Universidade Federal de Santa Maria

Ci. e Nat., Santa Maria, v. 47, spe. 2, e91482 2025

DOI: 10.5902/2179460X91482

ISSN 2179-460X

Submitted: 04/07/2025 • Approved: 04/07/2025 • Published: 05/29/2025

1 INTRODUCTION

2 METHODOLOGY

3 RESULTS AND DISCUSSION

4 CONCLUSIONS

ACKNOWLEDGMENTS

REFERENCES

Inovações e Soluções Sustentáveis em Engenharia Ambiental

Influence of the recirculation rate on the performance of Anerobic Aerobic Fixed Bed Reactor (AAFBR)

Influência da taxa de recirculação no desempenho de Reator Anaeróbio Aeróbio de Leito Fixo (RAALF)

Daiane Cristina de FreitasIÍcone

Descrição gerada automaticamente

Jéssica Luiza Bueno TrevianiI

Edna Batista RochaI

Karina Querne de CarvalhoII

Fernando Hermes PassigII

Adriana Regina TozziI

Carina PedrozoI

I Uninter, Curitiba, PR, Brazil

II Universidade Tecnológica Federal do Paraná, PR, Brazill

ABSTRACT

The objective of this research was to evaluate the influence of the recirculation rate on nutrient removal and on the hydrodynamic behavior of a fixed-bed anaerobic-aerobic reactor, operated on a bench scale, in the treatment of sanitary effluent. Different recirculation ratios (0.5, 1.0 and 1.5) were tested with a constant air flow of 10 L min-1. During the operation period, the physicochemical parameters were analyzed. Hydrodynamic tests were also carried out using pulse stimulus-response tests with the eosin Y tracer, to evaluate the hydrodynamic behavior and investigate anomalies. The 50% recirculation ratio proved to be the condition with the highest removal efficiency for total solids (83%). The 100% recirculation ratio was the most efficient for TKN (97%) and Nammon (99%). For the recirculation ratio of 150%, the highest removal efficiency was for phosphorus (33%). As for hydrodynamic behavior, according to the correlation of the theoretical uniparametric models tested, it is possible to state that the recirculation ratios of 50%, 100% and 150% presented correlation coefficients that indicate complete mixing, with good hydraulic efficiency for recirculation. of 100%. By varying these factors, it was possible to verify the influence of the recirculation ratio on the removal of nitrogen and phosphorus, as well as on the hydrodynamic behavior of the reactor.

Keywords: Combined reactor; Removal of nutrients; Reactor hydrodynamics

RESUMO

O objetivo desta pesquisa foi avaliar a influência da taxa de recirculação na remoção nutrientes e no comportamento hidrodinâmico de um reator anaeróbio-aeróbio de leito fixo, operado em escala de bancada, no tratamento de efluente sanitário. Foram testadas diferentes razões de recirculação (0,5; 1,0 e 1,5) com vazão de ar constante de 10 L min-1. Durante o período de operação foram analisados os parâmetros físico-químicos.Também foram realizados ensaios hidrodinâmicos por meio de testes estímulo-resposta tipo pulso com o traçador eosina Y, para avaliar o comportamento hidrodinâmico e investigar anomalias. A razão de recirculação 50% mostrou-se a condição de maior eficiência de remoção para sólidos totais (83%). A razão de recirculação 100% foi a de maior eficiência para NTK (97%) e Namon (99%). Para a razão de recirculação de 150% a maior eficiência de remoção foi para fósforo (33%). Já para o comportamento hidrodinâmico, de acordo com a correlação dos modelos teóricos uniparamétricos testados é possível afirmar que as razões de recirculação de 50%, 100% e 150%, apresentaram coeficientes de correlação que indicam mistura completa, com boa eficiência hidraúlica para a recirculação de 100%. Com a variação destes fatores foi possível verificar a influência da razão de recirculação na remoção de nitrogênio e fósforo, bem como no comportamento hidrodinâmico do reator.

Palavras-chave: Reator combinado; Remoção de nutrientes; Hidrodinâmica de reatores

1 INTRODUCTION

The choice of the treatment system depends on the characteristics that the effluent presents, so anaerobic, aerobic and combined biological treatment can be highlighted, each one brings particular advantages. According to Chernicharo et al. (1999), the use of the anaerobic system is mainly due to the removal of organic material (70%), which can be achieved without energy consumption or the addition of chemical substances, and the low production of sludge, thus presenting potential applicability. However, for Weber (2006) the anaerobic system also has negative aspects such as a long period of departure without previous inoculation, sensitivity of microorganisms to variations in temperature and pH, and emanation of unpleasant odors.

On the other hand, the aerobic system has advantages such as, a higher rate of removal of organic matter, reduced odor emissions, the ability to absorb substances that are more difficult to degrade, and rapid departure. However, with limitations, such as high aeration costs and management of excess sludge produced. Thus, the alternative of uniting the two processes has already been the subject of studies (Kreutz, 2012; Oliveira Neto and Zaiat, 2012; Pantoja Filho, 2011) that discuss the use of combined processes and the benefits to treatment systems, where it becomes possible to sum up the positive aspects of each process and consequently minimize the negative aspects.

Furthermore, the knowledge of the liquid phase flow regime is essential to scale the treatment units, because the way the fluid flows inside them can influence the speed of the biological reactions, through changes in the mass transfer rate and the distribution of reactions throughout the reactor. In this sense, it is important to know, characterize and evaluate the behavior of the reactor, in order to verify the rates of nutrient removal and the flow present, with the possibility of optimizing the process and obtaining efficiency in the treatment to seek compliance with the current environmental legislation.

In this context, the research aimed to evaluate the influence of the recirculation rate on the removal of nutrients and on the hydrodynamic behavior of a fixed-bed anaerobic-aerobic reactor, operated on a bench scale, in the treatment of sanitary effluent.

