Universidade Federal de Santa Maria
Ci. Fl., Santa Maria, v. 31, n. 3, jul./set., 2021
DOI: 10.5902/1980509836234
ISSN 1980-5098
Submissão: 03/01/2019 • Aprovação: 12/01/2021 • Publicação: 06/09/2021
Artigos
Estrutura da comunidade arbórea e efeito de borda em Florestas Estacionais Semideciduais
Structure of the arboreal community and edge effect in Semidecidual Seasonal Forests
Vanuza Pereira Garcia da SilvaI
Gabriel Venâncio Pereira MarianoII
Ana Flávia Costa SantosIII
Lilian Cristina da Silva SantosIV
João Paulo CostaV
Ana Carolina Ribeiro VazVI
Vagner Santiago do ValeVII
Ednaldo Cândido RochaVIII
I Engenheira Florestal, Universidade Estadual de Goiás, Ipameri, GO, Brasil
https://orcid.org/0000-0001-8003-681X – garciavp@outlook.com
II Engenheiro Florestal, Universidade Estadual de Goiás, Ipameri, GO, Brasil
https://orcid.org/0000-0002-2418-951X – gabrielvenancio_@outlook.com
III Engenheira Florestal, Mestranda em Ciências Florestais, Universidade Estadual do Sudoeste da Bahia, Vitória da Conquista, BA, Brasil
https://orcid.org/0000-0002-1010-348X – csanaflavia@outlook.com
IV Bióloga, Mestre em Produção Vegetal, Universidade Estadual de Goiás, Ipameri, GO, Brasil
https://orcid.org/0000-0002-6827-2438 – lilianCristina_2011@hotmail.com
V Biólogo, Doutorando em Ecologia e Conservação de Recursos Naturais, Universidade Federal de Uberlândia, Uberlândia, MG, Brasil
https://orcid.org/0000-0001-5271-8231 – joaopaulo_mc@hotmail.com
VI Engenheira Florestal, Universidade Estadual de Goiás, Ipameri, GO, Brasil
https://orcid.org/0000-0002-8156-9455 – anavazuegflorestal@gmail.com
VII Biólogo, Dr., Professor, Universidade Estadual de Goiás, Ipameri, GO, Brasil
https://orcid.org/0000-0003-2155-9156 – vsvale@hotmail.com
VIII Biólogo, Dr., Professor, Universidade Estadual de Goiás, Ipameri, GO, Brasil
https://orcid.org/0000-0002-2554-777X – ednaldo.rocha@ueg.br
RESUMO
Efeito de borda são modificações ambientais que, por sua vez, alteram a estrutura e a composição da vegetação marginal em uma floresta. Assim, o objetivo deste estudo foi verificar o comprimento, em metros, da faixa exposta ao efeito de borda em dois fragmentos de Floresta Estacional Semidecidual. O trabalho foi executado em duas áreas distintas. Em ambas as áreas foram plotadas 30 parcelas de 10 x 10 m, demarcadas a partir da borda florestal, dispostas em três transectos, nos quais foram amostrados e identificados todos os indivíduos com circunferência a 1,30 m de altura e diâmetro ≥ 15 cm. Para a avaliação da abrangência florística do método e suficiência amostral, foi elaborada a curva espécie-área, baseada na distância em relação à borda e calculada a regressão que melhor se ajustou à curva. Em seguida, dois dendrogramas de similaridade foram elaborados, baseados na presença/ausência das espécies em cada parcela e no número de indivíduos por parcela. No total, foram amostrados 955 indivíduos arbóreos. A curva espécie-área de um dos locais de estudo estabilizou a partir dos 40 m, indicando que nesta faixa não houve aparecimento de novas espécies. No entanto, a curva retomou aumento a partir de 50 m. Na outra área, a estabilização na riqueza das parcelas ocorreu a 60 m da borda, com aumento no surgimento de novas espécies a 70 m. Em uma das áreas avaliadas, o efeito de borda atingiu 30 m em direção ao interior da floresta, enquanto na segunda área avaliada, esta distância foi de 70 m.
Palavras-chave: Curva espécie-área; Dendrograma de similaridades; Fitossociologia
ABSTRACT
Edge effects are environmental settings that, in turn, alter the structure and composition of marginal vegetation in a forest. Thus, the objective of this study was to verify the length, in meters, in the strip exposed to the edge effect in two fragments of the Seasonal Semideciduous Forest. The report was carried out in two different areas. In such areas, 30 plots of 10 x 10 m were plotted, demarcated from the floral border, arranged in three transects, where all individuals with a circumference at 1.30 m in height and diameter ≥ 15 cm were sampled and cut. For an evaluation of the floristic scope of the method and the sampling sufficiency, a curve of specific area was elaborated, based on the distance in relation to the border and the regression that best fits the curve was calculated. Then, two similarity dendrograms were prepared, based on the presence/absence of species in each plot and the number of plots per plot. In total, 955 tree isolates were sampled. An area curve of one of the study sites stabilized after 40 m shows that there were no new species in this range. However, a curve resumed an increase from 50 m. In another area, the richness stabilization of the plots occurred at 60 m from the edge, with an increase in new species at 70 m. In one of the evaluated areas, the edge effect reached 30 m towards the interior of the forest, while in the second evaluated area, the distance was 70 m.
Keywords: Species-area curve; Dendrogram of similarity; Phytosociology
1 INTRODUÇÃO
O processo de fragmentação está entre os fatores responsáveis pela redução da biodiversidade (SEOANE et al., 2010). Fragmentos são áreas de vegetação contínua que se transformam em pequenos remanescentes florestais, isolados um dos outros e com grandes alterações na paisagem, podendo reduzir-se a um habitat de borda (HADDAD et al., 2015).
As interações dos processos ecológicos nos fragmentos estão ligadas diretamente à distância das perturbações ocorridas desde a borda para o interior da floresta (BLUMENFELD et al., 2016). Conforme esse efeito avança para o interior do fragmento, é possível prever o quanto de área conservada existe no interior ou área núcleo, que é a área que não sofre o efeito de borda (MAGNAGO et al., 2016). Dessa forma, pode-se supor que quanto mais irregular e menor for o fragmento, maior será a área de contato com a matriz, e maior o efeito de borda.
As mudanças estruturais da vegetação, distribuição, riqueza, abundância e diversidade, são comumente alteradas pelo efeito de borda (OLIVEIRA et al., 2013). A caracterização da vegetação próxima da borda é de exemplares de menor porte, o que permite uma maior penetração da luz, vertical e horizontal, e também de água da chuva no solo, devido ao menor volume foliar, estimulando a germinação e crescimento de espécies, sendo estas geralmente pioneiras (PSCHEIDT et al., 2018). A disponibilidade de luz tende a diminuir a intensidade à medida que se aproxima do interior do fragmento e, consequentemente, há uma redução na exposição das plantas menores à luz, o que interfere no seu crescimento (RIGUEIRA et al., 2012).
Outro efeito de borda é a presença de lianas, ou trepadeiras. Essas espécies se beneficiam da baixa umidade presente perto da borda de fragmentos florestais, desenvolvendo-se com mais rapidez nestas condições, tornando-se fortes competidoras com as árvores presentes próximas da borda, interferindo no crescimento e desenvolvimento de frutos (ALMEIDA; VIANI; BRANCALION, 2017). Devido ao seu desenvolvimento estar sob a copa das árvores, essa ação resulta na quebra dos ramos, configurando estresse ao indivíduo arbóreo e prejudicando sua permanência (ABDO; VALERI; FERRAUDO, 2015).
