Universidade Federal de Santa Maria

Ci. e Nat., Santa Maria, v. 47, spe. 2, e89892 2025

DOI: 10.5902/2179460X89892

ISSN 2179-460X

Submitted: 11/22/2024 • Approved: 05/21/2025 • Published: 06/27/2025

1 INTRODUCTION

2 MATERIALS AND METHODS

3 RESULTS AND DISCUSSION

4 DISCUSSION

5 CONCLUSIONS

ACKNOWLEDGMENTS

REFERENCES

Chemistry

Poly (-vinyl alcohol) and sodium alginate foam wound dressing loaded with propolis and vitamin A: biological activity and biocompatibility

Curativo de espuma de poli (álcool vinílico) e alginato de sódio carregado com própolis e vitamina A: atividade biológica e biocompatibilidade

Pedro Henrique Souza CésarIÍcone

Descrição gerada automaticamente

Jorge Pamplona PagnossaI

Roberta Hilsdorf PiccoliI

Marcus Vinícius Cardoso TrentoI

Jéssica Petrine Castro PereiraI

Isaac Filipe Moreira KonigI

Juliano Elvis de OliveiraI

Silvana MarcussiI

I Universidade Federal de Lavras, Lavras, MG, Brazil

ABSTRACT

Propolis is rich in polyphenols with healing, antioxidant, bactericidal, and anti-inflammatory properties. Vitamin A plays a crucial role in epidermal differentiation and maturation, as well as in promoting angiogenesis and cellular recruitment. The use of polymeric wound dressings containing bioactive substances offers an advantageous strategy for treating wounds. In this study, we developed three types of poly (vinyl alcohol) and sodium alginate wound dressings (in ratios of 100:0, 75:25, and 50:50, v) containing propolis and vitamin A. We also evaluated two different methods of propolis extraction and their biological properties in combination with vitamin A. The wound dressings were fabricated using freeze-drying and crosslinked with glutaraldehyde. Biocompatibility tests were conducted on both the wound dressings and their components. Among the extraction methods, ultrasound-assisted extraction (UAE) of propolis was more efficient than maceration, yielding higher amounts of polyphenols. The UAE extract was particularly rich in rutin (26.4 mg/g) and quercetin (17.21 mg/g), exhibiting strong antioxidant activity. Both propolis extracts were tested against bacteria, but only the UAE extract was effective against all bacterial strains tested. The addition of vitamin A did not interfere with the biological activities of propolis. The wound dressings developed in this study hold potential for the treatment of wounds, preventing bacterial infections, and are expected to promote faster healing due to the combined effects of vitamin A and polyphenols.

Keywords: Biomedical materials; Natural products; Tissue healing; Tissue regeneration

RESUMO

A própolis é rica em polifenóis com propriedades cicatrizantes, antioxidantes, bactericidas e anti-inflamatórias. A vitamina A desempenha um papel crucial na diferenciação e maturação epidérmica, bem como na promoção da angiogênese e do recrutamento celular. A utilização de curativos poliméricos contendo substâncias bioativas oferece uma estratégia vantajosa para o tratamento de feridas. Neste estudo, desenvolvemos três tipos de curativos de poli(álcool vinílico) e alginato de sódio (nas proporções 100:0, 75:25 e 50:50, v) contendo própolis e vitamina A. Também avaliamos dois métodos diferentes. da extração de própolis e suas propriedades biológicas em combinação com vitamina A. Os curativos foram confeccionados por liofilização e reticulados com glutaraldeído. Testes de biocompatibilidade foram realizados tanto nos curativos quanto em seus componentes. Dentre os métodos de extração, a extração assistida por ultrassom (EAU) da própolis foi mais eficiente que a maceração, produzindo maiores quantidades de polifenóis. O extrato dos Emirados Árabes Unidos foi particularmente rico em rutina (26,4 mg/g) e quercetina (17,21 mg/g), exibindo forte atividade antioxidante. Ambos os extratos de própolis foram testados contra bactérias, mas apenas o extrato dos Emirados Árabes Unidos foi eficaz contra todas as cepas bacterianas testadas. A adição de vitamina A não interferiu nas atividades biológicas da própolis. Os curativos desenvolvidos neste estudo com potencial para o tratamento de feridas, prevenindo infecções bacterianas, e possivelmente promovam rápida cicatrização.

