/15f538e9095614fc3204f828b22fa714.pdf. Acesso em: 11 jul. 2019.

KOVALSYKI, B. et al. Avaliação da eficiência da Fórmula De Monte Alegre para o município de Ponta Grossa – PR. Enciclopédia Biosfera, Goiânia, v. 10, n. 19, p. 208-218, 2014.

LWARCEL CELULOSE. Shapefile: áreas de cultivos florestais (Banco de Dados). [S. l.], 2016.

MACHADO, A. P. M. et al. Avaliação dos focos de calor e da fórmula de Monte Alegre no parque Nacional da Chapada dos Guimarães. Pesquisa Florestal Brasileira, Colombo, v. 5, n. 5, p. 355-361, 2017.

MBANZE, A. A. et al. Desempenho dos índices de Nesterov e Fórmula de Monte Alegre no Distrito de Lichinga, Norte de Moçambique. Ciência Florestal, Santa Maria, v. 27, n. 2, p. 687-696, 2017.

NUNES, J. R. S. FMA+ - um novo índice de perigo de incêndios para o estado do Paraná – Brasil. 2005. Tese (Doutorado em Ciências Florestais) - Setor de Ciências Agrárias, Universidade Federal do Paraná, Curitiba, 2005.

NUNES, J. R. S. et al. Desempenho da Fórmula de Monte Alegre (FMA) e da Fórmula de Monte Alegre Alterada (FMA+) no distrito florestal de Monte Alegre. Floresta, Curitiba, v. 40, n. 2, p. 319-326, 2010.

NUNES, J. R. S.; SOARES, R. V.; BATISTA, A. C. Ajuste da Fórmula de Monte Alegre Alterada – FMA+ para o estado do Paraná. Floresta, Curitiba, v. 37, n. 1, p. 1-14, 2007.

NUNES, J. R. S.; SOARES, R. V.; BATISTA, A. C. FMA+-Um novo índice de perigo de incêndios florestais para o estado do Paraná, Brasil. Floresta, Curitiba, v. 36, n. 1, p. 75-91, 2006.

RODRÍGUEZ, M. P. R. et al. Ajuste e desempenho dos índices de perigo de incêndios Nesterov, FMA e FMA+ na empresa florestal Macurije, Cuba. Floresta, Curitiba, v. 42, n. 4, p. 651-660, 2012.

SAMPAIO, O. B.; SOARES, R. V. “Skill Score” – Um método para análise da eficiência de índices de incêndios florestais. Floresta, Curitiba, v. 30, n. 1/2, p. 172, 2000.

SOARES, R. V. Índices de perigo de incêndio. Floresta, Curitiba, v. 3, n. 3, p. 19-40, 1972.

SOARES, R. V.; BATISTA, A. C.; TETTO, A. F. Incêndios Florestais: controle, efeitos e uso do fogo. Curitiba: Fupef, 2017. 250 p.

TETTO, A. F. et al. Incêndios florestais atendidos pela Klabin do Paraná no período de 1965 a 2009. Cerne, Lavras, v. 21, n. 3, p. 345-351, 2015.

TORRES, F. T. P. et al. Analysis of efficiency of fire danger indices in forest fire prediction. Revista Árvore, Viçosa, MG, v. 41, n. 2, 2017.

UNAL, I. Defining an optimal cut-point value in ROC analysis: an alternative approach. Computational and Mathematical Methods in Medicine, [s. l.], v. 2017, 3762651, 2017.

VÉLEZ, R. Factores ambientales: los índices meteorológicos de peligro. In: VÉLEZ, R. La defensa contra incendios forestales: fundamentos y experiências. Madrid: McGraw-Hill, 2009.

VIEGAS, D. X. et al. Calibração do sistema canadiano de perigo de incêndio para aplicação em Portugal. Silva Lusitana, [s. l.], v. 12, n. 1, p. 77-93, 2004.

WHITE, B. L. A. et al. Development of a fire danger index for eucalypt plantations in the northern coast of Bahia, Brazil. Floresta, Curitiba, v. 43, n. 4, p. 601-610, 2013.

WHITE, L. A. S.; WHITE, B. L. A.; RIBEIRO, G. T. Evaluation of forest fire danger indexes for eucalypt plantations in Bahia, Brazil. International Journal of Forestry Research, [s. l.], v. 2015, 613736, 2015.

WILKS, D. S. Statistical methods in the atmospheric science. 3rd ed. Oxford: Elsevier, 2011. 676 p.

Authorship Contribution

1 – João Francisco Labres dos Santos

Contribution: Conceptualization, Data curation, Formal Analysis, Investigation, Methodology, Writing – original draft, Writing – review & editing

2 – Bruna Kovalsyki

Contribution: Conceptualization, Data curation, Formal Analysis, Investigation, Methodology, Writing – original draft, Writing – review & editing

3 – Tiago de Souza Ferreira

Contribution: Investigation, Methodology, Writing – original draft, Writing – review & editing

4 – Franciane Pajewski

Contribution: Investigation, Methodology , Writing – original draft, Writing – review & editing

5 – Antonio Carlos Batista

Contribution: Formal Analysis, Supervision, Writing – review & editing

6 – Alexandre França Tetto

Contribution: Formal Analysis, Supervision, Writing – review & editing

7 – Ronaldo Viana Soares

Contribution: Methodology, Supervision, Writing – review & editing