Universidade Federal de Santa Maria
Ci. Fl., Santa Maria, v. 31, n. 4, out./dez., 2021
DOI: 10.5902/1980509837867
ISSN 1980-5098
Submissão: 28/04/2019 • Aprovação: 26/02/2021 • Publicação: 17/11/2021
Artigos
Dependência espacial de variáveis dendrométricas em diferentes idades e intensidades amostrais em povoamento de eucalipto
Spatial dependence of dendrometric variables in different ages and sample intensities on a eucalyptus stand
Danilo Henrique dos Santos AtaídeI
Emanuel José Gomes de AraújoII
Marco Antonio MonteIII
Rafaella De Angeli CurtoIV
Bruno Araujo Furtado de MendonçaV
Vinícius Augusto MoraisVI
I Engenheiro Florestal, Me., Doutorando em Ciências Ambientais e Florestais, Universidade Federal Rural do Rio de Janeiro, Seropédica, RJ, Brasil
https://orcid.org/0000-0002-5062-8803 – daniloataide.florestal@gmail.com
II Engenheiro Florestal, Dr., Professor, Universidade Federal Rural do Rio de Janeiro, Seropédica, RJ, Brasil
https://orcid.org/0000-0002-2301-1031 – ejgaraujo@gmail.com
III Engenheiro Florestal, Dr., Professor, Universidade Federal Rural do Rio de Janeiro, Seropédica, RJ, Brasil
https://orcid.org/0000-0002-0478-0767 – marcomonte.ufrrj@gmail.com
IV Engenheira Florestal, Dra., Professora, Universidade Federal Rural do Rio de Janeiro, Seropédica, RJ, Brasil
https://orcid.org/0000-0001-5509-4655 – rafaellacurto@yahoo.com.br
V Engenheiro Florestal, Dr., Professor, Universidade Federal Rural do Rio de Janeiro, Seropédica, RJ, Brasil
https://orcid.org/0000-0003-0288-0024 – brunoafmendonca@gmail.com
VI Engenheiro Florestal, Dr., Professor, Universidade do Estado do Mato Grosso, Alta Floresta, MT, Brasil
https://orcid.org/0000-0003-1514-5969 – viniciusmorais@unemat.br
RESUMO
Compreender as variações espaciais de variáveis dendrométricas em inventário florestal contínuo é imprescindível para subsidiar ações de manejo, além de permitir intensidades amostrais que reflitam em acurácia com menor custo do inventário. Nesse contexto, o objetivo deste trabalho foi avaliar a estrutura de dependência espacial de variáveis dendrométricas ao longo do tempo e em diferentes intensidades amostrais em povoamento de eucalipto. As hipóteses testadas foram que a estrutura de dependência espacial de variáveis dendrométricas se altera com o crescimento em povoamentos de eucalipto e que a intensidade amostral influencia nesta estrutura. As variáveis diâmetro a 1,30 m do solo, área basal, altura total, altura média das árvores dominantes e volume de madeira foram obtidas em inventário florestal contínuo, aos 3,5, 4,5 e 5,5 anos, em 80 unidades amostrais permanentes (400 m²), distribuídas aleatoriamente em um povoamento de eucalipto (394 ha), localizado em Abaeté, Minas Gerais. Foram avaliadas as intensidades de uma unidade amostral a cada 4,9 (n = 80), 7,3 (n = 54) e 16,4 (n = 24) hectares. Considerou-se a maior intensidade amostral como referência para as demais. Os modelos de semivariância esférico, exponencial e gaussiano foram ajustados ao semivariograma experimental, em que o modelo de melhor ajuste foi utilizado pela krigagem ordinária na espacialização das variáveis analisadas. Os resultados demonstraram predominância de forte dependência espacial das variáveis dendrométricas, independentemente da idade e intensidade amostral, sobretudo para altura média das árvores dominantes e volume de madeira. A menor intensidade amostral influenciou negativamente na dependência espacial da área basal, em todas as idades. A estrutura de dependência espacial não é influenciada pelo aumento da idade do povoamento, sendo recomendada a análise geoestatística destas variáveis em inventário florestal contínuo, considerando a intensidade amostral de uma unidade amostral a cada 16,4 hectares.
Palavras-chave: Inventário florestal contínuo; Semivariância; Krigagem; Geoestatística
ABSTRACT
Understanding the spatial variations of dendrometric variables in a continuous forest inventory is essential to support management actions, in addition to allowing sample intensities that reflect accuracy with lower inventory cost. The objective of this study was to evaluate the spatial dependence structure of dendrometric variables over time and in different sample intensities in eucalyptus stands. The hypotheses considered were that the spatial dependence structure of dendrometric variables changes along the growth in eucalyptus stands and the sample intensity influences this structure. The variables diameter at 1.30 m of soil, basal area, total height, mean height of dominant trees and volume of wood were obtained in continuous forest inventory, at 3.5, 4.5 and 5.5 years, from 80 plots (400 m²) distributed randomly in the stand (394 ha) located in Abaeté, Minas Gerais state. Were evaluated the sample intensities of one plot every 4.9 (n = 80), 7.3 (n = 54), and 16.4 (n = 24) hectares. The highest sample intensity was reference for the others. The spherical, exponential and gaussian semivariance models were adjusted to the experimental semivariogram, where the best fit model was used by ordinary kriging in the spatialization of the analyzed variables. The results showed a predominance of strong spatial dependence of dendrometric variables, regardless of age and sample intensity, especially for mean height of dominant trees and volume of wood. The lower sample intensity influenced negatively the spatial dependence of the basal area at all ages. The structure of spatial dependence is not influenced by the increase in the age of the stand, and the geostatistical analysis of these variables is recommended in a continuous forest inventory, considering the sample intensity of one plot of each 16.4 hectares.