Palavras-chave: Materiais biomédicos; Produtos naturais; Cicatrização de tecidos; Regeneração de tecidos

1 INTRODUCTION

Propolis is primarily composed of resins (50%), waxes (30%), essential oils (10%), pollen (5%), and other organic compounds (5%) (Silva-Carvalho, Baltazar, & Almeida-Aguiar, 2015). The bioactive compounds in propolis, such as flavonoids, terpenes, β-sitosterol, alcohols, vitamins, and aromatic aldehydes, are responsible for its antibiotic, antioxidant, cytoprotective, and anti-inflammatory properties (Martinotti & Ranzato, 2015). Propolis has been used in traditional medicine for thousands of years and has gained scientific recognition over time. Due to its medicinal properties, propolis is considered one of the most effective natural products for treating wounds (Wagh, 2013).

Vitamin A is a lipophilic micronutrient belonging to the retinoid family (Combs, McClung, Combs, & McClung, 2017). The all-trans retinoic acid form of Vitamin A has been used to treat skin conditions such as psoriasis and acne, as well as more severe health conditions, including acute promyelocytic leukemia (Castro, Oliveira, Mahecha, & Ferreira, 2011; Mirza et al., 2006). Topical application of all-trans retinoic acid has been shown to improve wound healing in diabetic rats and to enhance collagen synthesis in diabetic human skin in organ culture (Lateef, Abatan, Aslam, Stevens, & Varani, 2005). Vitamin A plays a critical role in angiogenesis, re-epithelialization, and fibroplasia. Research has demonstrated that both local and systemic supplementation with Vitamin A promotes increased collagen synthesis (Abdelmalek & Spencer, 2006). Animals deprived of vitamin A exhibited impaired healing after surgery compared to the control group. The study reported a delay in wound closure and poor dermatologic appearance (Arruda, Siqueira, & de Valência, 2009).

Wounds can be defined as disruptions in tissue integrity, with an etiology that may be either accidental or intentional (Enoch & Leaper, 2008). Immediately after an injury, the organism activates specific pathways to control hemorrhage, prevent pathogen infection, and produce a scaffold matrix to support cell migration and angiogenesis (Arruda et al., 2009). The resolution of the wound-healing cascade is characterized by the complete closure of the injury.

Although the body possesses the biological machinery to heal and repair various types of injuries, an open and untreated wound poses a serious health risk. Such wounds are continuously exposed to pathogens and mechanical damage. Additionally, healing may be impaired, leading to excessive scar tissue formation, fibrosis, or delays in resolving the injury (Guo & DiPietro, 2010). Another critical factor to consider involves high-risk groups, such as diabetic and bedridden patients. In these cases, wound healing is a challenging process, highlighting the importance of developing technologies and devices that can promote faster wound healing and improve quality of life.

In this study, we developed wound dressings of poly(vinyl alcohol) and sodium alginate in varying ratios, incorporating propolis and vitamin A. This paper describes the method for propolis extraction, its incorporation into the material, and its biological activities. Additionally, we present preliminary data on the biocompatibility testing of the material. highly recommend that the authors use the present template and all its fonts formats, margins, spacing and other rules. Therefore, the authors simply need to replace the content of each segment, starting with the title, abstract, keyword etc.

2 Materials and Methods

2.1 Obtaining human biological material

The experimental protocols involving the use of human blood were approved by the Committee for Ethics in Research on Human Beings (COEP) of the Federal University of Lavras (CAAE: 50458821.9.0000.5148).