As interações dos processos ecológicos nos fragmentos estão ligadas diretamente à distância das perturbações ocorridas desde a borda para o interior da floresta (LAURANCE et al., 2002). Essas perturbações podem atingir centenas de metros para dentro da floresta (LAURANCE et al., 2011), sendo que os primeiros 30 m são os que mais sofrem os impactos (RIGUEIRA et al., 2012). Conforme o efeito avança para o interior do fragmento, é possível prever o quanto de área conservada, área que não sofre com o efeito, existe no interior ou área núcleo (LAGOS, 2017). Supõe-se, portanto, que, quanto mais irregular e menor for o fragmento, maior será a área de contato com a matriz, e maior o efeito de borda.
No Cerrado ocorrem as florestas estacionais semideciduais (FES), formação florestal considerada remanescente de Mata Atlântica em ambientes sazonais (COSTA; GUASSELLI, 2017). Os remanescentes de florestas estacionais existentes em Goiás aparecem frequentemente fragmentadas e distantes na paisagem dominada por pastagens e agricultura (PEREIRA; VENTUROLI; CARVALHO, 2011) e devem estar sob ação do efeito de borda. Dessa maneira, o objetivo deste estudo foi verificar em até quantos metros adentro da floresta, o efeito de borda afeta a vegetação arbórea para dois fragmentos de FES.
2 MATERIAIS E MÉTODOS
O estudo foi realizado em duas áreas distintas de Floresta Estacional Semidecidual. A primeira área (A1) era um fragmento de 53 hectares de área total, localizado em propriedade rural no município de Ipameri-Goiás (coordenadas 17°40’10” Sul e 48°02’13” Oeste). A segunda área (A2), com tamanho total de 15 hectares, corresponde à área de vegetação nativa da fazenda da Universidade Estadual de Goiás, também em Ipameri-GO (coordenadas 17°42’ 44” Sul e de 48°08’ 22” Oeste). A distância entre os fragmentos era de 10,87 km. As imagens aéreas dos dois remanescentes estão na Figura 1.
Figura 1 – Visão aérea e posição das parcelas nos fragmentos analisados
Figure 1 – Satellite view of the analyzed semideciduous forest fragments
|
|
|
|
Fonte: Autores (2018)
Em ambos os estudos, foram amostrados 3 transectos com 10 parcelas contíguas permanentes de 10x10 m cada, demarcadas a partir da borda florestal (Figura 1) com estacas de ferro e fita barbante, totalizando 0,3 ha amostrados por área. A distância entre cada transecto foi de, no mínimo, 50 metros, medidos a partir da linha de referência, na parte externa do fragmento.
A pluviosidade média anual da região é de 1.531 mm, distribuída irregularmente, com verão quente e chuvoso de outubro a março e médias de 219 mm mensais, e inverno seco de abril a setembro com médias de 36 mm mensais. A temperatura média anual varia entre 20.2°C, no inverno, e 22.9°C no verão (ALVARES et al., 2014). Segundo a classificação de Köppen, essas características climáticas se enquadram no tipo tropical quente e úmido (Aw). O solo da região é classificado como Latossolo Vermelho-amarelo com textura argilosa, segundo o Sistema de Classificação de Solos (SANTOS et al., 2018).
Em cada parcela foram registrados, amostrados e identificados com placa de alumínio enumerada, todos os indivíduos arbóreos vivos com circunferência a altura do peito, 1,30 m (CAP) ≥ 15 cm. A altura foi estimada com auxílio de um podão de coleta de 14 m. Todos os indivíduos foram classificados em espécies e famílias de acordo com o sistema do Angiosperm Phylogeny Group IV (CHASE et al., 2016). A identificação das espécies foi realizada diretamente em campo ou com coleta de material botânico e confecção de exsicatas para identificação por outros especialistas.
Para a avaliação da abrangência florística do método e suficiência amostral, foi elaborada a curva espécie-área (SCHILLING; BATISTA; COUTO, 2012), baseada na distância em relação à borda e calculada a regressão que melhor se ajustou à curva. Também foram calculadas a suficiência amostral de área basal e a quantidade de indivíduos para as duas áreas. Neste trabalho, para se validar os dados obtidos quanto à suficiência amostral, o erro de amostragem admissível (E%) foi ≤ 20%.
Os parâmetros fitossociológicos analisados foram: densidade relativa (DeR), dominância relativa (DoR) e frequência relativa (FrR), que são utilizados na composição do valor de importância (VI) para espécies. Foram calculados os índices de Shannon-Weaver (H’), que leva em consideração a riqueza das espécies e sua abundância relativa (LIMA; SOUZA; PEDERASSI, 2016), e equitabilidade de Pielou (J’). Os indivíduos sem identificação botânica foram retirados dessas análises para não sobrevalorizar os índices. Este último é um índice de uniformidade que se refere ao padrão de distribuição dos indivíduos entre as espécies (BIONDI; BOBROWSKI, 2014).
As parcelas foram unidas baseando-se em suas distâncias com relação à borda, e, em seguida, foram elaborados dois dendrogramas de similaridade, o primeiro baseado na presença/ausência das espécies em cada parcela (Coeficiente de Sørensen) e o segundo baseado no número de indivíduos por parcela (Índice de Bray & Curtis), utilizando o software PAST 3 (HAMMER, 2019).
Para averiguar se fatores abióticos exerciam interferências na borda ou no interior da floresta, foram aferidos os valores de umidade do ar (%), temperatura (°C), velocidade do vento (km/h) e a intensidade da luz (lux) nas épocas chuvosa (fevereiro/2019) e seca (setembro/2019). As análises foram realizadas somente na área 2 (A2) e as medições foram realizadas em três horários, com intervalos de 3 horas. O primeiro horário de medição era às 10 h, depois às 13 h e a última medição era realizada às 16 h. Nas parcelas plotadas em A2, eram selecionados no horário das medições três pontos casuais para que as variáveis fossem medidas. Foram adotadas distâncias de 5, 15, 25, 35, 45, 55, 65, 75, 85 e 95 m da borda. Com os dados obtidos, foram calculadas as regressões com as variáveis medidas em relação à distância da borda.
3 RESULTADOS E DISCUSSÃO
Em A1, foram amostrados 504 indivíduos (1.713 ind/ha), distribuídos em 35 famílias e 68 espécies, sendo que 22 indivíduos não foram identificados por estarem sem folha, ultrapassarem a altura da tesoura aérea de poda e/ou não ser possível a coleta botânica. A maioria das espécies encontradas foi classificada como secundárias iniciais (27 espécies) e pioneiras (23), totalizando 81,96% do valor total. Os índices de diversidade de Shannon (H’) e de equitabilidade de Pielou (J) foram 3,58 e 0,85, respectivamente.
A área basal total amostrada foi de 7,02m² (23,41m²/ha) e as espécies que apresentaram maior densidade foram: Myracrodruon urundeuva (9,33%); Myrsine gardneriana (7,34%); Cordiera sessilis (6,94%); Sclerolobium paniculatum (4,37%); Qualea grandiflora (4,37%), Terminalia glabrescens. (4,17%) e Pera glabrata (3,77%). Essas sete espécies foram responsáveis por 32% da densidade total das da amostra, sendo um pequeno número de espécies responsáveis por maior parte da densidade da floresta (Tabela 1). Outras 48 espécies obtiveram até 5 indivíduos, apresentando as menores densidades, sendo 25 dessas espécies com apenas 1 indivíduos amostrado (Tabela 1).