Keywords: Continuous forest inventory; Semivariance; Kriging; Geoestatistic
1 INTRODUÇÃO
A Geoestatística é frequentemente aplicada para compreender a estrutura de dependência espacial de variáveis dendrométricas em povoamentos de eucalipto (MELLO et al., 2009; LUNDGREN; SILVA; FERREIRA, 2016; GOERGEN et al., 2020). Essa técnica permite auxiliar na estratificação do inventário florestal (ALVARENGA et al., 2012; GUEDES et al., 2012; ZECH et al., 2018), mapear a capacidade produtiva por meio da espacialização da altura dominante (PELISSARI et al., 2015) e, também, mapear a produção (SANTOS et al., 2017).
Poucos desses estudos exploram as variações espaciais que podem ocorrer ao longo do tempo, podendo citar os realizados por Kanegae Junior et al. (2007), Guedes et al. (2015) e Raimundo et al. (2017). Contudo, esses estudos não contemplam todas as variáveis que podem ser obtidas no inventário florestal contínuo, geralmente dando destaque para a altura média das árvores dominantes e volume. Conhecer os padrões espaciais de outras variáveis, como diâmetro, área basal e altura total, por exemplo, são fundamentais para auxiliar ações no manejo e entender os diferentes níveis de crescimento e incremento no povoamento.
Outra lacuna existente é em relação a intensidade amostral a ser utilizada em cada ocasião de medição no inventário florestal contínuo, visando obter estimativas espaciais das variáveis aplicando a geoestatística em povoamentos de eucalipto. Os trabalhos realizados com geoestatística aplicada em inventários florestais utilizam os mais variados métodos, processos e intensidades amostrais para diferentes variáveis mensuradas (GUEDES et al., 2015; PEREIRA et al., 2016; RAIMUNDO et al., 2017; SANTOS et al., 2017; ATAÍDE et al., 2020; GOERGEN et al., 2020).
A abordagem de diferentes intensidades amostrais ao longo do tempo, além de possibilitar a redução dos custos relacionados à amostragem no inventário, pode complementar as ferramentas utilizadas no manejo do povoamento. Os métodos de classificação da capacidade produtiva, por exemplo, podem ser complementados com as técnicas de krigagem para obter a estimativa espacial do índice de sítio em locais não amostrados, em diferentes idades. Além disso, o mapeamento da produção utilizando a krigagem é uma ação fundamental para auxiliar nas operações de logística, transporte e colheita da madeira.
São vários os fatores que podem influenciar no comportamento espacial de uma variável no tempo, podendo citar a espécie, a idade do povoamento e as micro variações do sítio, as quais podem reduzir o índice de dependência espacial em estágios iniciais do desenvolvimento da floresta (GUEDES et al., 2015). Em povoamentos de Tectona grandis, por exemplo, Pelissari et al. (2014) relataram um aumento na intensidade de dependência espacial do quinto para o oitavo ano para as variáveis área basal, volume e na relação entre área basal e volume. Kanegae Junior et al. (2007), avaliando a dependência espacial do volume, área basal e altura dominante em povoamentos de eucalipto com idade entre 2,5 e 4,5 anos, relataram que a continuidade espacial foi afetada pela idade da floresta, observado pelo aumento consecutivo do efeito pepita entre as medições para as três variáveis analisadas. Porém, ao avaliar a continuidade espacial da altura média das árvores dominantes, volume de madeira e incremento médio anual em povoamentos clonais de eucalipto, em diferentes idades, Guedes et al. (2015) verificaram que a estrutura de dependência espacial das variáveis analisadas não se alterou a partir dos 3,7 anos, mantendo-se todas elas com forte dependência espacial. Entretanto, as condições de plantio, sítio e de amostragem avaliadas por Guedes et al. (2015) são distintas das aqui analisadas.
A partir disso, a hipótese apresentada neste estudo é: a dependência espacial das variáveis obtidas no inventário florestal contínuo em povoamentos de eucalipto é influenciada pela idade e pela intensidade amostral utilizada. Assim, o objetivo deste estudo foi avaliar a estrutura de dependência espacial de variáveis dendrométricas ao longo do tempo, em diferentes intensidades amostrais, em povoamento de eucalipto.
2 MATERIAL E MÉTODO
2.1 Área de estudo
Os dados deste estudo foram coletados em um povoamento clonal de eucalipto com área de 394 ha e espaçamento inicial de 3 x 2,5 m, localizado no município de Abaeté em Minas Gerais (Figura 1), região de Cerrado com altitude média de 647 m (MONTE et al., 2009). O clima é caracterizado por apresentar invernos secos e verões chuvosos, definido como tropical úmido de savana (tipo Aw), segundo a classificação de Köppen (ALVARES et al., 2014). A temperatura e a precipitação média anual são de 20,74ºC e 1.300 mm, respectivamente (MONTE et al., 2009).