2 METHODOLOGY

2.1 Anaerobic-Aerobic Fixed Bed Reactor (AAFBR)

The reactor consisted of a plexiglass tube with an internal diameter of 93 mm and a length of 1100 mm, formed by a feeding chamber and a reaction bed, subdivided into an anaerobic zone and an aerobic zone, with recirculation of the liquid phase. The total volume of the reactor was 6.95 L. Feeding and recirculation were carried out by solenoid diaphragm metering pumps from the Prominent brand, model Concept plus, and aeration was carried out by a 2-stage professional air compressor from the MOTOMIL brand. model MAV 15/200 that injected air into the aeration chamber.

The bio - support medium used for the immobilization of biomass in the AAFBR was polyurethane foam and the synthetic substrate used was an adaptation of the substrate defined by Torres (1992). The reactor was operated with a HDT of 8 h (effluent flow of 0.87 L h-1), the recirculation rate was varied by 50%, 100% and 150% and an air flow of 10 L min-1. After reaching the State of Apparent Dynamic Equilibrium (SADE), 3 temporal sampling profiles and 3 hydrodynamic tests were carried out.

In the physical and chemical analyses, the control parameters were analyzed according to Eaton et al. (2005): COD (raw samples and filtered samples) (5220_D), total Kjeldahl nitrogen (N-TKN) (4500-NorgeC), ammoniacal nitrogen (N-ammon) (4500-NH3eC), nitrite (N-NO2-) (4500-NO3eI), nitrate (N-NO3-) (NO3-4500-B), total phosphorus (P) (4500_P), total solids (2540_B) and total suspended solids (2540_G).

To determine alkalinity and acids, the methodology used was Ripley, Boyle and Converse (1986) and Dillalo e Albertson (1961) respectively. A potentiometric probe was used to determine pH and temperature, and the dissolved oxygen concentration (DO) was determined using a polarographic probe.

2.2 Hydrodynamic tests

To characterize the hydrodynamic behavior of the reactor, pulse-type hydrodynamic tests were performed with the tracer eosin Y (C20H11Br4Na2O5) as a tracer in each stage of operation. To determine the concentration of the tracer in the collected effluent samples, the colorimetric method of absorbance reading was used, performed on a Hach uv-vis spectrophotometer, model DR/5000, with a wavelength of 516 nm for eosin Y.

Data analysis includes the use of the terms defined in Table 1 according to Levenspiel (2000).

Table 1 – Terms and definitions of variables used

Variable

Equation

Meaning

Ei= tracer exit age distribution curve

Ci = (racer concentration at time

S = area under the concentration-time curve

Variable

Equation

Meaning

S

S = area under the concentration-time curve

Ci = tracer concentration at time

ti = Time

= Time variation

tR

tR = average residence time obtained from the experimental curves

Ci = tracer concentration at time

ti = Time

= Time variation

ϴ

ϴ = dimensionless time

t = Time

tR = average residence time obtained from the experimental curves

Eϴ

Eϴ = dimensionless tracer output age distribution curve

tR = average residence time obtained from the experimental curves

= exit age distribution curve

σ2

σ2 = (variance of experimental points

tR = average residence time obtained from the experimental curves

Ci = tracer concentration at time

= Time variation

σ2 = variance of experimental points

tR = average residence time obtained from the experimental curves

Source: Authors (2024)

Experimental curves of the tracer concentration variation over time (C(t)) were plotted and normalized according to Levenspiel (2000), which results in distribution curves of the hydraulic residence time (Eθ) as a function of dimensionless time (θ).

The variance (σθ2) of each test was calculated after normalization. The adjustment of the experimental curves was performed based on the theoretical uniparametric models of small-intensity dispersion (LD), large-intensity (HD) and complete-mixing-tank-in-series (N-CSTR) according to Levenspiel (2000), as can be seen in Table 2.

Table 2 – Uniparametric dispersion models used

Model

Parameter

Equation

Low intensity dispersion (LD)

High intensity dispersion (HD)

Complete mixing tanks in series (N-CSTR)

Source: Authors (2024)

The percentage of tracer mass recovery was calculated according to Kellner, Moreira and Pires (2009). The equations described in Table 3 were used to calculate the hydraulic and hydrodynamic characteristics, dead zones, short circuits and hydraulic efficiency.

Table 3 – Hydraulic and hydrodynamic characteristics

Equation

Meaning

Dead Zones

β = relationship between the real HDT (h) and the theoretical HDT (h);

Va = active reactor volume (m3);

Vt = total reactor volume (m3);

Short Circtuits

Ψ = presence of short circuits;

τk = time at which peak concentration occurs (h);

Hydraulic Efficiency

λ = hydraulic efficiency;

Ve = effective volume (m3);

N = number of CSTR tanks in series

Source: Authors (2024)

The volume of dead zones was calculated according to the methodology reported by Peña, Mara and Avella (2006) based on the theoretical and real HDT values, the latter obtained from hydrodynamic tests, and the total volume of the reactor.

The presence of short circuits was verified by the relationship between the time of the first appearance of the tracer in the reactor effluent and the theoretical HDT according to the methodology adapted from Sarathai, Koottatep and Morel (2010).

Hydraulic efficiency reflects the effective volume and the number of complete mixing tanks in series and was calculated according to Persson, Somes and Wong (1999) and Sarathai, Koottatep and Morel (2010). For Persson, Somes and Wong (1999) and Sarathai, Koottatep and Morel (2010), hydraulic efficiency can be considered poor or unsatisfactory when it is less than or equal to 0.5; or satisfactory if the result is between 0.5 and 0.75; or it can be good if the result is equal to or greater than 0.75.

