Universidade Federal de Santa Maria

Ci. e nat., Santa Maria, V. 42, Special Edition, e28, 2020

DOI: http://dx.doi.org/10.5902/2179460X40621

Received: 10/10/2019 Accepted: 10/10/2019

 

by-nc-sa

 


Special Edition

 

Qualidade da água da lavoura de arroz irrigado e a produtividade em função da época de drenagem

 

 Water quality of irrigated rice crop and yield as a function of drainage season

 

 

Alicia Baumhardt DornelesI

Mara GrohsII

Rodrigo de Moura SilveiraIII

Caren Alessandra da RosaIV

Alex Alan BredowV

Giovane Rodrigo Friedrich NeuVI

 

I    Universidade Federal de Santa Maria - CS, Cachoeira do Sul, Brasil - alicia_dorneles@outlook.com

II   Universidade Federal de Santa Maria - CS, Cachoeira do Sul, Brasil - alexbredow15@outlook.com

III  Instituto Riograndense do Arroz Irrigado (IRGA), Cachoeira do Sul, Brasil - grohs.mara@gmail.com

IV  Universidade Estadual do Rio Grande do Sul, Cachoeira do Sul, Brasil - rodrigo-silveira@uergs.edu.br

V   Universidade Estadual do Rio Grande do Sul, Cachoeira do Sul, Brasil - giovanerfneu@hotmail.com

VI  Universidade Federal de Santa Maria, Cachoeira do Sul, Brasil - caren_alessandra@hotmail.com

 

 

Resumo

 

No Rio Grande do Sul (RS) há uma utilização intensa da água para produção de arroz irrigado, gerando preocupações em relação à qualidade desta que será devolvida aos mananciais hídricos ao final da safra. Portanto, este trabalho teve como objetivo avaliar à qualidade da água proveniente da lavoura de arroz e a produtividade em função do momento da drenagem. Os tratamentos foram: T1: drenagem a partir do florescimento pleno (R4) segundo escala de Counce et al. (2000); T2: 7 dias após R4; T3: 14 dias após R4; T4: 21 dias após R4; T5: 28 dias após R4; T6(testemunha): 35 dias após R4. No momento da drenagem quantificou-se a altura da lâmina e posteriormente procedeu-se a coleta das amostras de água onde quantificou-se o pH, a condutividade elétrica, nitrogênio (amônio e nitrato), fósforo, potássio e sódio solúveis em solução, além de produtividade de grãos. Todos os parâmetros relativos a qualidade da água estudados estão de acordo com a Resolução 357/2005 do CONAMA. Os resultados de produtividade indicam que, é possível a drenagem da lavoura de arroz irrigado a partir de 7 dias após a floração plena..
Palavras-chave: Oryza sativa L, Mananciais hídricos, Cultivar IRGA 424 RI.

 

Abstract

 

The State of Rio Grande do Sul (RS) has intense water use for irrigated rice production, generating concerns regarding the quality of this water, which will be returned to the water sources at the end of the harvest. Therefore, this study aimed to evaluate the quality of water from rice fields and yield as a function of drainage time.  The treatments were: T1: drainage from full flowering (R4) according to Counce et al. (2000); T2: 7 days after R4; T3: 14 days after R4; T4: 21 days after R4; T5: 28 days after R4; T6 (control): 35 days after R4. At the moment of drainage the leaf height was quantified and the water samples were then collected, where the pH, electrical conductivity, nitrogen (ammonium and nitrate), phosphorus, potassium and sodium solution in solution were quantified of grain yield. All parameters related to water quality studied are in accordance with CONAMA Resolution 357/2005. The productivity results indicate that it is possible to drain irrigated rice from 14 days after full flowering.

Keywords: Oryza sativa L., Water fountains, Cultivar IRGA 424 RI.

 

 

1 Introdução

O Rio Grande do Sul (RS) é responsável por 70% de toda a produção do arroz no Brasil, ocupando 1.106,062 milhões de hectares (IRGA, 2017). Diferentemente das outras regiões do Brasil, o cereal é produzido no RS na sua forma irrigada, através do sistema de irrigação por inundação. Com isso, há uma maior utilização de água, quando compara-se a outras culturas anuais (SARTORI et al., 2013) necessitando em torno de 1,04 litros por quilo do cereal produzido, no qual boa parte dessa água é captada dos mananciais hídricos adjacentes às lavouras, como arroios e rios.

Segundo Marchezan et al., (2009) a degradação dos recursos naturais e a contaminação da água por fertilizantes e outros químicos vem crescendo e trazendo graves consequências para o ambiente e para a saúde humana. O crescimento da atividade agropecuária e a perda de sedimentos por meio do escoamento superficial afetam a qualidade das águas superficiais não apenas no local de origem da contaminação, mas também em outros pontos de interferência dos recursos hídricos.