2.2 Banco de dados
Foram alocadas, por meio do processo de amostragem casual simples, 80 unidades amostrais (ua) permanentes com área de 400 m², mensuradas nas idades de 3,5, 4,5 e 5,5 anos. As variáveis diâmetro a 1,30 m do solo (DAP), altura total (HT), altura média das árvores dominantes (HD), segundo o conceito de Assmann, foram mensuradas em todas as unidades amostrais. Posteriormente, foram calculadas as variáveis área basal (G) e o volume de madeira (V). A coordenada geográfica central de cada unidade amostral foi registrada para a análise espacial. Foram avaliadas as intensidades de uma unidade amostral a cada 4,9 (n = 80); 7,3 (n = 54) e 16,4 (n = 24) hectares.
Figura 1 – Localização geográfica da área de estudo e distribuição espacial das unidades amostrais permanentes no povoamento clonal de eucalipto, município de Abaeté, estado de Minas Gerais, Brasil. Projeção UTM: 23K - SIRGAS 2000
Figure 1 – Geographic location of study area and spatial distribution of the sample unit in the clonal eucalyptus stand, municipality of Abaeté, Minas Gerais state, Brazil. UTM Projection: 23K - SIRGAS 2000
Fonte: Autores (2020)
2.3 Análise geoestatística
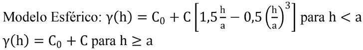
Em cada intensidade amostral e idade foi feita a análise da dependência espacial por meio do semivariograma experimental – Equação (1) – e ajuste, pelo método da máxima verossimilhança, dos modelos esférico – Equação (2), exponencial – Equação (3) – e gaussiano – Equação (4), para obtenção dos parâmetros efeito pepita (C0), contribuição (C) e alcance (a). Além disso, foram analisados os semivariogramas direcionais (0, 45, 90 e 135°) com o objetivo de detectar a anisotropia. Quando presente, a correção foi realizada para obtenção de um semivariograma isotrópico.
|
|
(1) |
|
|
(2) |
|
|
(3) |
|
|
(4) |
Em que: γ(h) = semivariância estimada entre pares de pontos; N(h) = número de pares de valores medidos z(xi), z(xi + h), separados pela distância h.
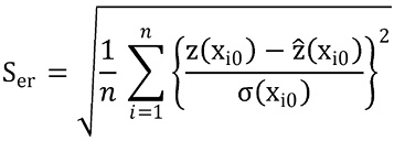
A qualidade dos ajustes foi avaliada por meio do Critério de Informação de Akaike - AIC – Equação (5), Critério de Informação Bayesiano - BIC – Equação (6), Erro Médio Reduzido - () – Equação (7) – e Desvio Padrão dos Erros Reduzidos - Ser – Equação (8), obtidos a partir da validação cruzada.
|
|
(5) |
|
|
(6) |
|
|
(7) |
|
|
(8) |
Em que: = verossimilhança do modelo candidato;
= número de parâmetros do modelo;
= número de observações;
= valor observado no ponto
= valor estimado no ponto
= desvio padrão da krigagem no ponto i0.
O AIC mede a distância da curva de um modelo ajustado a uma curva padrão (ARAÚJO et al., 2018). A diferença do AIC () é a estatística utilizada na comparação dos modelos, em que: AICi = Valor de AIC para o modelo (i); AICmin = Valor de AIC para o modelo suporte (< AIC). Para valores de
menor do que dois, o modelo (i) é estatisticamente igual ao modelo suporte, demonstrando mesma identidade entre os modelos. O
mais próximo de zero e Ser mais próximo de um representam melhor qualidade do ajuste e ausência ou mínima tendência associada às estimativas.
Com os parâmetros ajustados, obteve-se o Índice de Dependência Espacial – Equação (9), classificando a estrutura espacial das variáveis como baixa (IDE ≤ 0,25), moderada (0,25 < IDE ≤ 0,75) e forte (IDE > 0,75).
|
|
(9) |
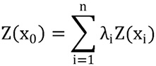
Após a seleção do modelo que melhor se ajustou ao semivariograma experimental, em cada idade e intensidade amostral, foi realizada a krigagem ordinária – Equação (10) – para obtenção das estimativas espaciais de todas as variáveis nos locais não amostrados.
|
|
(10) |
Em que: Z(x0) = estimativa no ponto não amostrado; Z(xi) = valor observado no i-ésimo ponto amostral; n = número de pontos amostrados; λi = peso associado aos i-ésimos pontos amostrados (i = 1, 2, 3, ..., ).
Todas as análises geoestatísticas foram realizadas utilizando o software R (R CORE TEAM, 2015) por meio do pacote geoR.
3 RESULTADOS E DISCUSSÃO
A presença da estrutura de dependência espacial das variáveis em estudo foi detectada nas diferentes idades e intensidades amostrais avaliadas, em que os parâmetros e qualidade dos ajustes dos modelos de semivariograma teórico de melhor desempenho estão apresentados na Tabela 1. Entre todos os ajustes, 68%, 26% e 6% apresentaram estrutura de dependência espacial classificada como forte, moderada e fraca, respectivamente. Esse comportamento demonstra a elevada continuidade espacial das variáveis, principalmente para a altura média das árvores dominantes e volume, viabilizando a geoestatística em inventários florestais contínuos.
Os modelos esférico e exponencial foram os que apresentaram melhores ajustes ao semivariograma experimental, cada um com superioridade em 44,5% do total de ajustes realizados. O modelo gaussiano apresentou melhor ajuste em 11% dos inventários realizados. De acordo com Yamamoto e Landim (2013), mesmo existindo vários modelos teóricos, os modelos esférico, exponencial e gaussiano são descritores da maioria dos fenômenos espaciais existentes.