2.2 Reagents, Propolis and Vitamin A

Green propolis was commercially obtained from Apis Flora® (Ribeirão Preto, SP, Brazil) in lyophilized powder form. Vitamin A was acquired as an oil containing all-trans retinoic acid, with each milligram containing 3333 IU of all-trans retinoic acid (3333 IU corresponds to 0.3 µg of all-trans retinoic acid). Thrombin (Factor IIa) was purchased from Sigma. High-density polyethylene was sourced from sample bottles, and copper wire was purchased from a general store.

2.3 Green propolis extraction methods

2.3.1 Ultrasound-assisted ethanolic extraction

Ten grams of green propolis powder were dissolved in 100 mL of 80% ethanol. The solution was kept in the dark and subjected to the following parameters using a probe ultrasound: frequency – 60 kHz; power – 300 W; time – 40 minutes. After sonication, the extract was continuously agitated on an orbital shaker for three days. The solution was then vacuum-filtered and stored. The remaining material underwent a second extraction under identical conditions. Both extracts were processed using a rotary evaporator to remove ethanol, followed by freeze-drying. The resulting powder was weighed and dissolved in 80% ethanol at 20 μg/μL.

2.3.2 Methanolic extraction

Ten grams of propolis were added to 100 mL of 50% methanol and heated under reflux on a hot plate at 80°C for 15 minutes. After this step, the extract was filtered using Whatman filter paper No. 1 and stored. The remaining residue underwent two additional extractions under the same conditions. The combined extracts were processed using a rotary evaporator to remove methanol, followed by freeze-drying. The resulting material was weighed and dissolved in 80% ethanol at a concentration of 20 μg/μL.

2.4 Scaffolds preparation

The scaffolds were prepared according to César et al. (2021).

2.5 Determination of phenolic composition of extracts

The total phenolic content was measured using the Folin-Denis method, with gallic acid as the standard, for the extracts obtained by both methods: ultrasound-assisted ethanolic extraction (UAE) and methanolic extraction (ME) (AOAC, 2016).

High-performance liquid chromatography (HPLC) was performed only for UAE, using a Shimadzu UHPLC chromatograph (Shimadzu Corporation, Kyoto, Japan) equipped with two LC-20AT high-pressure pumps, an SPD-M20A UV-Vis detector, a CTO-20AC oven, a CBM-20A interface, and an automatic injector with an SIL-20A auto-sampler. Separations were carried out using a Shim-pack VP-ODS-C18 (250 mm × 4.6 mm) column, connected to a Shim-pack Column Holder (10 mm × 4.6 mm) pre-column (Shimadzu, Japan).

The phenolic standards used were gallic acid, catechin, epigallocatechin gallate, epicatechin, syringic acid, p-coumaric acid, ferulic acid, salicylic acid, resveratrol, and quercetin, all purchased from Sigma-Aldrich (St. Louis, MO, USA). The stock standard solutions were prepared in methanol (HPLC grade; Sigma-Aldrich, USA).

The mobile phase and the analysis conditions were performed according to described by Marques et al. (2016).

The phenolic compounds in the extract were identified by comparing their retention times with those of the standards. Quantification was performed by constructing analytical curves through linear regression using Origin Pro 2018 software (OriginLab, Northampton, MA, USA), with a coefficient of determination (R²) of 0.99. The addition of standards to the extracts also served as an identification parameter.

2.6 DPPH assay to determine the antioxidating activity of extracts

The antioxidant capacity of propolis extract obtained by ultrasound-assisted extraction and vitamin A was assessed by DPPH free radical scavenging, following the protocol provided by EMBRAPA (2007). A 50% methanolic solution and a 70% acetone solution were prepared in ultrapure water. Both solutions were mixed in equal parts (40 mL each) with 100 mL of ultrapure water and homogenized. In a separate container, 2.4 mg of DPPH reagent was dissolved in methanol to a final volume of 100 mL, resulting in a final concentration of 60 μM. The reagent was stored in amber glass containers, protected from heat and light, and used on the same day.