Tabela 1 – Lista florística e parâmetros fitossociológicos de espécies identificadas em um fragmento de floresta estacional semidecidual, denominado Área 1 (A1), em propriedade rural no município de Ipameri-GO
Table 1 – Floristic list and phytosociological parameters of species identified in a semideciduous seasonal forest fragment, denominated Zone 1 (A1), in rural property in the municipality of Ipameri, GO state
|
Espécies |
N. Ind. |
DeR |
DoR |
FrR |
IVI% |
GS |
|
Myracrodruon urundeuva Allemão |
47 |
9,33 |
10,60 |
5,25 |
8,39 |
ST |
|
Myrsine gardneriana A. DC. |
37 |
7,34 |
7,18 |
5,57 |
6,70 |
P |
|
Sclerolobium paniculatum Vogel |
22 |
4,37 |
7,69 |
4,55 |
5,53 |
P |
|
Licania apetala (E. Mey.) Fritsch |
28 |
5,56 |
6,24 |
4,22 |
5,34 |
SI |
|
Pera glabrata (Schott) Poepp. ex Baill. |
19 |
3,77 |
7,45 |
2,60 |
4,61 |
P |
|
Cordiera sessilis (Vell.) Kuntze |
34 |
6,75 |
2,05 |
4,87 |
4,56 |
SI |
|
Não identificadas |
22 |
4,37 |
3,34 |
4,22 |
3,97 |
- |
|
Qualea grandiflora Mart. |
22 |
4,37 |
2,58 |
4,87 |
3,94 |
ST |
|
Anadenanthera peregrina (L.) Speg. |
14 |
2,78 |
4,90 |
3,57 |
3,75 |
SI |
|
Emmotum nitens (Benth.) Miers |
16 |
3,17 |
3,49 |
3,57 |
3,41 |
ST |
|
Terminalia glabrescens Mart. |
20 |
3,97 |
1,98 |
3,90 |
3,28 |
SI |
|
Xylopia aromatica (Lam.) Mart. |
15 |
2,98 |
2,26 |
4,55 |
3,26 |
P |
|
Diospyros brasiliensis Mart. ex Miq. |
17 |
3,37 |
2,36 |
2,92 |
2,89 |
SI |
|
Aspidosperma discolor A. DC. |
16 |
3,17 |
2,23 |
1,95 |
2,45 |
ST |
|
Magonia pubescens A. St.-Hil. |
12 |
2,38 |
1,85 |
2,27 |
2,17 |
SI |
|
Terminalia argentea Mart. & Zucc. |
9 |
1,79 |
2,41 |
2,27 |
2,15 |
SI |
|
Tapirira guianensis Aubl. |
12 |
2,38 |
1,38 |
2,60 |
2,12 |
SI |
|
Siparuna guianensis Aubl. |
13 |
2,58 |
0,67 |
2,92 |
2,06 |
SI |
|
Tapirira obtusa (Benth.) J. D. Mitch. |
12 |
2,38 |
2,13 |
1,30 |
1,94 |
SI |
|
Lamanonia ternate Vell. |
1 |
0,20 |
4,98 |
0,32 |
1,83 |
SI |
|
Myrcia splendens (Sw.) DC. |
10 |
1,98 |
0,52 |
2,60 |
1,70 |
P |
|
Coccoloba mollis Casar. |
6 |
1,19 |
1,82 |
1,30 |
1,44 |
SI |
|
Qualea parviflora Mart. |
2 |
0,40 |
2,94 |
0,65 |
1,33 |
ST |
|
Virola sebifera Aubl. |
6 |
1,19 |
0,68 |
1,95 |
1,27 |
P |
|
Rhamnidium elaeocarpum Reissek |
6 |
1,19 |
0,45 |
1,62 |
1,09 |
P |
|
Platypodium elegans Vogel |
4 |
0,79 |
0,87 |
1,30 |
0,99 |
SI |
|
Luehea grandiflora Mart. |
4 |
0,79 |
0,73 |
0,97 |
0,83 |
P |
|
Machaerium opacum Vogel |
3 |
0,60 |
0,93 |
0,97 |
0,83 |
P |
|
Guettarda viburnoides Cham. & Schltdl. |
4 |
0,79 |
0,64 |
0,97 |
0,80 |
SI |
|
Chrysophyllum gonocarpum (Mart. & Eichler ex Miq.) Engl. |
3 |
0,60 |
0,70 |
0,97 |
0,76 |
ST |
|
Aspidosperma subincanum Mart. ex A. DC. |
5 |
0,99 |
0,49 |
0,65 |
0,71 |
SI |
|
Dimorphandra mollis Benth. |
3 |
0,60 |
0,53 |
0,97 |
0,70 |
P |
|
Curatella americana L. |
3 |
0,60 |
0,50 |
0,97 |
0,69 |
P |
|
Roupala montana Aubl. |
3 |
0,60 |
0,50 |
0,97 |
0,69 |
ST |
|
Diospyros hispida A. DC. |
4 |
0,79 |
0,52 |
0,65 |
0,66 |
SI |
|
Sclerolobium aureum (Tul.) Baill. |
3 |
0,60 |
0,56 |
0,65 |
0,60 |
P |
|
Alibertia sessilis (Vell.) K. Schum. |
3 |
0,60 |
0,21 |
0,97 |
0,59 |
SI |
|
Maytenus floribunda Reissek |
2 |
0,40 |
0,71 |
0,65 |
0,59 |
ST |
|
Cecropia pachystachya Trécul |
2 |
0,40 |
0,62 |
0,65 |
0,56 |
P |
|
Pseudobombax tomentosum (Mart.) Robyns |
2 |
0,40 |
0,51 |
0,65 |
0,52 |
SI |
|
Astronium fraxinifolium Schott |
1 |
0,20 |
0,98 |
0,32 |
0,50 |
SI |
|
Styrax ferrugineus Nees & Mart. |
2 |
0,40 |
0,53 |
0,32 |
0,42 |
SI |
|
Cheiloclinium cognatum (Miers) A.C. Sm. |
2 |
0,40 |
0,19 |
0,65 |
0,41 |
SI |
|
Chrysophyllum splendens Spreng. |
2 |
0,40 |
0,17 |
0,65 |
0,40 |
ST |
|
Matayba guianensis Aubl. |
2 |
0,40 |
0,16 |
0,65 |
0,40 |
SI |
|
Alibertia edulis (Rich.) A. Rich. |
2 |
0,40 |
0,07 |
0,65 |
0,37 |
P |
|
Hymenaea stigonocarpa Mart. ex Hayne |
2 |
0,40 |
0,32 |
0,32 |
0,35 |
ST |
|
Ixora brevifolia Hiern |
3 |
0,60 |
0,12 |
0,32 |
0,35 |
ST |
|
Bowdichia virgilioides Kunth |
1 |
0,20 |
0,34 |
0,32 |
0,29 |
P |
|
Symplocos nitens (Pohl) Benth. |
2 |
0,40 |
0,14 |
0,32 |
0,29 |
SI |
|
Hirtella glandulosa Spreng. |
1 |
0,20 |
0,27 |
0,32 |
0,27 |
SI |
|
Dilodendron bipinnatum Radlk. |
1 |
0,20 |
0,20 |
0,32 |
0,24 |
P |
|
Agonandra brasiliensis Miers ex Benth. & Hook. f. |
1 |
0,20 |
0,16 |
0,32 |
0,23 |
ST |
|
Eugenia myrcianthes Nied. |
1 |
0,20 |
0,15 |
0,32 |
0,22 |
ST |
|
Guazuma ulmifolia Lam. |
1 |
0,20 |
0,12 |
0,32 |
0,21 |
P |
|
Kielmeyera coriacea Mart. & Zucc. |
1 |
0,20 |
0,12 |
0,32 |
0,21 |
P |
|
Annona crassiflora Mart. |
1 |
0,20 |
0,07 |
0,32 |
0,20 |
P |
|
Aspidosperma cuspa (Kunth) S.F. Blake ex Pittier |
1 |
0,20 |
0,08 |
0,32 |
0,20 |
SI |
|
Diospyros burchellii Hiern |
1 |
0,20 |
0,06 |
0,32 |
0,20 |
P |
|
Erythroxylum daphnites Mart. |
1 |
0,20 |
0,07 |
0,32 |
0,20 |
ST |
|
Inga cylindrical (Vell.) Mart. |
1 |
0,20 |
0,08 |
0,32 |
0,20 |
C |
|
Physocalymma scaberrimum Pohl |
1 |
0,20 |
0,07 |
0,32 |
0,20 |
P |
|
Rudgea viburnoides (Cham.) Benth. |
1 |
0,20 |
0,07 |
0,32 |
0,20 |
SI |
|
Schefflera morototoni (Aubl.) Maguire, Steyerm. & Frodin |
1 |
0,20 |
0,08 |
0,32 |
0,20 |
P |
|
Tabebuia roseoalba (Ridl.) Sandwith |
1 |
0,20 |
0,08 |
0,32 |
0,20 |
P |
|
Byrsonima pachyphylla A. Juss. |
1 |
0,20 |
0,05 |
0,32 |
0,19 |
P |
|
Eugenia dysenterica DC. |
1 |
0,20 |
0,04 |
0,32 |
0,19 |
P |
|
Ocotea corymbosa (Meisn.) Mez |
1 |
0,20 |
0,05 |
0,32 |
0,19 |
ST |
|
Cupania vernalis Cambess. |
1 |
0,20 |
0,03 |
0,32 |
0,18 |
SI |
Fonte: Autores (2018)
Em que: N. Ind = número de indivíduos, DeR = densidade relativa, DoR = dominância relativa, FrR = frequência relativa, IVI% = índice de valor de importância, GS = grupo sucessional.