O alcance médio, observado nos modelos de semivariância de melhor ajuste, foi de 500,92 m (DAP), 288,6 m (G), 495,20 m (HT), 674,23 m (HD) e 600,92 m (V). Oliveira et al. (2018) reportaram valores próximos aos aqui encontrados para as variáveis DAP (a = 590 m) e V (a = 695,6) em povoamento de eucalipto. Também em povoamentos deste gênero foi observada uma alta magnitude do parâmetro alcance (608 m) associada a forte dependência espacial para a variável HD (ATAÍDE et al., 2020). O alcance representa a distância máxima em que a dependência espacial existe e deve ser considerada em análises geoestatísticas (MELLO et al., 2009), e quanto maior o seu valor, maior é a continuidade espacial da variável (KANEGAE JUNIOR et al., 2007). Pode-se observar que a altura média das árvores dominantes é aquela com maior continuidade espacial, pois representa melhor os fatores ambientais e não é influenciada, em geral, por intervenções silviculturais e pela competição (RAIMUNDO et al., 2017).
Tabela 1 – Parâmetros, estatísticas de ajuste e índice de dependência espacial dos modelos de semivariograma teórico de melhor desempenho, para as variáveis diâmetro a 1,30 m do solo, área basal, altura total, altura média das árvores dominantes e volume de madeira em povoamento de eucalipto, variando as intensidades amostrais em 4,9; 7,3 e 16,4 hectares por unidade amostral nas idades de 3,5; 4,5 e 5,5 anos
Table 1 – Parameters, fit statistics and spatial dependency index of the best performance theoretical semivariogram models, for the variables diameter at 1.30 m of soil, basal area, total height, mean height of dominant trees and volume of wood in eucalyptus stand, in sample intensities at 4.9; 7.3 and 16.4 hectares per sampling unit at the ages of 3.5; 4.5 and 5.5 years
|
IA |
Idade |
Modelo |
C0 |
C |
a |
AIC |
BIC |
|
Ser |
IDE(%) |
DE |
|
Diâmetro a 1,30 m do solo (DAP) |
|||||||||||
|
4,9 |
3,5 |
Exponencial |
0,002 |
0,553 |
250,51 |
162,04 |
171,57 |
-0,005 |
1,063 |
99,7 |
Forte |
|
4,5 |
Exponencial |
0,067 |
0,526 |
240,51 |
174,37 |
183,90 |
-0,009 |
1,089 |
88,7 |
Forte |
|
|
5,5 |
Exponencial |
0,167 |
0,507 |
273,29 |
187,26 |
196,79 |
-0,005 |
1,071 |
75,2 |
Forte |
|
|
7,3 |
3,5 |
Esférico |
0,036 |
0,633 |
830,53 |
118,09 |
126,05 |
0,004 |
1,081 |
94,6 |
Forte |
|
4,5 |
Esférico |
0,041 |
0,656 |
828,90 |
120,50 |
128,46 |
0,011 |
1,126 |
94,2 |
Forte |
|
|
5,5 |
Esférico |
0,047 |
0,697 |
799,75 |
125,60 |
133,55 |
0,008 |
1,134 |
93,6 |
Forte |
|
|
16,4 |
3,5 |
Gaussiano |
0,000 |
0,435 |
330,18 |
55,19 |
59,90 |
-0,024 |
1,160 |
100,0 |
Forte |
|
4,5 |
Esférico |
0,000 |
0,511 |
586,20 |
59,71 |
64,42 |
-0,004 |
1,267 |
100,0 |
Forte |
|
|
5,5 |
Gaussiano |
0,000 |
0,643 |
368,41 |
63,77 |
68,48 |
0,005 |
1,334 |
100,0 |
Forte |
|
|
Área basal (G) |
|||||||||||
|
4,9 |
3,5 |
Esférico |
0,871 |
2,167 |
684,77 |
303,96 |
313,49 |
-0,001 |
1,035 |
71,3 |
Moderada |
|
4,5 |
Exponencial |
0,686 |
2,820 |
274,13 |
316,78 |
326,30 |
0,001 |
1,033 |
80,4 |
Forte |
|
|
5,5 |
Exponencial |
0,751 |
3,539 |
334,78 |
326,30 |
335,83 |
0,002 |
1,026 |
82,5 |
Forte |
|
|
7,3 |
3,5 |
Exponencial |
0,000 |
3,503 |
214,98 |
222,02 |
229,97 |
0,008 |
1,023 |
100,0 |
Forte |
|
4,5 |
Exponencial |
0,000 |
3,979 |
208,48 |
229,37 |
237,32 |
0,011 |
1,032 |
100,0 |
Forte |
|
|
5,5 |
Exponencial |
0,000 |
4,889 |
262,59 |
236,38 |
244,34 |
0,015 |
1,014 |
100,0 |
Forte |
|
|
16,4 |
3,5 |
Exponencial |
2,998 |
0,005 |