One hundred microliters of the extract solution and 100 mg fragments from each scaffold containing propolis extract and/or vitamin A were used as samples to assess antioxidant capacity. The samples were added to 3.9 mL of DPPH solution and incubated until stabilization, as indicated by the reading at 515 nm using a spectrophotometer. Methanol was used as the blank. The control antioxidant was assessed by adding 100 μL of a 0.5 mM ascorbic acid solution to 3.9 mL of DPPH solution. The total antioxidant capacity was calculated by:

The assay was performed in triplicate, and the data were plotted as the mean percentage with standard deviation.

2.7 Bactericidal activity

2.7.1 Standardization of bacterial inoculum

The following strains were used: Staphylococcus aureus ATCC 25923, Listeria monocytogenes ATCC 19117, Salmonella enteritidis AOAC 100201, and Pseudomonas aeruginosa INCQS 0025, obtained from the Food Microbiology Laboratory at the Federal University of Lavras. Stock cultures were stored at -18°C in a freezing medium (15% glycerol, 0.5% peptone, 0.3% yeast extract, and 0.5% NaCl, pH 7.2 ±0.2). To reactivate, 100 µL of the stock was transferred to 10 mL of Brain Heart Infusion (BHI) broth and incubated at 37°C for 24 h. Inoculum standardization was achieved using a growth curve, monitoring optical density (OD 600 nm), and plate counting on Trypticase Soy Agar (TSA) incubated at 37°C for 24 h, resulting in a final concentration of approximately 10⁸ CFU/mL.

2.7.2 Disc Diffusion Assay

The disc diffusion method (CLSI M100-ED29, 2019) was used with modifications. Aliquots of 100 µL from the standardized bacterial suspensions were inoculated on BHI agar at 10⁷ CFU/mL to simulate infection conditions. After spreading, 5 mm filter paper discs were placed equidistantly with 5 µL of propolis extracts (ME and UAE) at 20 µg/µL. Controls with 70% ethanol and chloramphenicol (1000 µg/mL) were also included. Three discs per plate were used for each strain, with three replicates and three assay repetitions. Plates were incubated at 37°C for 24 h, and inhibition zones were measured with a digital pachymeter. This assay was also repeated after the development of the wound dressings to confirm their maintained antimicrobial activity. The wound dressings were cut into 5 mm discs and tested as described for paper discs.

2.7.3 Minimum bactericidal concentration

The minimum bactericidal concentration (MBC) of the extracts was determined using the microdilution method with 96-well polystyrene microplates, following CLSI M100-Ed29 (2019) with modifications. Antimicrobial solutions were prepared in trypticase soy broth (TSB) at concentrations of 0.08 mg/mL (0.45% v/v), 0.16 mg/mL (0.89% v/v), 0.32 mg/mL (1.78% v/v), 0.65 mg/mL (3.57% v/v), 1.3 mg/mL (7.14% v/v), and 2.6 mg/mL (14.28% v/v). Aliquots of 140 µL of each solution were added to the wells, followed by 10 µL of the standardized bacterial cultures. The plates were incubated at 37°C for 24 h. After incubation, 10 µL aliquots were drop-plated on TSA and incubated at 37°C for 24 h. The concentration of propolis UAE that showed no bacterial growth was considered the MBC.

2.8 Biocompatibility potential of the wound dressings

Experimental protocols that require the collection and use of human blood were previously approved by the Committee for Ethics in Research on Human Beings (COEP; CAAE: 50458821.9.0000.5148) of the Federal University of Lavras.

2.8.1 Hemolysis

Hemolysis evaluation was performed according to ASTM guide F756-17 (ASTM, 2017). Blood (5 mL) from a healthy donor was collected in a heparinized vacutainer, and centrifuged at 700xg for 15 minutes to separate erythrocytes from plasma. Plasma was removed, and the erythrocyte layer was resuspended in PBS to adjust the hematocrit to 0.15%. Glutaraldehyde, propolis UAE, vitamin A/Tween 80 emulsion (0.6 μL/μL of Tween 80), and scaffolds (100:0, 75:25, and 50:50, containing propolis, vitamin A, or both) were tested. All scaffolds were 0.5 x 0.5 x 0.2 cm. Control samples included sterilized copper wire (sanded to remove polymer coating), synthetic rubber, high-density polystyrene (HDPE), and PBS. The specifications of each sample are summarized in Table 1.