3 RESULTS AND DISCUSSION

3.1 Characterization of the Substrate Used (Synthetic Wastewater

In the characterization of the effluent used, 21 temporal sampling profiles were performed during the operation of the AAFBR. Table 4 shows the mean values (Avg), standard deviation (SSD), minimum (Min), maximum (Max), sample number (X) and coefficients of variation in percentage (CV) of the results of the physical-chemical parameters of the characterization of the synthetic wastewater.

Table 4 shows that by characterizing the synthetic sewage, it was possible to analyze the liquid temperature (LT) during the experiment, which showed an average of 21.81 ºC (standard deviation of 0.54 ºC), with a minimum of 21.53 ºC and a maximum of 22.11 ºC. According to Gerardi (2006), the optimal range for the performance of microorganisms is around 30ºC, being critical for temperatures below 20 ºC.

The pH of the synthetic effluent had an average of 6.71 (standard deviation of 0.20), with an operating range of 6.50 to 6.83. According to Lettinga (1995), the ideal pH value for bacterial growth is around 7.5.

Table 4 – Characterization of synthetic wastewater

Parameter

X

Avg

SSD

Min

Max

CV

LT (ºC)

189

21,81

0,54

21,53

22,11

2,38

pH

189

6,71

0,20

6,50

6,83

3,14

DO (mg.L-1)

189

0,93

0,10

0,50

1,12

19,97

BA (mgCaCO3.L-1)

189

216

20

146

240

8,32

VA (mgHAc.L-1)

25

80

8

63

91

12,41

TS (mg.L-1)

189

924

285

618

1332

29,61

TSS (mg.L-1)

189

143

63

18

214

61,94

COD raw samples (mg.L-1)

189

654

189

341

920

27,67

COD filtered samples (mg.L-1)

189

313

24

265

345

9,84

BOD (mg.L-1)

189

305

75

232

440

24,56

TKN (mgN-TKN.L-1)

189

39

4

34

47

10,37

Nammon (mgN-NH4+.L-1)

189

21

2

20

25

8,88

Nitrite (mgN-NO2-.L-1)

189

0,02

0,01

0,01

0,04

32,67

Nitrate- (mgN-NO3-.L-1)

189

3,90

0,23

3,73

4,28

5,86

Phosphorus (mgPO43.L-1)

189

10,37

0,93

9,22

11,81

8,95

Source: Authors (2024)

Bicarbonate alkalinity (BA) and volatile acids (VA), the averages were 216 mg.L-1 for AB and 80 mg.L-1 for AV. These parameters are important because they can influence the nitrification and denitrification stages that occur inside the reactor. Oliveira Netto (2007) in his research used sanitary effluent with an average bicarbonate alkalinity value of 115 mg.L-1 (14) and volatile acids of 76 mg.L-1 (10).

When observing Table 4, it can be stated that the sanitary sewage used has similar characteristics to weak sanitary sewage in terms of TSS (143 mg.L-1) and medium in terms of TS (924 mg.L-1), since Metcalf and Eddy (2005) classify sanitary sewage according to the TSS concentration as weak with 120 mg.L-1, medium with 210 mg.L-1 and strong with 400 mg.L-1 and TS as weak with 390 mg.L-1, medium with 720 mg.L-1 and strong with 1230 mg.L-1.

In the analysis of chemical oxygen demand for the raw samples (Crude COD), there was a variation from 341 mg.L-1 to 920 mg.L-1, with an average value of 654 mg.L-1 (189). In the analysis of chemical oxygen demand for the filtered samples (COD F), the variation was from 265 mg.L-1 to 345 mg.L-1, with an average of 313 mg.L-1 (24).

With the values found, cited above, it can also be stated according to Metcalf and Eddy (2005) that the effluent used in the research has characteristics similar to sanitary sewage with medium to high concentration in terms of COD.

For the biochemical oxygen demand (BOD) samples, the variation was from 232 mg.L-1 to 440 mg.L-1, with an average of 305 mg.L-1 (75). According to the report by Metcalf and Eddy (2005), the sewage can be considered to have a medium concentration.

When analyzing the nitrogen series, it was possible to observe average values of 39 mg.L-1 (4) for the total Kjeldahl nitrogen (TKN) parameter, 21 mg.L-1 (2) for ammoniacal nitrogen (Nammon), 0.02 mg.L-1 (0.01) for nitrite and 3.90 mg.L-1 (0.23) for nitrate. For the phosphorus samples, the variation was from 9.22 mg.L-1 to 11.81 mg.L-1 with an average value of 10.37 mg.L-1 (0.93).

In general, the calculated coefficients of variation (CV) are different for each parameter. It is possible to observe that the parameter with the greatest variation was TSS with 61.94% and the one with the smallest variation was TL with 2.38%. The higher variations when compared to the smaller ones may indicate the instability of the conditions, which were not controlled, since it is a biological system, with continuous feeding and without any control of the parameters analyzed.

3.2 Influence of Recirculation Rate on Reactor Performance Regarding Nitrogen and Phosphorus Removal

In this stage, the HDT of 8 h and the aeration flow rate of 10 L min-1 were kept constant, and the recirculation rate was varied by 50%, 100% and 150%, respectively. The organic load applied in this condition was 1.04 kg COD m-3 d-1. The collection points were at the reactor inflow point (A), i.e., the synthetic sewage, simulating the real sanitary sewage, and at the reactor effluent point (E).

Based on the results obtained in this stage, boxplot graphs were constructed, which correspond to the distribution of the results of the physical and chemical analyses performed in the stage with constant HDT of 8 h and recirculation ratio of 50%, 100% and 150%. Figure 1 corresponds to the graphs of the parameters liquid temperature (TL), dissolved oxygen (DO) and pH.