78,61 |
102,50 |
107,21 |
0,000 |
1,047 |
0,16 |
Fraca |
|
4,5 |
Gaussiano |
3,810 |
0,010 |
105,35 |
108,28 |
112,99 |
-0,004 |
1,042 |
0,26 |
Fraca |
|
|
5,5 |
Gaussiano |
4,057 |
0,266 |
434,10 |
111,23 |
115,94 |
-0,008 |
1,043 |
6,16 |
Fraca |
|
|
Altura total (HT) |
|||||||||||
|
4,9 |
3,5 |
Exponencial |
0,000 |
3,493 |
201,18 |
316,90 |
326,43 |
0,006 |
1,091 |
100,0 |
Forte |
|
4,5 |
Esférico |
0,827 |
1,908 |
877,75 |
289,73 |
299,26 |
-0,004 |
1,045 |
69,8 |
Moderada |
|
|
5,5 |
Exponencial |
0,186 |
3,462 |
275,00 |
312,14 |
321,67 |
0,002 |
1,049 |
94,9 |
Forte |
|
|
7,3 |
3,5 |
Esférico |
0,149 |
2,730 |
750,00 |
200,24 |
208,19 |
-0,012 |
1,019 |
94,8 |
Forte |
|
4,5 |
Esférico |
0,415 |
2,770 |
827,12 |
206,38 |
214,33 |
-0,006 |
1,061 |
87,0 |
Forte |
|
|
5,5 |
Esférico |
0,000 |
3,658 |
762,81 |
209,85 |
217,80 |
0,006 |
0,984 |
100,0 |
Forte |
|
|
16,4 |
3,5 |
Gaussiano |
0,000 |
4,649 |
376,10 |
111,05 |
115,76 |
0,037 |
1,241 |
100,0 |
Forte |
|
4,5 |
Exponencial |
0,000 |
2,522 |
199,55 |
97,96 |
102,67 |
-0,012 |
1,062 |
100,0 |
Forte |
|
|
5,5 |
Exponencial |
0,000 |
3,626 |
187,28 |
106,76 |
111,47 |
-0,014 |
1,089 |
100,0 |
Forte |
|
|
Altura média das árvores dominantes (HD) |
|||||||||||
|
4,9 |
3,5 |
Exponencial |
0,263 |
1,76 |
263,22 |
270,74 |
280,269 |
0,001 |
1,04 |
87,0 |
Forte |
|
4,5 |
Esférico |
0,635 |
1,29 |
1018,50 |
259,92 |
269,446 |
-0,003 |
1,02 |
67,0 |
Moderada |
|
|
5,5 |
Exponencial |
0,699 |
2,51 |
800,00 |
280,18 |
289,711 |
-0,004 |
1,03 |
78,2 |
Forte |
|
|
7,3 |
3,5 |
Esférico |
0,000 |
2,092 |
636,41 |
186,44 |
194,39 |
0,000 |
1,008 |
100,0 |
Forte |
|
4,5 |
Exponencial |
0,000 |
2,09 |
329,77 |
185,13 |
193,088 |
-0,007 |
0,99 |
100,0 |
Forte |
|
|
5,5 |
Esférico |
0,000 |
2,51 |
816,46 |
186,69 |
194,641 |
0,005 |
0,96 |
100,0 |
Forte |
|
|
16,4 |
3,5 |
Exponencial |
0,000 |
1,25 |
526,74 |
75,98 |
80,695 |
0,001 |
1,04 |
100,0 |
Forte |
|
4,5 |
Exponencial |
0,000 |
1,53 |
384,47 |
83,51 |
88,224 |
-0,029 |
1,09 |
100,0 |
Forte |
|
|
5,5 |
Esférico |
0,000 |
2,35 |
1292,49 |
88,68 |
93,393 |
-0,041 |
1,03 |
100,0 |
Forte |
|
|
Volume de madeira (V) |
|||||||||||
|
4,9 |
3,5 |
Esférico |
175,889 |
374,768 |
750,00 |
719,48 |
729,01 |
0,001 |
1,078 |
68,1 |
Moderada |
|
4,5 |
Esférico |
153,262 |
566,83 |
750,00 |
733,59 |
743,119 |
-0,004 |
1,05 |
78,7 |
Forte |
|
|
5,5 |
Esférico |
210,394 |
922,51 |
750,00 |
767,66 |
777,191 |
-0,006 |
1,06 |
81,4 |
Forte |
|
|
7,3 |
3,5 |
Esférico |
7,266 |
531,07 |
652,26 |
485,83 |
493,787 |
0,009 |
1,01 |
98,7 |
Forte |
|
4,5 |
Esférico |
90,495 |
755,33 |
750,00 |
509,57 |
517,529 |
0,001 |
1,04 |
89,3 |
Forte |
|
|
5,5 |
Esférico |
0,000 |
1252,41 |
721,45 |
527,15 |
535,108 |
0,008 |
0,99 |
100,0 |
Forte |
|
|
16,4 |
3,5 |
Esférico |
0,000 |
624,034 |
570,43 |
230,35 |
235,06 |
-0,012 |
1,200 |
100,0 |
Forte |
|
4,5 |
Exponencial |
0,000 |
767,65 |
175,94 |
235,35 |
240,063 |
-0,008 |
1,07 |
100,0 |
Forte |
|
|
5,5 |
Exponencial |
0,000 |
1229,88 |
288,20 |
245,56 |
250,269 |
-0,006 |
1,05 |
100,0 |
Forte |
|
Fonte: Autores (2020)
Em que: IA = Intensidade Amostral em hectares por unidade amostral; I = Idade em anos; C0 = Efeito Pepita; C = Contribuição; a = Alcance; AIC = Critério de Informação de Akaike; BIC = Critério de Informação Bayesiano; = Erro Médio Reduzido; Ser = Desvio Padrão dos Erros Reduzidos; IDE(%) = Índice de Dependência Espacial; DE = Classificação da Dependência Espacial.