As espécies que apresentaram maiores valores de importância (VI%) foram: Myracrodruon urundeuva (8,87%); Myrsine gardneriana (6,83%); Sclerolobium paniculatum (5,53%); Licania apetala (5,34%); Pera glabrata (4,61%); Cordiera sessilis (4,56%); Qualea grandiflora (3,94%); Anadenanthera peregrina (3,75%); Emmotum nitens (3,41%); Terminalia glabrescens (3,28%) e Xylopia aromatica (3,26%) (Tabela 1), representando mais da metade do total de indivíduos e valor de importância (53,38%). Já as famílias que apresentaram maior riqueza de espécies foram: Fabaceae (10), Rubiaceae (6), Anacardiaceae (5); Sapindaceae (4) e Myrtaceae (4), totalizando 42,7% dos indivíduos amostrados.
Em A2, foram amostrados 412 indivíduos (1.373 ind/ha) distribuídos em 33 famílias e 61 espécies. A área basal total amostrada foi de 6,22m² (20,73m²/ha). A maioria das espécies amostradas era secundária inicial ou pioneira, totalizando 75,36% do valor total. Os índices de diversidade de Shannon (H’) e de equitabilidade de Pielou (J) foram de 3,25 e 0,78, respectivamente. Por meio da construção da curva espécie-área, nota-se uma estabilização na riqueza nas parcelas localizadas a 60 m da borda com aumento no surgimento de novas espécies a de 70 m (Figura 2B).
As espécies que apresentaram maior densidade na A2 foram: Sclerolobium paniculatum (11,09%), Qualea grandiflora (10,86%), Tapirira guianenses (4,66%), Myrcia splendens (7,10%), Qualea parviflora. (3,99%) e Terminalia argentea (3,33%) (Tabela 2). Essas espécies foram responsáveis por 49% da densidade total, 65 espécies contabilizaram menos de quatro indivíduos, 22 destas correspondendo apenas por um indivíduo e densidade relativa de 0,22% (Tabela 2).
Tabela 2 – Lista florística e parâmetros fitossociológicos de espécies identificadas em um fragmento de floresta estacional semidecidual, denominado Área 2 (A2), na área de vegetação nativa da fazenda da Universidade Estadual de Goiás
Table 2 – Floristic list and phytosociological parameters of species identified in a fragment of seasonal semideciduous forest, called Area 2 (A2), in the native vegetation area of the farm of the State University of Goiás
|
Espécies |
N. Ind. |
DeR |
DoR |
FrR |
IVI% |
GS |
|
Sclerolobium paniculatum Vogel |
50 |
11,09 |
0,06 |
8,08 |
12,61 |
P |
|
Qualea grandiflora Mart. |
50 |
11,09 |
0,2 |
8,46 |
10,13 |
ST |
|
Não identificadas |
22 |
4,37 |
3,34 |
4,22 |
3,97 |
- |
|
Xylopia aromatica Mart. |
52 |
11,53 |
0,03 |
8,85 |
8,85 |
- |
|
Tapirira guianensis Aubl. |
21 |
4,66 |
0,21 |
3,85 |
6,93 |
P |
|
Myrcia splendens (Sw). DC |
31 |
6,87 |
0,71 |
5,77 |
5,4 |
P |
|
Qualea parviflora Mart. |
18 |
3,99 |
0,26 |
4,62 |
4,24 |
P |
|
Terminalia argentea Mart. |
15 |
3,33 |
0,1 |
5,00 |
4,22 |
SI |
|
Emmotum nitens (Benth.) Miers |
13 |
2,88 |
0,14 |
3,08 |
3,95 |
ST |
|
Caryocar brasiliense Cambess |
11 |
2,44 |
0,92 |
3,08 |
3,78 |
C |
|
Virola sebifera Aubl. |
17 |
3,77 |
0,05 |
2,69 |
3,15 |
P |
|
Roupala montana Aubl. |
17 |
3,77 |
0,18 |
4,23 |
3,15 |
ST |
|
Maprounea guianensis Aubl. |
11 |
2,44 |
0,24 |
3,46 |
2,42 |
SI |
|
Matayba elaeagnoides Radl. |
8 |
1,77 |
0,09 |
2,69 |
1,79 |
SI |
|
Plathymenia reticulata Bentham |
6 |
1,33 |
5,81 |
1,54 |
1,19 |
P |
|
Qualea multiflora Martius |
4 |
0,89 |
0,18 |
0,77 |
1,13 |
SI |
|
Symplocos nitens (Pohl) Brnth. |
6 |
1,33 |
0,46 |
1,15 |
1,12 |
SI |
|
Annona coriacea Marc. |
4 |
0,89 |
0,06 |
1,54 |
1,04 |
P |
|
Byrsonima pachyphylla A. Juss |
4 |
0,89 |
0,09 |
1,54 |
0,87 |
P |
|
Bowdichia virgilioides Kunth |
2 |
0,44 |
0,40 |
0,77 |
0,71 |
P |
|
Vochysia rufa Mart. |
2 |
0,44 |
0,14 |
0,77 |
0,68 |
P |
|
Hirtella gracilipes Sprengel |
4 |
0,89 |
0,50 |
0,77 |
0,66 |
SI |
|
Cordiera sessilis Kuntze |
3 |
0,67 |
0,04 |
0,77 |
0,63 |
SI |
|
Hirtella glandulosa Sprengel |
3 |
0,67 |
0,47 |
0,77 |
0,62 |
SI |
|
Erythroxylum daphnites Mart. |
3 |
0,67 |
0,00 |
0,77 |
0,59 |
ST |
|
Kielmeyera coriacea Mart. & Zucc. |
3 |
0,67 |
0,03 |
0,77 |
0,59 |
P |
|
Copaifera langsdorffii Desf. |
2 |
0,44 |
0,05 |
0,77 |
0,57 |
ST |
|
Lithraea molleoides (Vell.) Engl. |
3 |
0,67 |
0,15 |
0,38 |
0,51 |
C |
|
Annona crassiflora Mart. |
2 |
0,44 |
0,10 |
0,77 |
0,49 |
P |
|
Alibertia edulis (Rich.) A. Rich. ex DC. |
2 |
0,44 |
5,90 |
0,77 |
0,47 |
ST |
|
Leptolobium dasycarpum Vogel |
2 |
0,44 |
0,33 |
0,77 |
0,46 |
P |
|
Lafoensia pacari A.St.-Hill |
2 |
0,44 |
0,41 |
0,77 |
0,45 |
P |
|
DiospyrosburchelliiHiern |
2 |
0,44 |
0,33 |
0,77 |
0,45 |
P |
|
Myracrodruon urundeuva Allemão |
2 |
0,44 |
0,33 |
0,77 |
0,44 |
SI |
|
Diospyros hispida A.DC. |
2 |
0,44 |
0,15 |
0,77 |
0,44 |
ST |
|
Aspidosperma tomentosum Mart. |
2 |
0,44 |
0,15 |
0,77 |
0,44 |
SI |
|