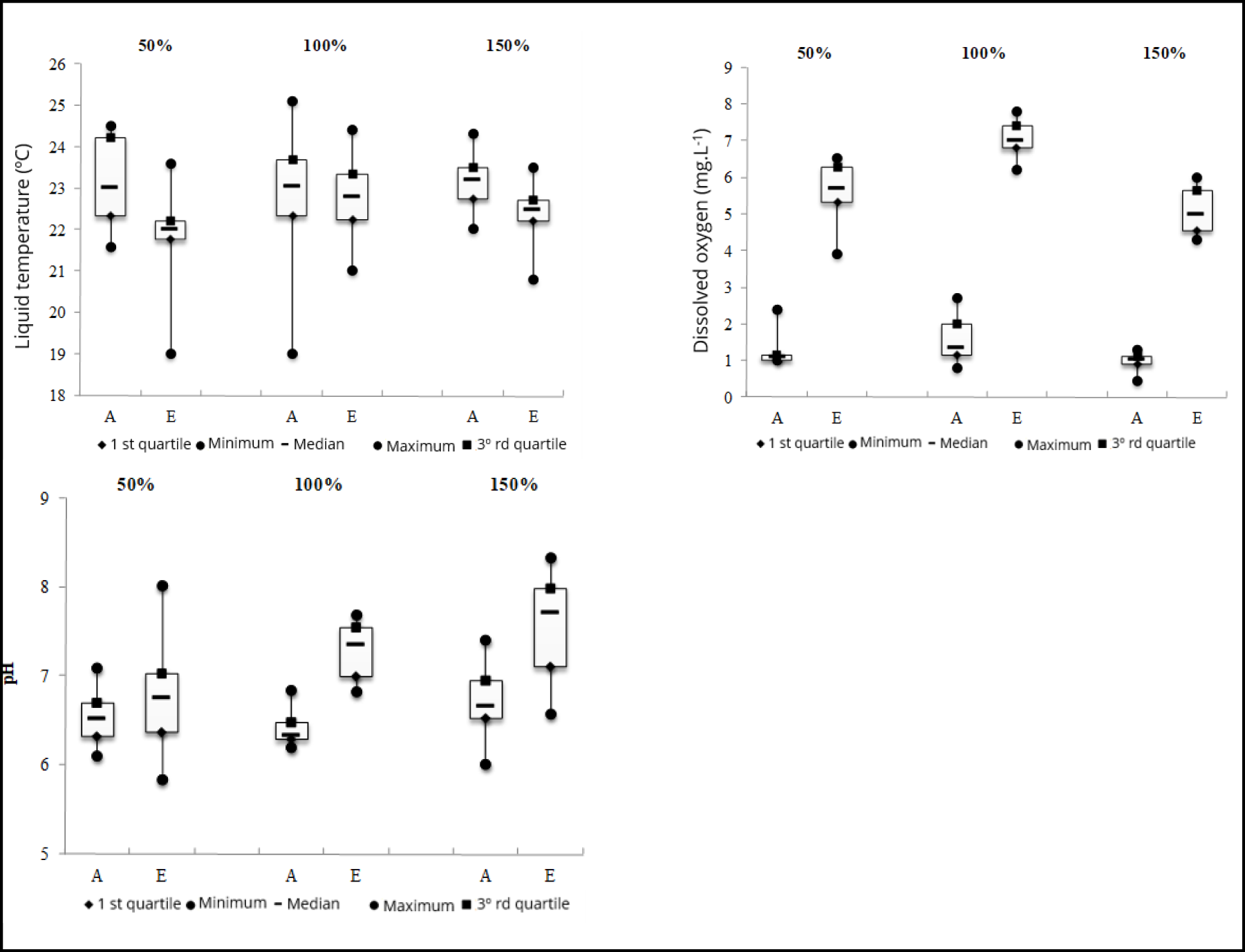
Figure 1 – Results of the LT, DO, pH parameters analyzed in the 8-h HDT for the recirculation flow rates of 50%, 100% and 150%

Source: Authors (2024)

Figure 1 shows the LT values for the effluent, which resulted in 25% (1st quartile) of the samples being below 21.75 °C for R50%; 22.25 °C for R100% and 22.19 °C for R150%. And 75% of the samples (3rd quartile) were above 22.20 °C for R50%; 23.35 °C for R100% and 22.70 °C for R150%.

Since the values for the liquid temperature did not have significant variations, the adaptation of microorganisms is facilitated and, as a consequence, the combined system also does, that is, the 1st quartile and 3rd quartile had similar values in the recirculation variations.

The average values for the effluent temperature were 21.71 ºC (0.79) for R50%; 22.71 ºC (0.35) for R100% and 22.47 ºC (0.37) for R150%. With variations of 20.90 to 22.97 ºC for R50%; 21.70 to 24.10 ºC for R100% and for R150% 22.01 to 23.20 ºC. The temperature interferes with the biological biodegradation of the treatment system, and the biological activity increases with the increase in temperature (Jordão and Pessoa, 2011).

The dissolved oxygen concentration was also presented, the median was 5.70 mg L-1 for the effluent and 1.10 mg L-1 for the influent at R50%; 7.00 mg L-1 for the effluent and 1.35 mg L-1 for the influent at R100% and 5.00 mg L-1 for the effluent and 1.04 mg L-1 in the influent at R150%.

Table 5 shows the average efficiencies found for the analyzes at a constant HDT of 8 h with recirculation ratios of 50%, 100% and 150%.

The average values of the samples for the concentration of dissolved oxygen in the effluent were 5.84 mg L-1 (0.51) for R50%; 7.12 mg L-1 (0.39) for R100% and 4.99 mg L-1 (0.22) for R150%. For Nogueira (1998) and Gerardi (2006), these values contribute to nitrification, since for the oxidation of ammonia and the nitrification process to occur, dissolved oxygen values must be above 2.0 mg L-1.