Para todas as variáveis, foi observada uma redução do alcance com o aumento da idade e redução da intensidade amostral, implicando em estratos menores considerados homogêneos em idades mais avançadas. Guedes et al. (2015) também verificaram tendência de redução do alcance com o avanço da idade em povoamentos clonais de eucalipto. O processo de competição em povoamentos de eucalipto direcionados à produção de madeira para celulose pode ocorrer após idades entre 3 e 3,5 anos (idade juvenil), período que quase sempre corresponde ao máximo incremento corrente anual (RAIMUNDO et al., 2017). Como o avanço da idade do povoamento leva a intensificação da competição pelos recursos disponíveis, a estruturação espacial de variáveis dendrométricas em povoamentos de eucalipto pode ser afetada em idades avançadas (KANEGAE JUNIOR et al., 2007).
Em geral, a intensidade amostral e a idade, no intervalo de tempo avaliado, exerceram pouca influência na modelagem da estrutura de dependência espacial das variáveis. É interessante ressaltar que o povoamento se encontra em estágio de desenvolvimento, em que as micro variações do sítio podem ter mais influência na estrutura espacial das variáveis do que a idade do povoamento (GUEDES et al., 2015). A única exceção foi observada para a variável área basal, na intensidade amostral de uma unidade amostral para cada 16,4 hectares. Para essa intensidade amostral, a dependência espacial foi classificada como fraca, sendo que nas demais intensidades de amostragem, obteve-se forte dependência espacial.
Para a área basal, pode-se afirmar que a intensidade amostral teve maior impacto na caracterização da dependência espacial do que o aumento da idade. A distância média entre unidades amostrais na menor intensidade amostral (405 m; 16,4 ha) foi maior que o alcance médio da variável nas outras intensidades (330 m), refletindo em um número insuficiente de unidades amostrais que pudessem caracterizar a sua dependência espacial na área. O menor alcance médio da variável G, em relação às demais variáveis, pode ser resultado da forma como a variável é estimada. O valor de G calculado em cada unidade amostral é resultado da soma das áreas seccionais (gi) de todas as árvores da parcela, em que seu valor é influenciado diretamente pelo número de árvores presentes (SCOLFORO, 2006). Dessa forma, as falhas decorrentes da mortalidade de plantas podem aumentar as variações aleatórias dentro das unidades amostrais, e consequente redução da dependência espacial da variável, pela oscilação abrupta entre os valores de unidades amostrais vizinhas.
Como o DAP e HT apresentaram forte dependência espacial e foram variáveis preditoras do volume de madeira, esse mesmo fator pode não ter influenciado significativamente na modelagem espacial da variável volume, calculada do mesmo modo que a variável G (somatório dos valores individuais de cada árvore na unidade amostral). As outras variáveis analisadas tiveram seus valores representados por uma média aritmética, reduzindo assim o efeito dos valores discrepantes dentro da unidade amostral, contribuindo para continuidade espacial entre as suas unidades amostrais.
Com exceção da área basal, as demais variáveis indicaram que a intensidade amostral de uma unidade amostral em 16,4 hectares foi suficiente para descrever a forte dependência espacial de referência (uma unidade amostral em 4,9 hectares), nas três idades avaliadas. Isso porque a área de estudo garante, mesmo na menor intensidade amostral avaliada, uma quantidade mínima de pontos para construir o semivariograma e captar o aumento da semivariância, em função da distância e direção. Com isso, a estrutura de dependência espacial em povoamentos clonais de eucalipto, nas condições do presente estudo, pode ser modelável em intensidades amostrais que variaram de 4,9 a 16,4 hectares por unidade amostral.
A classe de dependência espacial permaneceu constante para as variáveis diâmetro a 1,30 m do solo, altura total, altura média das árvores dominantes e volume de madeira, mesmo com o crescimento do povoamento, demonstrando que a continuidade espacial dessas variáveis não foi afetada pela idade. Guedes et al. (2015) observaram que a competição em povoamentos de eucalipto não foi suficientemente forte para afetar a estrutura de dependência espacial, em medições anuais realizadas entre 2,7 e 6,8 anos de idade. No entanto, a manutenção da estruturação espacial depende de uma gama de fatores, como por exemplo a idade avaliada, a qualidade do sítio em que estas florestas se estabelecem (KANEGAE JUNIOR et al., 2007).
A intensidade amostral comumente adotada em inventários florestais contínuos é de uma unidade amostral em cada 10 hectares, em plantios de eucalipto (GUEDES et al., 2015). Dessa forma, os resultados obtidos em todas as idades e variáveis deste estudo sugerem que reduzir em 39% a intensidade amostral, em relação ao que é normalmente realizado, possibilita estimativas espaciais confiáveis, reduzindo assim os custos do inventário florestal, mas mantendo os níveis de precisão e exatidão desejados na espacialização das variáveis.
A partir da dependência espacial detectada nos modelos de melhor desempenho, foi possível aplicar a krigagem ordinária para estimar e espacializar as variáveis nos locais não amostrados dos povoamentos, nas diferentes intensidades amostrais e idades de avaliação (Figuras 2 a 6).