O risco de contaminação é particularmente importante em explorações agropecuárias a jusante das bacias hidrográficas, pois as concentrações de fósforo e nitrogênio geralmente excedem níveis detectados em áreas não agrícolas (HAMER et al., 2004; CHAU, 2007), sendo a eutrofização um dos maiores problemas na qualidade da água.

Nesse sentido, há uma grande preocupação dentro da sociedade em relação à qualidade da água que será devolvida aos mananciais hídricos ao final da safra, quando as lavouras passam pelo processo de drenagem para viabilizar a operação da colheita com o solo seco.

A prática de drenar a lavoura é a uma operação que vem apresentando uma grande aderência por parte dos orizicultores, visto que há uma diminuição no volume de utilização de água, uma maior velocidade da operação de colheita e uma diminuição no consumo de óleo diesel, tanto pelas colhedoras, quanto no preparo pós-colheita do solo, o qual pode ser reduzido substancialmente pela adoção do sistema de plantio direto, nas áreas onde procedeu-se a colheita com o solo seco.

Porém, em função do desconhecimento da qualidade da água que será drenada para os mananciais hídricos, as Recomendações Técnicas da cultura do Arroz irrigado (SOSBAI, 2018) preveem apenas a supressão da irrigação a partir do estádio R5 da cultura do arroz, a fim de evitar que resíduos de herbicidas ou excesso de nutrientes como nitrogênio, fósforo e potássio contaminem os mananciais. Sendo assim, este trabalho teve como objetivo avaliar a qualidade da água proveniente da lavoura de arroz e a produtividade em função do momento da drenagem .

 

2 Material e métodos

A pesquisa foi realizada em área sistematizada, na Estação Experimental Regional do Instituto Rio Grandense do Arroz (IRGA), localizada na cidade de Cachoeira do Sul, Rio Grande do Sul. O solo utilizado é classificado como Planossolo Hidromórfico eutrófico arênico com as seguintes características: pHágua(1:1)= 4,9; P= 11,6 mg dm-3; K=74 cmolc dm-3 e MO = 15 g kg-1.       

Os tratamentos foram constituídos por diferentes momentos da drenagem da área após a floração da cultura: T1: Drenagem da área a partir florescimento pleno (R4) segundo escala de Counce et al., (2000), T2: Drenagem 7 dias após R4, T3: Drenagem 14 dias após R4, T4: Drenagem 21 dias após R4, T5: Drenagem 28 dias após R4, T6 (testemunha): Drenagem 35 dias após R4 (ponto de colheita). Cada unidade experimental ocupou uma área de 5,1 x 7 m (35,7 m2). O delineamento experimental foi o de blocos ao acaso com quatro repetições.

 A cultivar utilizada foi a IRGA 424 RI (ciclo médio entre emergência e maturação fisiológica, de 132 dias), na densidade de 100 kg ha-1 de sementes, sendo a semeadura realizada no dia 16 de outubro de 2018. A adubação de base foi realizada através da utilização de 16 kg de nitrogênio, 68 kg de fósforo e 108 kg de potássio, aplicados na linha, por ocasião da semeadura. Quando as plantas se encontravam em V4, procedeu-se a aplicação em cobertura de 105 kg de nitrogênio, na forma de ureia. Além disso, foi realizado o controle de plantas daninhas através da aplicação de 200 mL/ha do herbicida Ricer®. Realizado todas as operações, procedeu-se a irrigação definitiva da área.

A partir do estádio de R4 (florescimento pleno), ocorrida no dia 28 de janeiro de 2019 iniciou-se a drenagem das parcelas, seguindo o cronograma determinado na metodologia dos tratamentos. Anteriormente a drenagem dos respectivos tratamentos quantificou-se a altura da lâmina d’agua do solo até a superfície utilizando para tal uma régua milimetrada. 

Para a coleta das amostras de qualidade de água, em cada uma das repetições, precedeu-se da seguinte forma: após a abertura das taipas coletou-se uma amostra inicial, outra quando havia metade da água na parcela e quando quase já não havia mais água, misturando as subamostras ao final, o que totalizou 10 litros de amostra por repetição. Desses 10 litros, foram separados 1,8 litros os quais foram distribuídos em três frascos de 600 ml cada um, totalizando 12 repetições por tratamento. Os frascos de vidro foram devidamente armazenados em temperatura ambiente no qual foi realizada a determinação de pH e condutividade elétrica através da leitura no peagâmetro e condutivímetro.

Na mesma ocasião coletou-se 50 ml da respectiva amostra, armazenando-o em um tubo do tipo falcon com duas gotas de HCL 5 % no qual procedeu-se a determinação de nitrogênio, fósforo e potássio segundo a metodologia descrita por Tedesco et al (1995).