Chrysophyllum marginatum Radl. |
2 |
0,44 |
0,48 |
0,77 |
0,43 |
ST |
|
Siparuna guianensis Aubl |
3 |
0,67 |
0,10 |
0,38 |
0,40 |
P |
|
Machaerium brasiliensis Aubl. |
1 |
0,22 |
0,54 |
0,38 |
0,38 |
SI |
|
Callisthene major Mart. |
3 |
0,67 |
1,37 |
0,38 |
0,38 |
SI |
|
Cecropia pachystachya Trecul |
1 |
0,22 |
0,91 |
0,38 |
0,36 |
SI |
|
Byrsonima spectabilis Turcz. |
2 |
0,44 |
0,03 |
0,38 |
0,36 |
SI |
|
Rudgea viburnoides (Cham.) Benth. |
2 |
0,44 |
0,1 |
0,38 |
0,35 |
SI |
|
Coccoloba mollis Casaretto |
1 |
0,22 |
3,56 |
0,38 |
0,34 |
SI |
|
Anadenanthera colubrina (Vell.) Brenan |
1 |
0,22 |
7,73 |
0,38 |
0,28 |
SI |
|
Anadenanthera peregrina (L.) Speg. |
1 |
0,22 |
0,05 |
0,38 |
0,27 |
SI |
|
Casearia rupestris Eichler |
1 |
0,22 |
0,69 |
0,38 |
0,26 |
P |
|
Astronium fraxinifolium Schott |
1 |
0,22 |
0,13 |
0,38 |
0,25 |
SI |
|
Connarus suberosus Planch. |
1 |
0,22 |
10,85 |
0,38 |
0,25 |
SI |
|
Platypodium elegans Vogel |
1 |
0,22 |
1,74 |
0,38 |
0,24 |
SI |
|
Sclerolobium aureum (Tul.) Baill. |
1 |
0,22 |
4,12 |
0,38 |
0,24 |
P |
|
Machaerium acutifolium Vogel |
1 |
0,22 |
1,45 |
0,38 |
0,24 |
P |
|
Chrysophyllum gonocarpum Engler |
1 |
0,22 |
0,21 |
0,38 |
0,22 |
P |
|
Aegiphilla verticilata Velloso |
1 |
0,22 |
0,11 |
0,38 |
0,22 |
SI |
|
Byrsonima laxiflora Griseb. |
1 |
0,22 |
18,67 |
0,38 |
0,22 |
ST |
|
Diospyros brasiliensis Mart. |
1 |
0,22 |
0,15 |
0,38 |
0,22 |
SI |
|
Piptocarpha rotundifolia G. Lom. Sm |
1 |
0,22 |
0,88 |
0,38 |
0,22 |
SI |
|
Cordiera macrophylla Kuntze |
1 |
0,22 |
12,3 |
0,38 |
0,21 |
SI |
|
Dimorphandra mollis Bentham |
1 |
0,22 |
4,33 |
0,38 |
0,21 |
P |
|
Matayba guianensis Aubl. |
1 |
0,22 |
0,01 |
0,38 |
0,21 |
SI |
|
Alibertia sessilis (Vell.) K. Schum |
1 |
0,22 |
2,99 |
0,38 |
0,21 |
P |
|
Vatairea macrocarpa (Benth.) Ducke |
1 |
0,22 |
0,84 |
0,38 |
0,2 |
P |
Fonte: Autores (2018)
Em que: N. Ind = número de indivíduos, DeR= densidade relativa, DoR= dominância relativa, FrR= frequência relativa, IVI%= índice de valor de importância, GS= grupo sucessional.
As espécies que apresentaram maiores valores de importância (VI%) foram: Sclerolobium paniculatum (12,38%), Qualea grandiflora (10,18%), Tapirira guianensis (6,84 %), Myrcia splendens (5,45%), Xylopia aromatica (4,64%), Qualea parviflora (4,16%),Terminalia argentea (4,10%), Emmotum nitens (3,95%), Caryocar brasiliense (3,80%) e Virola sebifera (3,19%).
Cinco famílias botânicas se destacaram por apresentar maior distribuição na área. As famílias que apresentaram maior riqueza de espécies foram: Fabaceae (14), Vochysiaceae (5), Rubiaceae (5), Anacardiaceae (4), Annonaceae (3), Malpiguiaceae (3). As famílias Fabaceae, Vochysiaceae e Rubiaceae, nesta ordem, foram as mais representadas na área amostral, totalizando 249 indivíduos, mais da metade dos amostrados (55,21%).
Baseando-se nas análises de similaridade, a Figura 2 demonstrou a curva de estabilização da área, bem como a distância da borda em que ocorrem mudanças na vegetação encontrada. A cor vermelha (Figura 2) indica parcelas que estavam mais próximas da borda, já a cor verde demonstra as parcelas localizadas no interior da floresta. A curva pontilhada segue o modelo de rarefação e o traço em negrito indica o ponto de observação do aumento abrupto na riqueza de espécies. Atinge-se a suficiência quando a curva tende à estabilidade e a adição de novas unidades amostrais não altera significativamente o número de espécies observadas, sendo sugerido que um aumento de 10% na área amostral resulte em um aumento de até 5% em novas espécies (KERSTEN; GALVÃO, 2011). Nesse caso, observa-se que, na A1 houve um acréscimo de 11% de espécies novas entre as parcelas localizadas a 40 m da borda para aquelas localizadas a 50 m (Figura 2A) e para a A2 houve um aumento de 16% de espécies novas entre as parcelas localizadas a 70 e 80 m (Figura 2B) de distância da borda.
Figura 2 – Curva espécie-área de fragmento de duas florestas estacionais semideciduais a partir da borda do fragmento em Ipameri - GO
Figure 2 – Curve species-fragment area of two semideciduous seasonal forests from the edge of the fragment in Ipameri, GO state
Fonte: Autores (2018)
Assim, na A1 ocorre mudança rápida de espécies após os 40 m iniciais e na A2 apenas após os 70 m, o que provavelmente indica que o efeito de borda afeta a comunidade arbórea de cada fragmento com intensidades diferentes. Apesar de não ocorrer uma estabilização nítida, devido às características heterogêneas da floresta que, a cada parcela locada, apresentava uma nova espécie, houve uma tendência à estabilização. Isso demonstrou que a variabilidade florística foi bem amostrada (GONÇALVES; GONÇALVES; BUFFON, 2017).