Figura 2 – Espacialização do diâmetro a 1,30 m do solo (DAP) em povoamento de eucalipto por meio da krigagem ordinária no processo de amostragem casual simples, variando as intensidades amostrais em 4,9; 7,3 e 16,4 hectares por unidade amostral nas idades de 3,5; 4,5 e 5,5 anos
Figure 2 – Interpolation of the diameter at 1.30 m of the soil (DBH) in eucalyptus stand by ordinary kriging in the simple casual sampling process, varying the sample intensities by 4.9; 7.3 and 16.4 hectares per sampling unit at the ages of 3.5; 4.5 and 5.5 years
Fonte: Autores (2020)
Figura 3 – Espacialização da área basal (G) em povoamento de eucalipto por meio da krigagem ordinária no processo de amostragem casual simples, variando as intensidades amostrais em 4,9; 7,3 e 16,4 hectares por unidade amostral nas idades de 3,5; 4,5 e 5,5 anos
Figure 3 – Interpolation of the basal area (G) in eucalyptus stand by ordinary kriging in the simple casual sampling process, varying the sample intensities by 4.9; 7.3 and 16.4 hectares per sampling unit at the ages of 3.5; 4.5 and 5.5 years
Fonte: Autores (2020)
Figura 4 – Espacialização da altura total (HT) em povoamento de eucalipto por meio da krigagem ordinária no processo de amostragem casual simples, variando as intensidades amostrais em 4,9; 7,3 e 16,4 hectares por unidade amostral nas idades de 3,5; 4,5 e 5,5 anos
Figure 4 – Interpolation of total height (HT) in eucalyptus stand by ordinary kriging in the simple casual sampling process, varying the sample intensities by 4.9; 7.3 and 16.4 hectares per sampling unit at the ages of 3.5; 4.5 and 5.5 years
Fonte: Autores (2020)
Figura 5 – Espacialização da altura média das árvores dominantes (HD) em povoamento de eucalipto por meio da krigagem ordinária no processo de amostragem casual simples, variando as intensidades amostrais em 4,9; 7,3 e 16,4 hectares por unidade amostral nas idades de 3,5; 4,5 e 5,5 anos
Figure 5 – Interpolation of the mean height of dominant trees (HD) in eucalyptus stand by ordinary kriging in the simple casual sampling process, varying the sample intensities by 4.9; 7.3 and 16.4 hectares per sampling unit at the ages of 3.5; 4.5 and 5.5 years
Fonte: Autores (2020)
Figura 6 – Espacialização do volume de madeira (V) em povoamento de eucalipto por meio da krigagem ordinária no processo de amostragem casual simples, variando as intensidades amostrais em 4,9; 7,3 e 16,4 hectares por unidade amostral nas idades de 3,5; 4,5 e 5,5 anos
Figure 6 – Interpolation of the volume of wood (V) in eucalyptus stand by ordinary kriging in the simple casual sampling process, varying the sample intensities by 4.9; 7.3 and 16.4 hectares per sampling unit at the ages of 3.5; 4.5 and 5.5 years
Fonte: Autores (2020)
Os mapas ilustraram um aumento progressivo dos valores médios obtidos para cada variável dendrométrica (cores mais frias para mais quentes), relacionado principalmente com o crescimento do povoamento. Além disso, houve tendência na manutenção da área dos estratos homogêneos, corroborando a estabilidade da dependência espacial das variáveis estudadas ao longo do tempo. A intensidade amostral de uma unidade de amostra para cada 16,4 hectares, exceto para a variável área basal, apresentou as mesmas tendências de crescimento encontradas nas intensidades de uma unidade de amostra para cada 4,9 e 7,3 hectares. A diferença foi notada na escala de detalhamento dos estratos, em que as intensidades amostrais maiores proporcionaram estratos mais detalhados.
A variável área basal foi a que demonstrou maior diferença dos estratos em relação aqueles obtidos para as intensidades amostrais maiores, em todas as idades. A variável volume e altura média das árvores dominantes foram aquelas que demonstraram melhor definição dos estratos, independentemente da idade e intensidade amostral avaliada. Esse resultado é de elevada importância, pois indica o potencial de uso da análise geoestatística no acompanhamento do incremento em volume de madeira em pé e, ainda, na classificação da capacidade produtiva e em modelos de crescimento e produção.
4 CONCLUSÃO
A dependência espacial das variáveis diâmetro a 1,30 m do solo, área basal, altura total, altura média das árvores dominantes e volume de madeira é predominantemente forte ao longo do crescimento do povoamento, evidenciando que a idade tem pouca influência na continuidade espacial dessas variáveis. O índice de dependência espacial apresentou variações entre as classes moderada e forte, nas diferentes idades, apenas na intensidade amostral de 4,9 hectares por unidade de amostra.
A redução do número de unidades amostrais interferiu na dependência espacial da variável área basal, indicando que a intensidade de 16,4 hectares por unidade de amostra não foi suficiente para detectar a continuidade espacial dessa variável.
A dependência espacial das variáveis diâmetro a 1,30 m do solo, altura total, altura média das árvores dominantes e volume de madeira não foi influenciada pela intensidade amostral, demonstrando que com a intensidade de 16,4 hectares por unidade de amostra (24 unidades amostrais nas condições deste estudo), é possível detectar a continuidade espacial destas variáveis e obter estimativas espaciais acuradas aplicando a krigagem ordinária.
REFERÊNCIAS
ALVARENGA, L. H. V. et al. Desempenho da estratificação em um fragmento de cerrado stricto sensu utilizando interpolador geoestatístico. Cerne, Lavras, v. 18, n. 4, p. 675-681, out./dez. 2012.