Para determinação da curva de acumulação de massa seca de grãos, a cada drenagem foram coletas 10 panículas, de forma aleatória, no qual foram secas a 65 °C até peso constante.

No dia 4 de março de 2019 foi realizada a última drenagem e colheita de todos os tratamentos. Para tal, em cada parcela foi colhido manualmente duas amostras de 7 linhas por 4 m de comprimento, totalizando uma área de 4,75 m2 cada repetição, totalizando 8 repetições por tratamento. As amostras foram submetidas a trilha e secas até 13 % de umidade para determinação de produtividade de grãos.

A análise estatística dos dados de produtividade foi realizada usando o teste F para análise de variância. As médias dos tratamentos foram comparadas pelo teste de Scott Knott em nível de 5 % de probabilidade de erro através do software SISVAR.

 

3 Resultados e discussão

Os resultados de produtividade, indicam que, é possível a drenagem da lavoura de arroz irrigado a partir de 7 dias após a floração plena. No entanto, apesar de não apresentar diferença significativa, houve um decréscimo de 758,6 kg/ha de arroz entre o tratamento no qual houve drenagem da área 7 dias após R4 (T2) e o tratamento que houve drenagem 35 dias após R4 (T6).

Segundo Marcolin et al (2015), em anos em que que a precipitação pluvial é regular, a drenagem pode ser feita logo após o florescimento pleno, sem afetar a produtividade de grãos de arroz. Entretanto, quando a precipitação pluvial é insuficiente para as plantas de arroz, a drenagem não deve ser realizada antes de 14 dias após o florescimento pleno, independente dos locais de cultivo.  

 

Tabela 1 - Produtividade de grãos da cultivar de arroz irrigado IRGA 424 RI nos diferentes momentos de drenagem após a floração da cultura

Tratamentos

Lâmina (cm)

Produtividade (kg.ha-1)

Drenagem da área em R4

9,8

6.969,4 b

Drenagem da área 7 dias após R4

8,4

8.144,7 a*

Drenagem da área14 dias após R4

8,0

8.056,8 a

Drenagem da área 21 dias após R4

4,4

8.670,6 a

Drenagem da área 28 dias após R4

9,5

8.032,2 a

Drenagem da área 35 dias após R4

7,5

8.903,5 a

CV (%)

 

10,42

Média

 

8.127,3

*Letras diferentes entre tratamentos diferem entre si a 5% de probabilidade.

 

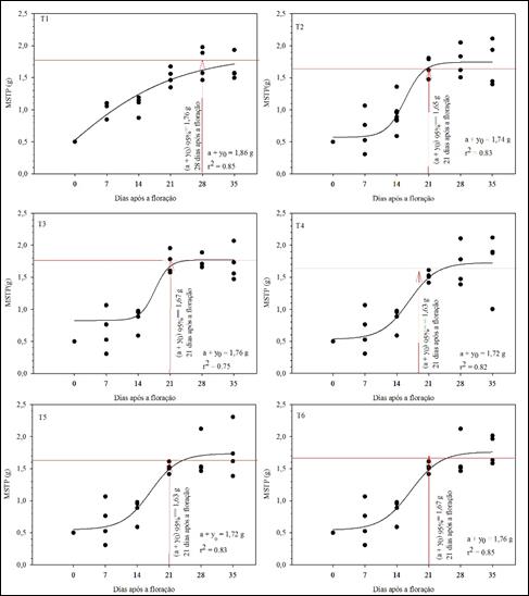
A curva de acumulação de massa seca total das panículas (MSTP) mostrou que 95 % da massa seca total das panículas foi atingida aos 21 dias após a floração nos diferentes tratamentos.

 

Figura 01 – Curva de acumulação de massa seca total das panículas (MSTP)

 

Em relação à qualidade da água proveniente da lavoura de arroz irrigado, os valores de pH variaram entre 6,3 e 6,8, Figura 2 (a) durante o período de avaliação, a condutividade elétrica entre 70 e 104 µs/cm, Figura 2 (b), amônio e nitrato Figura 3 (a) com valores máximos de 2 mg/L, potássio e sódio entre 1 e 2,5 % Figura 3 (b) e não foi detectado fósforo pelo limite de detecção do aparelho. Segundo a SOSBAI (2018) o fósforo se liga fortemente às partículas de solo e a as perdas desse nutriente nas lavouras de arroz irrigado são mínimas e insuficientes para causar danos aos mananciais hídricos.

 

Figura 2 – Valores de pH figura 2(a) e condutividade elétrica (µS/cm) figura 2(b) encontrado na amostra de água

40621-197141-1-SM

 

Figura 3 – Amônio e Nitrato figura 3 (a) Potássio e Sódio figura 3 (b), solúveis em solução encontrado durante o período de avaliação

40621-197141-2-SM

 

Segundo a Sociedade Sul- Brasileira de Arroz Irrigado (SOSBAI,2018) e Mundosk (2015) os parâmetros de qualidade da água que sai da lavoura arrozeira devem estar de acordo com seção I das águas doces, classe 1 e classe 2 da Resolução 357/2005 do Conselho Nacional do Meio Ambiente (CONAMA). Os padrões para os parâmetros estudados segundo a resolução podem ser vistos na tabela 2.