A suficiência amostral para o número de indivíduos e área basal foi satisfatória em ambas as áreas. O erro admissível em A1 foi de 8,35% para número de indivíduos e 17,57% para área basal. Em A2, os cálculos indicaram erro admissível de 12,41% para número de indivíduos e 14,53% para área basal. O alto valor aceitável para o erro admissível (E%≤ 20) se deu em razão da heterogeneidade encontrada nos fragmentos e também devido à rica composição florística, característica de florestas com estádio de sucessão secundário, como neste estudo.
Apesar da certa proximidade (10 km de distância) entre os fragmentos e de se tratar da mesma fitofisionomia, algumas espécies como, Aegiphila verticillata, Agonandra brasiliensis e Guazuma ulmifolia estavam restritas à localidade amostrada. Do total de 129 espécies amostradas, apenas 32 foram encontradas em A1 e A2. O levantamento florístico evidenciou, portanto, uma elevada diversidade vegetativa nas florestas. Este fato também pode ser considerado um efeito da fragmentação, visto que as pressões exercidas sobre as florestas podem estar isolando as populações e dificultando a reprodução das espécies. Nesse caso, as espécies faunísticas podem ser aliadas para polinizarem e dispersarem as espécies vegetais e assim promover maiores interações entre os ecossistemas.
O número de espécies H’ e J’ estão dentro dos padrões encontrados para Florestas Estacionais presentes no domínio dos cerrados (LOPES et al., 2012), o que prova a alta riqueza de espécies dentro de ambas as áreas, estabelecendo uma relação entre frequência e abundância, enquanto a equitabilidade estabelece uma maior uniformidade na distribuição dos indivíduos. Valores próximos de H’ e J’ foram encontrados por Lopes et al. (2011), analisando estudos realizados em dez florestas estacionais semideciduais, localizadas em cinco municípios no sudeste do Brasil. Segundo os mesmos autores, os valores de H’ e J’ estão atribuídos à heterogeneidade das vegetações, que permitem diferenças nos remanescentes e na composição florística.
Nas áreas amostradas, 93 espécies apresentaram baixa frequência relativa de espécie, entre um e cinco indivíduos, sumarizando 70,45% do total e, portanto, são espécies pouco abundantes, sendo que 44 espécies apresentaram apenas um indivíduo cada. A pequena representatividade de indivíduos continua a reforçar a hipótese de que, anteriormente, as áreas sofreram perturbações e, atualmente, estão se regenerando. Ainda que tenham sido registrados poucos indivíduos, valores de abundância encontrados em florestas estacionais da Bacia do Paraná (LOPES et al., 2012), localizada a menos de 150 km da região deste estudo, estiveram próximos aos encontrados aqui, o que sugere estudos mais aprofundados para caracterizar o grau de antropização das florestas na região Centro-Oeste/Sudeste do Brasil.
As famílias com maior número de espécies foram as mesmas descritas em estudos com florestas estacionais semideciduais realizados em Uberlândia (PRADO JÚNIOR et al., 2010) e Cuiabá (FINGER; FINGER, 2015). Entre a Mata Atlântica e a Floresta Amazônica, estende-se uma larga faixa diagonal de formações vegetais abertas e complexas, com espécies características, representada pela caatinga (Nordeste), pelo Cerrado (Centro-Oeste e Sudeste) e pela vegetação variada do Pantanal Mato-Grossense (IBGE, 2012). Como as FES estão nesta faixa de formações vegetais, é comum que ocorram espécies e famílias comuns a outras regiões, elevando a riqueza local.
Através de levantamentos florísticos, foi possível indicar se as florestas já sofreram perturbações antrópicas. Florestas perturbadas formam uma vegetação regenerante secundária, o que interfere na diversidade florística e na dinâmica florestal. Nas áreas amostradas neste estudo, boa parte da vegetação encontrada era regenerante, o que explica as maiores ocorrências de espécies secundárias iniciais e pioneiras (Tabelas 1 e 2), e indica que as áreas já estiveram/estão sobre influências de perturbações. Essas perturbações formam ambientes heterogêneos, que contam com a presença de diferentes espécies e em diferentes estádios, bem como alteram os valores fitossociológicos locais. Além disso, espécies típicas de cerrado, como Dimorphandra mollis, Curatella americana, Qualea grandiflora, Plathymenia reticulata, Annona coriácea, foram recorrentemente amostradas.
O dendrograma gerado em A1 para as duas similaridades (Coeficiente de Sørensen e Índice de Bray & Curtis), apresentou diferenciação entre parcelas de 0 a 30 m das parcelas e de 40 a 100 m de distância da borda. Em A2, os grupos de distribuição foram de 0 a 60 m da borda, e de 70 a 100 m, também nos dois índices analisados. O efeito de borda foi, portanto, aferido, baseando-se nas diferenças florístico-estruturais para essas duas florestas estacionais. Nem sempre é possível aferir o efeito de borda (FERREIRA et al., 2016). Entretanto, esta metodologia permitiu analisar em quantos metros o efeito de borda interferiu na composição florística e densidade de indivíduos das espécies, em direção ao interior da floresta. Este estudo demonstrou que o efeito de borda parece atingir até, pelo menos, 30 metros adentro das florestas.
Através dos dendrogramas, notou-se distinção entre as duas áreas, em razão da divisão dos grupos (2 grupos), que foram diferenciados pela distância que os grupos ficaram da borda. A provável divisão seria a alteração na estrutura florística por excesso de luz e temperatura e menor taxa de umidade relativa (BATAGHIN; PIRES; BARROS, 2012). Em A1, o efeito de borda foi mais pronunciado a até 30 m (Figura 3A e 3B). Após os 30 metros, notou-se que o interior da floresta fica mais protegida e menores são os efeitos da pressão externa no fragmento florestal. Já em A2, notou-se que o efeito de borda influenciou a similaridade florística até os 70 m (Figura 3C e 3D). Levando em consideração a distinção florística local, ainda que as espécies encontradas fossem menos tolerantes à exposição e fatores abióticos, como a intensidade de luz (BATAGHIN; PIRES; BARROS, 2012), o efeito de borda atingiu a floresta em até 70 m do seu interior.
Figura 3 – Dendrograma gerado utilizando os dados das parcelas nos fragmentos de floresta estacional semidecidual da Área 1 (a-b) e Área 2 (c-d) através do coeficiente de similaridade de Sørensen e o Índice de Bray & Curtis
Figure 3 – Dendrogram generated using data from the A1 (a-b) and A2 (c-d) plots using the Sørensen coefficient of similarity and the Bray & Curtis Index
Fonte: Autores (2018)
As medições das variáveis abióticas com o termo-higroanemômetro-luxímetro digital na área 2 demonstraram maiores temperaturas, velocidade do vento e luminosidade na estação seca e maiores umidades na estação chuvosa. Velocidade do vento e intensidade luminosa apresentaram alta variação dos dados, demonstrados pelo alto valor de coeficiente de variação (CV - Tabela 3). Foi possível perceber também mudanças nas variáveis à medida que se adentrava o fragmento (Figura 4).