ALVARES, C. A. et al. Koppen’s climate classification map for Brazil. Meteorologische Zeitschrift, Stuttgart, v. 22, n. 6, p. 711-728, jan. 2014.
ARAÚJO, E. J. G. et al. Allometric models to biomass in restoration areas in the Atlantic rain forest. Floresta e Ambiente, Seropédica, v. 25, n. 1, p. 1-13, maio 2018.
ATAÍDE, D. H. S. et al. Métodos geoestatísticos e determinísticos na espacialização da altura dominante em povoamento de eucalipto. Revista de Ciências Agrárias, Lisboa, v. 43, n. 1, p. 98-108, 2020.
GOERGEN, L. C. G. et al. Geostatistical behavior of dendrometric variables of Eucalyptus benthamii for forest management purpose. Scientia Forestalis, Piracicaba, v. 48, n. 127, p. 1-12, 2020.
GUEDES, I. C. L. et al. Continuidade espacial de características dendrométricas em povoamentos clonais de Eucalyptus sp. avaliada ao longo do tempo. Cerne, Lavras, v. 21, n. 4, p. 527-534, set. 2015.
GUEDES, I. C. L. et al. Técnicas geoestatísticas e interpoladores espaciais na estratificação de povoamentos de Eucalyptus sp. Ciência Florestal, Santa Maria, v. 22, n. 3, p. 541-550, set. 2012.
KANEGAE JUNIOR, H. et al. Avaliação da continuidade espacial de características dendrométricas em diferentes idades de povoamentos clonais de Eucalyptus sp. Revista Árvore, Viçosa, MG, v. 31, n. 5, p. 859-866, mar. 2007.
LUNDGREN, W. J. C.; SILVA, J. A. A.; FERREIRA, R. L. C. Influência do tipo de amostragem na estimativa de volume de madeira de eucalipto por krigagem. Floresta e Ambiente, Seropédica, v. 23, n. 4, p. 511-523, 2016.
MELLO, J. M. et al. Continuidade espacial para características dendrométricas (número de fustes e volume) em plantios de Eucalyptus grandis. Revista Árvore, Viçosa, MG, v. 33, n. 1, p. 185-194, jan. 2009.
MONTE, M. A. et al. Crescimento de um clone de eucalipto submetido a desrama e desbaste. Revista Árvore, Viçosa, MG, v. 33, n. 5, p. 777-787, jun. 2009.
OLIVEIRA, I. M. S. et al. Remote sensing and geostatistics applied to post-stratification of Eucalyptus stands. Floresta e Ambiente, Seropédica, v. ٢٥, n. ٣, e٢٠١٦٠٥٨٦, ٢٠١٨.
PELISSARI, A. L. et al. Geoestatística aplicada ao manejo de povoamentos florestais de teca, em períodos pré-desbaste seletivo, no estado do Mato Grosso. Revista Brasileira de Biometria, Lavras, v. 32, n. 3, p. 430-444, 2014.
PELISSARI, A. L. et al. Propostas de mapeamentos da capacidade produtiva de sítios florestais por meio de análises geoestatísticas. Scientia Forestalis, Piracicaba, v. 43, n. 107, p. 601-608, set. 2015.
PEREIRA, J. C. et al. Modelo de crescimento e produção de Clutter adicionado de uma variável latente para predição do volume em um plantio de Eucalyptus urograndis com variáveis correlacionadas espacialmente. Scientia Forestalis, Piracicaba, v. 44, n. 110, p. 393-403, jun. 2016.
RAIMUNDO, M. R. et al. Geoestatistics applied to growth estimates in continuos forest inventories. Forest Science, Bethesda, v. 63, n. 1, p. 29-38, fev. 2017.
R CORE TEAM. R: a language and environment for statistical computing.Vienna: R Foundation for Statistical Computing, 2015.
SANTOS, M. C. et al. Inventário florestal utilizando técnicas de silvicultura de precisão em povoamentos de Eucalyptus grandis Hill ex Maiden. Floresta e Ambiente, Seropédica, v. 24, e00082714, 2017.
SCOLFORO, J. R. S. Biometria florestal: modelos de crescimento e produção florestal. Lavras: UFLA; FAEPE, 2006. 393 p.
YAMAMOTO, J. K.; LANDIM, P. M. B. Geoestatística: conceitos e aplicações. 1. ed. São Paulo: Oficina de Textos, 2013. 215 p.
ZECH, D. F. et al. Uso de interpoladores espaciais na estratificação estatística de Pinus taeda. Scientia Forestalis, Piracicaba, v. 46, n. 117, mar. 2018.
Contribuições de Autoria
1 – Danilo Henrique dos Santos Ataíde
Contribuição: Investigação, Conceituação, Análise Formal, Metodologia, Visualização de dados, Escrita – primeira redação, Escrita – revisão e edição
2 – Emanuel José Gomes de Araújo
Contribuição: Recursos, Investigação, Conceituação, Análise Formal, Metodologia, Visualização de dados, Supervisão, Escrita – revisão e edição
3 – Marco Antonio Monte
Contribuição: Recursos, Supervisão, Visualização de dados, Escrita – revisão e edição
4 – Rafaella De Angeli Curto
Contribuição: Supervisão, Visualização de dados, Escrita – revisão e edição
5 – Bruno Araujo Furtado de Mendonça
Contribuição: Recursos, Visualização de dados, Escrita – revisão e edição
6 – Vinícius Augusto Morais
Contribuição: Visualização de dados, Escrita – revisão e edição