 

Tabela 2 - Teor de nutrientes presentes na água, pH, condutividade elétrica, nitrogênio (amônio e nitrato), fósforo e potássio segundo a Resolução 357/2005 do Conselho Nacional do Meio Ambiente (CONAMA)

Parâmetros

Resolução 357/2005 (CONAMA) – Valores máximos

Classe 2

Classe 3

pH

6 e 9

6 e 9

N – NH4+ (mg/L)

3,7 para pH ≤ 7,5

13,3 para pH ≤ 7,5

N- NO3- (mg/L)

10,0

10,0

Fósforo (P) (mg/L)

0,10

0,15

 

Machado et al. (2006) em seus estudos sobre consumo de água e perdas de nutrientes e de sedimentos na água de drenagem inicial do arroz irrigado encontrou valores de pH entre 6,7 e 6,9, condutividade elétrica maior que 400 µS/cm, amônio entre 2,52 e 3,85 mg/L, nitrato 0,90 e 1,24 mg/L, fósforo 0,10 e 0,11 mg/L e potássio 4,26 e 7,70 mg/L. O autor enfatiza também que a qualidade da água está intimamente ligada às condições de manejo, desde do preparo do solo, uso correto da adubação, assim como também as aplicações corretas dos defensivos agrícolas respeitando o período de carência destes.

 

4 Conclusões

Os parâmetros de qualidade da água estudados estão de acordo com a Resolução 357/2005 do Conselho Nacional do Meio Ambiente (CONAMA). A curva de acumulação mostrou que 95 % da massa seca total das panículas é atingida aos 21 dias após a floração e os resultados de produtividade indicam que, é possível a drenagem da lavoura de arroz irrigado a partir de 07 dias após a floração plena.

 

Agradecimentos

Ao Instituto Rio Grandense do Arroz Irrigado – IRGA e ao Conselho Nacional de Desenvolvimento Científico e Tecnológico – CNPq pelo suporte financeiro ao desenvolvimento da pesquisa e a Universidade Federal de Santa Maria –Campus Cachoeira do Sul (UFSM-CS) pelo incentivo e apoio.

 

Referências

COUNCE, P.A. et al. A uniform, objective, and adaptative system for expressing rice development. Crop Science, Madison, v.40, n.2, p.436-443, 2000.

IRGA. Série histórica. http://www.irga.rs.gov.br/upload/20170724112804produco_rs_historica.pdf. Acesso em: 29 set 2017.

MACHADO et al. Consumo de água e perdas de nutrientes e de sedimentos na água de drenagem inicial do arroz irrigado. Ciência Rural, v. 36, n. 1, 2006.

MARCOLIN, E. et al. Produtividade de grãos de arroz irrigado em função da drenagem da água a partir do florescimento pleno. Disponível em: <www.cbai2015.com.br/docs/trab-5-5775-128.pdf>. Acesso em: 15 de março de 2019.

MUNDSTOCK. Água de irrigação e drenagem do perímetro de irrigação do Arroio Duro de 2005 a 2012. Cachoeirinha: IRGA/Divisão de Pesquisa, 2015. 96 p.

REUNIÃO TÉCNICA DA CULTURA DO ARROZ IRRIGADO. Arroz irrigado: recomendações técnicas da pesquisa para o Sul do Brasil. / Sociedade Sul-Brasileira de Aroz Irrigado. Farroupilha, RS. SOSBAI, 2018. 205 p.

SARTORI, G.M.S. et al. Rendimento de grãos e eficiência no uso de água de arroz irrigado em função da época de semeadura. Ciência Rural, v.43, n.3, p.397-403, 2013.

TEDESCO, M.J. Análises de solo, plantas e outros materiais. 2 ed. Porto Alegre : Departamento de Solos, Universidade Federal do Rio Grande do Sul, 1995.

MARCHEZAN, E. et al. Qualidade de água dos rios Vacacaí e Vacacaí-Mirim no Estado do Rio Grande do Sul, Brasil. Ciência Rural. 2009, v.39, n.7, p.2050-2056.

HAMER, A.J. et al. Amphibian decline and fertilizers used on agricultural land in south-eastern Australia. Agriculture, Ecosystems&Environment, v.102, n.3, p. 299-305. 2004.

SOSBAI. Recomendações Técnicas Da Pesquisa Para O Sul Do Brasil. Bento Gonçalves: Pallotti, v. 32, 2018, 189 p.