The effluent pH values were 75% higher than 6.75 in R50%; 7.35 in R100% and 7.71 in R150%. According to Surampalli et al. (1997), for the nitrification process to occur, the optimal pH range is between 7.5 and 8.0; The data in this study were close to the reported range.

According to Lettinga (1996), the optimum growth of methane-producing bacteria is in the pH range between 6.6 and 7.4, and for acid-producing bacteria, the pH range is between 5.0 and 6.0. Thus, observing the pH of the samples in this study, it was possible to verify that they favor the optimum growth of methane-producing bacteria.

Table 5 shows the average efficiencies found for the analyses at a constant HDT of 8 h with a recirculation ratio of 50%, 100% and 150%.

Table 5 – Efficiencies found for the analyses at a constant HDT of 8 h with a recirculation ratio of 50%, 100% and 150%

Parameter (%)

Recirculation ratio

50%

100%

150%

COD raw

97

90

95

COD filtered

86

85

84

TKN

70

97

68

Nammon

56

99

45

Nitrification

66

80

50

Desnitrification

64

79

56

Ntotal

51

54

45

Phosphorus

21

9

33

TSS

91

96

95

TS

83

39

57

Source: Authors (2024)

Table 5 shows the average removal values for the amount of organic matter, expressed by the chemical oxygen demand in raw and filtered samples. They are close to those found by Pantoja (2011) in the treatment of wastewater with AAFBR in post-treatment of UASB, with an efficiency of 87% and stabilization of nitrification. Oliveira Netto (2007) studied an anaerobic-aerobic fixed bed reactor in the treatment of sanitary sewage and obtained 92% efficiency for the removal of organic matter expressed by the chemical oxygen demand.

For the removal of TKN, it can be seen in Table 2 that R100% was the one that presented the highest removal efficiency with 97%. The same occurred for Namon with 99%. This may indicate that recirculation ratios lower or higher than 100% may impair the removal efficiency of the system.

Rebah et al. (2010) studied a combined reactor, with a volume of 44 L, with ascending flow, with a clay and plastic support medium, in the treatment of synthetic sewage with a HDT of 36 h. In this study, the authors obtained removal efficiencies of 90% for the amount of organic matter expressed by the chemical oxygen demand (raw sample), 64% for Namon and 53% for total nitrogen. In the present study, the highest removal efficiency results achieved for these parameters were at R100%.

It was possible to verify that, regarding nitrification, denitrification and total nitrogen, the best recirculation ratio was 100%. In this variation, 80% nitrification and 79% denitrification and 54% total nitrogen were obtained, thus indicating that intermediate recirculation ratios favor better system performance. The same occurred for TSS with 96% removal efficiency at the 100% recirculation ratio.

For the phosphorus parameter, the highest removal efficiency obtained was 33% at the 150% recirculation ratio. For TS, the highest removal efficiency was 83% for the 50% recirculation ratio.

In general, when comparing the removal efficiencies, it is possible to note that the 100% recirculation ratio when combined with the 8-h HDT resulted in higher efficiencies than the 50% and 150% recirculation ratios. This may indicate that values above or below 100% affect the system performance for most of the parameters analyzed.

It is also important to emphasize that recirculation is used to promote denitrification, and that the configuration without recirculation was not tested in this work. This is because previous research has shown low efficiencies when compared to the recirculation ratios applied.

3.3 Hydrodynamic Behavior

From the experimental results of the stimulus response tests, it was possible to plot the variation curves of the eosin Y concentration in the AAFBR effluent samples over time, for the constant HDT of 8 h, with a recirculation ratio of 50% (Figure 2), 100% (Figure 3) and 150% (Figure 4).

Figure 2 – Eosin Y concentration over time, at 8 h HDT for R50%: a) 1st assay and b) 2nd assay

Source: Authors (2024)

Figure 3 – Eosin Y concentration over time, at 8 h HDT for R100%: a) 1st assay and b) 2nd assay

Source: Authors (2024)

Figure 4 - Eosin Y concentration over time, at 8 h HDT for R150%: a) 1st assay and b) 2nd assay

Source: Authors (2024)

In Figures 2, 3 and 4 it was identified that a characteristic of the hydrodynamic tests performed is the long tail phenomenon, this phenomenon is identified by the decrease in the concentration of the tracer. Lima (2001) also identified the long tail phenomenon when evaluating the hydrodynamics of a fixed bed horizontal anaerobic reactor (RAHLF), operated with water and sewage, using the tracer eosin Y.

Sarathai, Koottatep and Morel (2010) verified the long tail effect in the operation of an anaerobic compartmentalized reactor. This reactor consisted of a sedimentation chamber and three flow chambers in series and was tested under different factors such as gas velocity and hydraulic retention time of 24 h, 36 h and 48 h.

Also in Figures 2, 3 and 4 it was possible to visualize the peak of maximum concentration of the tracer under the conditions analyzed. Mendez-Romero et al. (2011) concluded that the initial concentration peak, followed by exponential decay of the tracer concentration is a typical behavior of anaerobic fixed bed reactors used in the treatment of slaughterhouse effluent.

The experimentally obtained tracer concentration curves over time were normalized according to Levenspiel (2000), which resulted in DTR curves according to the N-CSTR, LI and HI models for R50% (Figure 5), R100% (Figure 6) and R150% (Figure 7).

For Kreutz (2012), the hydrodynamic behavior of reactors lies in the fact that it allows obtaining the residence time distribution (RTD) curves of the liquid, that is, identifying the fraction of the liquid that remains in the reactor, per unit of time.