Tabela 3 – Parâmetros referentes ao fragmento 2, na estação seca e chuvosa
Table 3 – Parameters related to fragment 2, in dry and rainy season
|
Temp (°C) |
Umid (%) |
Vento (km/h) |
Luz (Lux) |
||
|
Chuva |
|
29,04 |
70,30 |
0,07 |
2990,99 |
|
DP |
0,18 |
0,36 |
0,07 |
633,62 |
|
|
CV |
0,61 |
0,51 |
102,75 |
21,18 |
|
|
F |
103,91 |
0,88 |
0,02 |
9,19 |
|
|
p |
<0,001 |
0,375 |
0,897 |
0,016 |
|
|
Seca |
|
35,54 |
20,05 |
0,56 |
4507,42 |
|
DP |
0,58 |
1,31 |
0,24 |
3482,94 |
|
|
CV |
1,64 |
6,51 |
43,00 |
77,27 |
|
|
F |
313,55 |
31,57 |
6,13 |
31,07 |
|
|
p |
<0,001 |
<0,001 |
0,038 |
0,001 |
Fonte: Autores (2018)
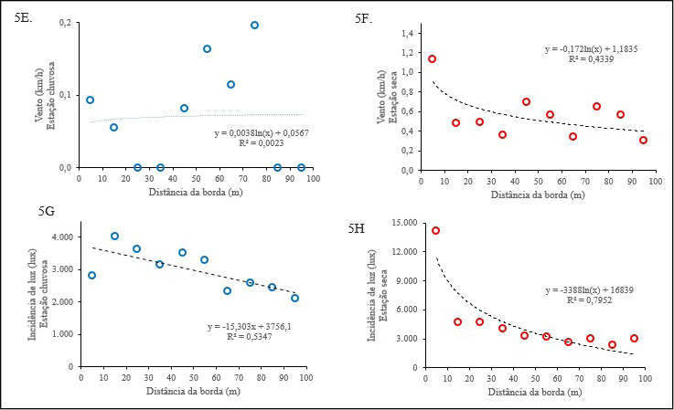
De modo geral, principalmente a umidade relativa, temperatura e luz foram as variáveis que mais sofreram influências da distância em relação à borda. A temperatura na estação chuvosa e mais fortemente na seca (Figura 4A e 4B) foram inferiores mais ao interior da floresta em ambas as estações. O mesmo ocorreu para o índice de luminosidade, porém confirmado estatisticamente apenas para a estação seca (Figura 5G e 5H), no entanto o melhor modelo ajustado foi logarítmico para a estação seca. A umidade apresentou maiores variações na época seca, mas em ambas as estações, as medições apresentaram maiores valores no interior do fragmento (Figura 4C e 4D). Isso explica o fato de que uma menor densidade de espécies arbóreas clímax, com maiores circunferências de tronco, foi registrada no interior da floresta. Principalmente em razão do aumento da intensidade da luz e de temperatura no ambiente e no solo, algumas espécies clímax podem não sobreviver aos efeitos deletérios gerados. Nas bordas, foi verificado um número maior de espécies pioneiras e secundárias iniciais, com troncos de circunferências mais delgados, evidenciando maiores taxa de recrutamento.
Figura 4 – Análise de regressão das variáveis medidas com a distância da borda. 4A: temperatura na estação chuva x distância da borda; 4B: temperatura na estação seca x distância da borda; 4C: umidade na estação chuvosa x distância da borda; 4D: umidade na estação seca x distância da borda
Figure 4 – Regression analysis of variables with distance from the edge. 4A: temperature in the rainy season x distance from the edge; 4B: temperature in the dry season x distance from the edge; 4C: distance in the rainy season x distance from the edge; 4D: density in the dry season x distance from the edge
Fonte: Autores (2018)
O vento também seguiu o padrão de alterações e, especialmente na seca, apresentou maiores valores (Figura 5F). O vento representa um fator crítico que pode impossibilitar o crescimento pleno das espécies da borda, por causar danos físicos, como quebra dos galhos, brotações e perda excessiva de folhas. No interior das florestas, a turbulência dos ventos também pode ocasionar queda dos indivíduos arbóreos clímax, aumento das taxas de mortalidade e abertura de clareiras, favorecendo espécies heliófitas. Logo, as consequências decorrentes da fragmentação avançam para o interior da floresta e seus efeitos podem atingir a vegetação local como um todo.
Figura 5 – Análise de regressão das variáveis medidas com a distância da borda. 5E: vento na estação chuva x distância da borda; 5F: vento na estação seca x distância da borda; 5G: intensidade luminosa na estação chuvosa x distância da borda; 5H: intensidade luminosa na estação seca x distância da borda
Figure 5 – Regression analysis of the variables measured with the distance from the edge. 5E: wind in the rain season x distance from the edge; 5F: wind in the dry season x distance from the edge; 5G: light intensity in the rainy season x distance from the edge; 5H: light intensity in the dry season x distance from the edge
Fonte: Autores (2018)
Pscheidt et al. (2018), trabalhando em floresta com araucárias em Santa Catarina, também apontaram influências diretas das variáveis climáticas (umidade, radiação solar e sombra), encontrando efeitos de borda a 50 m, em direção ao interior da floresta. Outros estudos observaram efeitos de borda em até 40 m de distância da borda e, dependendo de fatores como estresse hídrico da região (SAMPAIO; SCARIOT, 2011), esse efeito pode chegar até 60 m. As variações causadas pela fragmentação florestal podem ocorrer, por exemplo, por fatores como a declividade do terreno, que pode modificar a estrutura e abrangência florística (SALOMÃO; SILVA; MACHADO, 2018) ou ainda a influência das matrizes em que as florestas estão inseridas.
4 CONCLUSÕES
O efeito de borda afetou as comunidades arbóreas e foi variável nas duas áreas analisadas, chegando a até 30 m em uma floresta e a até 70 m na outra. Foi encontrada grande quantidade de espécies regenerantes nas duas áreas, sendo reflexo dos efeitos das perturbações sofridas, que permitem a presença de espécies típicas de cerrado no interior e, principalmente, na borda dos fragmentos. A umidade relativa, intensidade luminosa, temperatura e velocidade dos ventos foram os fatores abióticos que apresentaram variações ao longo da floresta, indicando que há alterações no fragmento A2, o que, consequentemente, também traz modificações para o biossistema da floresta. Devido a esta variação, novos estudos devem ser realizados para que se possa aferir com maior precisão até onde o efeito de borda interfere na comunidade arbórea.
AGRADECIMENTOS
Os autores agradecem ao Conselho Nacional de Desenvolvimento Científico e Tecnológico (CNPq) pelo apoio financeiro, processo 430469/2018-7.
REFERÊNCIAS
ABDO, M. T. V. N.; VALERI, S. V.; FERRAUDO, A. S. Avaliação do efeito de borda da Reserva Biológica de Pindorama, SP. Revista Verde de Agroecologia e Desenvolvimento Sustentável, Pombal, v. 10, n. 4, p. 1-7, 2015.
ALMEIDA, C.; VIANI, R. A. G.; BRANCALION, P. H. S. Competição por recursos entre um trepadeira (Calopogonium mucunoides Desv.) e uma árvore (Guazuma ulmifolia Lam.): implicações para o manejo de fragmentos de Floresta Estacional Semidecidual degradados. RevistaCiência, Tecnologia&Ambiente, Araras, v. 4, n. 1, p. 30-37, 2017.
ALVARES, C. A. et al. Koppen’s climate classification map for Brazil. Meteorologische Zeitschrift, Stuttgart, v. 22, n. 6, p. 711-728, 2014.
BATAGHIN, F. A.; PIRES, J. S. R.; BARROS, F. Epifitismo vascular em sítios e borda e interior em Floresta Estacional Semidecidual no Sudeste do Brasil. Hoehnea, São Paulo, v. 39, n. 2, p. 235-245, 2012.
BLUMENFELD, E. C. et al. Relações entre o tipo de vizinhança e efeitos de borda em fragmento florestal. Ciência Florestal, Santa Maria, v. 26, n. 4, p. 1301-1316, 2016.
BIONDI, D.; BOBROWSKI, R. Utilização de índices ecológicos para análise do tratamento paisagístico arbóreo dos parques urbanos de Curitiba-PR. Enciclopédia Biosfera, Jandaia, v. 10, n. 18, p. 3006-3017, 2014.