Figure 5 – RTD curves for 8 h HDT for R50%: a) 1st test and b) 2nd test

(a)

(b)

Source: Authors (2024)

Figure 6 – RTD curves for 8 h HDT for R100%: a) 1st test and b) 2nd test

(a)

(b)

Source: Authors (2024)

Figure 7 – RTD curves for 8 h HDT for R150%: a) 1st test and b) 2nd test

(a)

(b)

Source: Authors (2024)

The model that presented the best fit (Figures 5, 6 and 7) for all tested conditions (8 h HDT with recirculation variation of 50%, 100% and 150%) was the N-CSTR (tanks in series).

In addition, it is possible to note in the same figures that the long tail effect in the residence time distribution (RTD) curves can be attributed to the diffusion of the tracer in the porous medium. Jimenez et al. (1988) also observed long tails in the RTD curves. The authors report that this phenomenon indicates the slow degradation of the tracer concentration at the reactor outlet and define it as a residue of the release of the tracer from the pores of the support medium once the test pulse has passed through there.

Table 6 presents the results obtained with the adjustments of the residence time distribution curves by the theoretical mathematical models proposed by Levenspiel (2000) for the HDT of 8 h with recirculation ratios of 50%, 100% and 150%.

In all tests (Table 6) there was a delay, since the actual HDT was greater than the theoretical HDT. This phenomenon may occur due to the adsorption of the tracer in the support medium or the existence of dead zones. Kreutz (2012) also found a delay in the tracer response in relation to the theoretical HDT, and the author attributed it to the diffusion of the tracer in the dead zones and, consequently, its slow release, causing this delay. A delay in the actual HDT in relation to the theoretical HDT was also reported by Calheiros, Perico and Nunes (2009), the authors attributed it to the existence of hydraulic short circuits.

Table 6 – Results obtained with the adjustments of the residence time distribution curves for the 8 h HDT with recirculation ratio of 50%, 100% and 150%

HDT theoretical

(h)

R (%)

Assay

HDTreal

(h)

Peak (h)

Mass Recovery (%)

N-CSTR

Dµ.L-1

Correlation coefficient (r2)

LD

HD

N-CSTR

LD

HD

8

50

1

10,4

4,5

60,4

3,1

0,16

0,53

0,94

0,70

0,44

2

10,7

5,5

65,6

3,7

0,14

0,42

0,93

0,72

0,54

3

10,3

4,5

61,7

2,9

0,17

0,56

0,94

0,70

0,40

8

100

1

13,9

8,5

66,1

7,1

0,07

0,07

0,94

0,92

0,91

2

10,9

8,0

67,1

4,5

0,11

0,32

0,98

0,83

0,65

3

12,4

11,0

86,6

5,1

0,10

0,27

0,91

0,89

0,74

8

150

1

11,2

5,5

65,4

3,0

0,17

0,55

0,89

0,62

0,37

2

11,4

6,5

60,6

3,8

0,13

0,40

0,94

0,79

0,65

3

11,2

5,0

65,7

3,2

0,16

0,50

0,92

0,71

0,46

Source: Authors (2024)

Regarding the mass recovery of eosin Y (Table 3), the lowest recovery with 60.4% occurred for the 1st test of R50% and the highest recovery with 86.6% occurred for the 3rd test of R100%. In general, the HDT 8 h and R100% condition presented the highest mass recovery of the eosin Y tracer with an average of 73.3% when compared to the other conditions in R50% with an average of 62.6% and in R150% with an average of 63.9%.

Still in Table 6, the average values for the theoretical model N-CSTR were 3.2 for R50%, 5.6 for R100% and 3.33 for R150%. Kreutz (2012) obtained 3 reactors for eosin Y with a HDT of 8 h, in a bench-scale AAFBR.

Pantoja (2011) studied a AAFBR (in post-treatment of UASB) under abiotic conditions, using sodium chloride, bromophenol blue, eosin Y and blue dextran as tracers. The number of reactors using eosin Y as tracer was 3 N-CSTR and for bromophenol blue it was 6 reactors.

Observing the results of the correlation of the tested uniparametric theoretical models, it is possible to state that the recirculation ratios of 50%, 100% and 150% presented correlation coefficients that indicate complete mixing. The average coefficients were 0.94 for R50%, 0.94 for R100% and 0.92 for R150%.

Pontes (2009) investigated the hydrodynamic behavior of an ascending flow AAFBR, using expanded clay and polyurethane foam as support medium in the treatment of poultry slaughterhouse effluent at a HDT of 10 h. The author found that the reactor is close to a complete mixing reactor.

Méndez-Romero et al. (2011) evaluated the hydrodynamic behavior of a RALF with an internal diameter of 0.15 m and a length of 0.31 m and a HDT of 24 hours, treating slaughterhouse effluent. They found that the reactor presented a complete mixing regime for low volumetric rates and plug flow for high volumetric rates.

By performing the tests, it was possible to observe negative values in the calculation of the volume of dead zones for all tests performed (Table 7). These negative values for dead zones may represent the existence of preferential paths. They may also be attributed to the value of the actual HDT being higher than the theoretical HDT. The same was reported by Calheiros, Perico and Nunes (2009) and Peña et al. (2006).

Table 7 presents the results obtained for the hydraulic and hydrodynamic characteristics, such as the volume of dead zones, hydraulic efficiency and the presence of hydraulic short circuits in the tests with HDT of 8 h and recirculation ratio of 50%, 100% and 150%.

Table 7 – Results obtained for hydraulic and hydrodynamic characteristics in tests with HDT of 8h and recirculation ratio of 50%, 100% and 150%

TDH theoretical

(h)

R (%)

Assay

TDHreal

(h)

Volume of dead zones (m3)

Hydraulic Efficiency

Short circuits

8

50

1

10,4

-0,004

0,68

0,56

2

10,7

-0,004

0,73

0,69

3

10,3

-0,004

0,67

0,56

8

100

1

13,9

-0,010

0,87

1,06

2

10,9

-0,005

0,78

1,00

3

12,4

-0,007

0,81

1,38

8

150

1

11,2

-0,005

0,67

0,69

2

11,4

-0,007

0,74

0,81

3

11,2

-0,005

0,69

0,63

Source: Authors (2024)

Calheiros, Perico and Nunes (2009) assembled and studied a preliminary treatment unit, followed by sequential anaerobic reactors, each reactor had a useful volume of 862.37 L. The tracer used was sodium chloride with a HDT of 53.63 minutes.

Peña et al. (2006) studied a UASB reactor located in Ginebra, Valle del Cauca, southwestern Colombia, using 10 h, 8 h, 6 h, and 5 h as HDT. The reactor treats part of the sewage produced in the city. The raw effluent was fed from an automatic constant-flow pumping station. The presence of hydraulic short circuits occurs when Ψ ≤ 0.3 (Sarathai, Koottatep, and Morel, 2010). Thus, it can be seen that there were no hydraulic short circuits, since all the results were greater than 0.3, as can be seen in Table 7.

For Persson, Somes and Wong (1999) and Sarathai, Koottatep and Morel (2010), hydraulic efficiency can be considered poor or unsatisfactory when it is less than or equal to 0.5; or satisfactory if the result is between 0.5 and 0.75; or it can be good if the result is equal to or greater than 0.75. Thus, the average value for hydraulic efficiency (Table 7) was 0.60 for R50%, considered satisfactory. For the R100% condition, hydraulic efficiency is considered good with a value of 0.82, and for the R150% condition, hydraulic efficiency is considered satisfactory with a value of 0.71.

4 Conclusions

Parameters such as liquid temperature, dissolved oxygen concentration and pH contributed to the development of microorganisms. The effluent values for these parameters in the reactor were on average 23.1 ºC for temperature; 5.8 mg L-1 for dissolved oxygen concentration and 6.87 for pH. Bicarbonate alkalinity (with an average of 152 mg L-1 in the influent samples and 37 mg L-1 in the effluent samples) and volatile acids (with an average of 38 mg L-1 in the influent samples and 16 mg L-1 in the effluent samples) indicated stability inside the reactor, that is, it was in equilibrium. When evaluating the influence of the recirculation rate on the reactor performance regarding nitrogen and phosphorus removal, the highest efficiency for the removal of TKN and Namon was for the 8 h HDT with R 100% with 97% and 99% respectively, and for phosphorus the highest removal (33%) occurred in the 8 h HDT with R 150%.

As for the hydraulic and hydrodynamic characteristics, the flow present inside the reactor, according to the correlation coefficients and uniparametric theoretical models, was that of complete mixing.

The long tail effect in the tracer concentration curves over time and also in the DTR curves was verified, which indicates the adsorption of the tracer in the support medium.

The presence of dead zones (delay in the real HDT) was verified in all recirculation ratios (50%, 100% and 150%) for the 8 h HDT tested. The HDT 8 h and R 100% condition showed good hydraulic efficiency, as its value was greater than 0.75 and there was no presence of short circuits in any condition for the variation of the recirculation ratio, as this occurs when Ψ ≤ 0.3

Acknowledgments

The Authors would like to acknowledge the support of the Coordination for the Improvement of Higher Education Personnel (CAPES) [Financial Code 001].

REFERENCES

Calheiros, H. C., Perico, Ana C. S., Nunes, C. F. (2009). Estudo experimental de aspectos hidrodinâmicos e da partida de um reator anaeróbio sequencial tratando esgotos domésticos. Ambi-Agua, 4 (3), 144-156.

Chernicharo, C. A. L.,Van Haandel, A. C., Cavalcanti, P. F. F. (1999). Controle Operacional de Reatores aneróbios. Associação Brasileira de Engenharia Sanitária e Ambiental, 9, 221-247.

Dillalo, R.; Albertson, O. E. (1961). Volatile acids by direct titration. Journal of Water Pollution Control Federation, 33 (4), 356-365.

Eaton, A. D. Clesceri, L. S., Rice, E. W.; Greenberg, A. E. (2005). Standard methods for the examination of water and wastewater. 21. ed. Washington (EUA): American Public Health Association; American Water Works Association; Water Pollution Control Federation.

Gerardi, M. H. (2006). Wastewater Bacteria. Hoboken: John Wiley & Sons, Inc. 272 p. (Série Wasterwater Microbiology).

Jordão, E. P., Pessoa, C. A. (2011). Tratamento de Esgotos Domésticos. 6. ed. Rio de Janeiro: Abes, 969 p.

Kellner, E., Moreira, J. F. V.; Pires, E. C. (2009). Influência da estratificação térmica no volume útil e no comportamento hidrodinâmico de lagoa de estabilização: determinação experimental e teórica. Engenharia Sanitária e Ambiental, 14 (1), 129-138.

Kreutz, C. (2012). Comportamento de reator anaeróbio-aeróbio no tratamento de efluente bovino. [Tese Doutorado em Engenharia Agrícola, Universidade Estadual do Oeste do Paraná]. Repositório Institucional da UNIOESTE. https://tede.unioeste.br/handle/tede/2884

Lettinga, G. (1996). Sustainable integrated biological wastewater treatment. Water Science And Technology, 33 (3), 85-98.

LevenspieL, O. (2000). Engenharia das Reações Químicas. 3 ed. São Paulo: Edgard Blücher Ltda.

Lima, C. A. A. (2001). Tratamento de esgoto sanitário em reator horizontal de leito fixo (RAHLF) - Escala Piloto. [Tese Doutorado em Engenharia, Universidade de São Paulo]. Repositório USP. http://repositorio.eesc.usp.br/items/415e88e0-4f6a-477a-a6f1-1a84a22db0c1

Metcalf, L., Eddy, H. (2005). Wastewater Engineering: Treatment and Reuse. 4. ed. New York: Mcgraw-hill. 1819 p.