CHASE, M. W. et al. An update of the Angiosperm Phylogeny Group classification for the orders and families of flowering plants: APG IV. Botanical Journal of the Linnean Society, Oxford, v. 181, n. 1, p. 1-20, 2016.
COSTA, L. C. B.; GUASSELLI, L. A. Dinâmica sazonal de remanescentes da Mata Atlântica, a partir de séries temporais NDVI/MODIS. Geo UERJ, Rio de Janeiro, v. 1, n. 30, p. 214-239, 2017.
FERREIRA, T. S. et al. Composição florístico-estrutural ao longo de um gradiente de borda em fragmento de Floresta Ombrófila Mista Alto-Montana em Santa Catarina. Ciência Florestal, Santa Maria, v. 26, n. 1, p. 123-134, 2016.
FINGER, Z.; FINGER, F. A. Fitossociologia em comunidades arbóreas remanescentes de Cerrado sensu stricto no Brasil Central. Revista Floresta, Curitiba, v. 45, n. 4, p. 769-780, 2015.
GONÇALVES, R. N.; GONÇALVES, J. R. S. N.; BUFFON, M. C. M. Metodologia e suficiência amostral em estudos etnobotânico e etnofarmacológicos: relato de experiência. Visão Acadêmica, Curitiba, v. 18, n. 4, p. 14-24, 2017.
HADDAD, N. M. et al. Habitat fragmentation and its lasting impact on Earth’s ecosystems. Science Advances, New York, v. 1, n. 2, p. 1-9, 2015.
HAMMER, O. PAST: Paleontological Statistics Software Package for Education and Data Analysis. Oslo: [s. n.], 2019. 275 p.
IBGE. Manual técnico da vegetação brasileira: sistema fitogeográfico, inventário das formações florestais e campestres, técnicas e manejo de coleções botânicas, procedimentos para mapeamentos. Rio de Janeiro, 2012. 92 p.
KERSTEN, R. A.; GALVÃO, F. Suficiência amostral em inventários florísticos e fitossociológicos. In: FELFILI, J. M. et al. Fitossociologia no Brasil: métodos e estudos de casos. 1. ed. Viçosa, MG: Editora UFV, 2011. v. 1. p. 156-173.
LAGOS, M. D. C. C. Efeito de borda em fragmentos do bioma Cerrado e Mata Atlântica. 2017. Tese (Doutorado em Ciências Ambientais) - Universidade Federal de Goiás, Goiânia, 2017.
LAURANCE, W. F. et al. Ecosystem decay of Amazonian forest fragments: a 22-year investigation. Conservation Biology, Germantown, v. 16, n. 3, p. 605-618, 2002.
LAURANCE, W. F. et al. The fate of Amazonian forest fragments: A 32-year investigation. Biological Conservation, Cairns, v. 144, n. 1, p. 56-67, 2011.
LIMA, M. S. C. S.; SOUZA, C. A. S.; PEDERASSI, J. Qual índice de diversidade usar? Caderno UniFOA, [s. l.], v. 1, n. 30, p. 129-138, 2016.
LOPES, S. F. et al. Análise comparativa da estrutura e composição florística de Cerrado no Brasil central. Interciência, Santiago, v. 36, n. 1, p. 8-15, 2011.
LOPES, S. F. et al. An Ecological Comparison of Floristic Composition in Seasonal Semideciduous Forest in Southeast Brazil: Implications for Conservation. International Journal of Forestry Research, London, v. 2012, p. 1-14, 2012.
MAGNAGO; L. F. S. et al. Efeito de borda na funcionalidade dos grandes fragmentos de floresta de tabuleiro do norte do Espírito Santo. In: ROLIM, S. G.; MENEZES, L. F. T.; ARAUJO, A. C. S. Floresta Atlântica de tabuleiro: diversidade e endemismos na Reserva Natural Vale. 2. ed. Linhares: Editora Rupestre, 2016. v. 1. p. 129-140.
OLIVEIRA, C. V. et al. O. Efeito de borda e decomposiçãoo da serapilheira foliar de um fragmento florestal, em Vitória da Conquista-BA. Enciclopédia Biosfera, Jandaia, v. 9, n. 17, p. 1150- 1161, 2013.
PEREIRA, B. A. S.; VENTUROLI, F.; CARVALHO, F. A. Florestas Estacionais no Cerrado: uma visão geral. Pesquisa Agropecuária Tropical, Goiânia, v. 41, n. 3, p. 446-455, 2011.
PRADO JÚNIOR, J. A. et al. Estrutura da comunidade arbórea em um fragmento de floresta estacional semidecidual localizada na reserva legal da Fazenda Irara, Uberlândia, MG. Bioscience Journal, Uberlândia, v. 26, n. 4, p. 638-647, 2010.
SCHILLING, A. C.; BATISTA, J. L. F.; COUTO, H. Z. Ausência de estabilização da curva de acumulação de espécies em Florestais Tropicais. Ciência Florestal, Santa Maria, v. 22, n. 1, p. 101-111, 2012.
PSCHEIDT, F. et al. Efeito de borda como fonte da heterogeneidade do componente arbóreo em uma floresta com araucárias no Sul do Brasil. Ciência Florestal, Santa Maria, v. 28, n. 2, p. 601-612, 2018.
RIGUEIRA, D. M. G. et al. Influência da distância da borda e do adensamento foliar sobre a abundância de plantas pioneiras em um fragmento de floresta tropical submontana na Estação Ecológica de Wenceslau Guimarães (Bahia, Brasil). Acta Botanica Brasilica, Belo Horizonte, v. 26, n. 1, p. 202-2012, 2012.
SALOMÃO, N. V.; SILVA, M. D. D.; MACHADO, E. L. M. Dynamics ofvegetationstructure in a fragmentedlandscape in Minas Gerais, Brazil. Brazilian Journal of Biology, São Carlos, v. 1, p. 1-8, 2018.
SAMPAIO, A. B.; SCARIOT, A. Edge effect on tree diversity, composition and structure in a deciduos dry forest in central Brazil. RevistaÁrvore, Viçosa, MG, v. 35, n. 5, p. 1121-1134, 2011.
SANTOS, H. G. et al. Sistema Brasileiro de Classificação do Solo. 5. ed. Brasília: Embrapa Solos, 2018. 355 p.
SEOANE, C. E. et al. Corredores ecológicos como ferramenta para a desfragmentação de florestas tropicais. Pesquisa Florestal Brasileira, Colombo, v. 30, n. 63, p. 207-216, 2010.
Contribuição de Autoria
1 – Vanuza Pereira Garcia da Silva
Contribuição: Conceituação, Curadoria de dados, Metodologia, Escrita – revisão e edição, Software, Supervisão, Validação
2 – Gabriel Venâncio Pereira Mariano
Contribuição: Visualização de dados, Software, Escrita – revisão e edição, Supervisão, Validação
3 – Ana Flávia Costa Santos
Contribuição: Escrita – primeira redação, Software, Supervisão, Validação
4 – Lilian Cristina da Silva Santos
Contribuição: Análise Formal, Investigação, Escrita – revisão e edição, Software, Supervisão, Validação
5 – João Paulo Costa
Contribuição: Análise Formal, Investigação, Escrita – revisão e edição, Software, Supervisão, Validação
6 – Ana Carolina Ribeiro Vaz
Contribuição: Metodologia, Escrita – primeira redação, Escrita – revisão e edição, Software, Supervisão, Validação
7 – Vagner Santiago do Vale
Contribuição: Obtenção de financiamento, Administração do projeto, Recursos, Software, Supervisão, Validação, Escrita – revisão e edição, Validação
8 – Ednaldo Cândido Rocha
Contribuição: Software, Escrita – revisão e edição, Supervisão, Validação