Nogueira, R. M. O. B., Lazarova, V., Manem, J., Melo, L. F. (1998). Influence of dissolved oxygen on the nitrification kinetics in a circulating bed biofilm reactor. Bioprocess Eng, 19:441-9.

Oliveira Netto, A.P., Zaiat, M. (2012). Treatment of Domestic Sewage in an Anaerobic-Aerobic Fixed-bed Reactor with Recirculation of the Liquid Phase. Clean Soil Air Water, 40 (9), 965-971.

Pantoja Filho, J. L. R. (2011). Remoção de material orgânica carbonácea e nitrogênio em reator aeróbio-anóxico de leito fixo (RAALF) aplicado ao pós-tratamento de efluente de reator anaeróbio. [Tese Doutorado em Engenharia, Universidade de São Paulo]. Repositório USP. https://repositorio.usp.br/item/002257241

Peña, M. R., MARA, D. D., Avella, G. P. (2006). Dispersion and treatment performance analysis of an UASB reactor under different hydraulic loading rates. Water Research, 50 (3), 445-452.

Persson, J., Somes, N.L. G., Wong, T. H. F. (1999). Hydraulics e sciency of constructed wetlands and ponds. Water Science and Technology, 40. 291–300.

Pontes, A. F. V. (2009). Avaliação de desempenho de reator anaeróbio-aeróbio com recirculação da fase líquida no tratamento de água residuária proveniente de abatedouro de aves. [Dissertação Mestrado em Engenharia Hidráulica e Saneamento, Universidade de São Paulo]. Repositório USP. https://www.teses.usp.br/teses/disponiveis/18/18138/tde-13082009-132238/pt-br.php

Rebah, F.B., Kantardjieff, A., Yezza, A., Jones, P. J. (2010). Performance of two combined anaerobic–aerobic biofilters packed with clay or plastic media for the treatment of highly concentrated effluent. Desalination, 141-6.

Ripley, L. E., Boyle, W. C., Converse, J. C. (1986). Improved alkalimetric monitoring for anaerobic digestion of high-strength wastes. Journal Water Pollution Control Federation, New York, 58 (5), 406-411.

Méndez-Romero, D. C., López-López, A.; Vallejo-Rodríguez, R., Léon-Becerril, E. (2011). Hydrodynamic and kinetic assessment of an anaerobic fixed-bed reactor for slaughterhouse wastewater treatment. Chemical Engineering and Processing: Process Intensification, 50 (3), 273-280.

Sarathai, Y., Koottatep, T., Morel, A. (2010). Hydraulic characteristics of an anaerobic baffled reactor as onside wastewater treatment system. Journal of Environmental Sciences, 22, 1319-1326.

Surampalli, R. Y., Tyagi, R., Scheible, O. K., Heidman, J. A. (1997). Nitrification, denitrification and phosphorus removal in sequential batch reactors. Bioresource Technology, 61 (2), 151-157.

Torres, P. (1992). Desempenho de um reator anaeróbio de manta de lodo (UASB) de bancada no tratamento de substrato sintético simulando esgotos sanitários. [Dissertação Mestrado em Engenharia Hidráulica e Saneamento, Universidade de São Paulo]. Repositório USP. https://repositorio.usp.br/item/000735964

Weber, M. I. (2006). Avaliação de um reator anaeróbio de leito fluidizado para o tratamento de resíduos líquidos da indústria de refrigerantes. [Dissertação Mestrado em Engenharia de Recursos Hídricos e Ambiental, Universidade Federal do Paraná]. Acervo Digital da UFPR. https://acervodigital.ufpr.br/handle/1884/10362

Authorship contributions

1 – Daiane Cristina de Freitas

PhD in Civil Engineering from Universidade Tecnológica Federal do Paraná

https://orcid.org/0000-0002-7543-2559 • daianecris.freitas@gmail.com

Contribution: Author

2 – Jéssica Luiza Bueno Trevizani

PhD in Civil Engineering from Universidade Tecnológica Federal do Paraná

https://orcid.org/0000-0002-8563-5915 • jlbtrevizani@gmail.com

Contribution: Author

3 – Edna Batista Rocha

Graduated in Biological Sciences from União Brasileira de Faculdades

https://orcid.org/0009-0006-5888-2554 • edna.ro@uninter.com

Contribution: Author

4 – Karina Querne de Carvalho

Civil Engineer, PhD in Hydraulic and Sanitation Engineering from Universidade Tecnológica Federal do Paraná

https://orcid.org/0000-0003-4577-7537 • kaquerne@utfpr.edu.br

Contribution: Author

5 – Fernando Hermes Passig

Environmental and Sanitary Engineer, PhD in Hydraulic and Sanitation from Universidade Tecnológica Federal do Paraná

https://orcid.org/0000-0002-7461-0616 • fhpassig@utfpr.edu.br

Contribution: Author

6 – Adriana Regina Tozzi

Master in Production Engineering from Universidade Federal do Rio Grande do Sul

https://orcid.org/0009-0009-9792-8473 • adriana.po@uninter.com

Contribution: Author

7 – Carina Pedrozo

Master in Water Resources and Environment from Universidade Federal do Paraná

https://orcid.org/0009-0009-6814-7192 • carina.p@uninter.com

Contribution: Author

How to quote this article

Freitas, D. C., Treviani, J. L. B., Rocha, E. B., Carvalho, K. Q., Passig, F. H., Tozzi, A. R., Pedrozo, C. (2025). Influence of the recirculation rate on the performance of Anerobic Aerobic Fixed Bed Reactor (AAFBR). Ciência e Natura, Santa Maria, v. 47, n. esp. 2, e91482. DOI 10.5902/2179460X91482. Disponível em: https://doi.org/10.5902/2179460X91482.