Table 1 – Controls preparation for hemolysis assay

Sample

Dimensions/volume

Erythrocytes solution

(C-)

300 μL PBS

1.2 mL

(C+)

1.5 mL erythrocytes solution in ultra-pure water

-

Propolis UAE

150 μL + 150 μL PBS

1.2 mL

Vit A emulsion

50 μL + 250 μL PBS

1.2 mL

Copper Wire

~ 0.03 cm³ ~ 0.268 g

1.2 mL

Synthetic rubber

0.5 x 0.5 x 0.2 cm

1.2 mL

High-density polystyrene

0.5 x 0.5 x 0.2 cm

1.2 mL

Source: the authors (2025)

The test was conducted over a 2-hour incubation period at 37°C (water bath). Samples were gently inverted twice at 30-minute intervals. After incubation, the samples were centrifuged at 700xg for 10 minutes, forming a small erythrocyte pellet. The supernatant was collected and analyzed spectrophotometrically at 540 nm. To account for the color effect of propolis UAE, vitamin A emulsion, and wound dressings, PBS was used to calibrate the spectrophotometer. The negative control (PBS) was considered mechanical hemolysis and subtracted from all results. The assay was performed in triplicates. Total hemolysis was calculated using the formula:

Where: Sample A – absorbance of the sample in erythrocytes solution; Sample A (PBS) – absorbance of the sample in PBS, used to neutralize the color effect; C (+) A – positive control absorbance; C (-) A – negative control absorbance.

2.9 Clotting activity

Clotting activity was performed following Sagnella and Mai-Ngam (2005) with modifications. Initially, 200 μL of citrated plasma was added to test tubes placed in a thermostatic bath at 37°C. The following samples were added to each tube: propolis UAE (30 μL), vitamin A emulsion (5 μL + 25 μL PBS), and the scaffolds, in the same dimensions as those used in the hemolysis test. Each tube was observed individually, and the time until clot formation was recorded. Plasma exhibiting a sticky and denser appearance after sample addition was considered clotted. The time required for viscosity changes was noted.

Controls with only plasma, thrombin (5 μL - 0.2 μg/μL, as Factor IIa), copper wire, and high-density polystyrene were also tested. Samples that did not clot within 300 seconds were considered normal if: 1) the addition of 30 μL of 0.5 mM CaCl2 resulted in clot formation within 15 seconds, and 2) the addition of 5 μL of thrombin caused clotting within 15 seconds. Samples failing to clot within 300 seconds, and not forming a clot after the addition of CaCl2 or thrombin within the specified times, were considered non-clotting.

2.10 Effects on thrombus dissolution

The effect of the material and its components on blood thrombi was evaluated as follows. Briefly, 100 μL of whole blood was added to a 96-well microplate and allowed to clot for 15-20 minutes. Propolis UAE (10 μL + 20 μL PBS), vitamin A emulsion (5 μL + 25 μL PBS), and thrombin (5 μL - 0.2 μg/μL, as Factor IIa) were then added to the wells. Due to the material’s porosity and limited surface contact with thrombi, the wound dressings were used as per ISO 10993-12 specifications. Scaffold extraction was performed by incubating 0.2 g of material in 3 mL PBS at 30°C for 24 hours with agitation. 30 μL of the extract was used in each well.

The microplates were sealed in plastic bags to prevent thrombus drying and stored in a cell culture chamber. Thrombolysis was quantified by measuring the fluid volume aspirated from each well. The mean volume of replicates was subtracted from the initial volume (blood + sample) to calculate the percentage of thrombolysis. Samples were considered thrombotic if the fluid volume was less than the initial volume (Cintra et al., 2012). To account for evaporation, three control wells without samples were used to measure liquid loss, which was subtracted from all samples. The method was repeated three times on different days to account for test variations.

2.11 Statistical analysis

Data were analyzed by analysis of variance (ANOVA), and the means of all parameters were compared using the Scott-Knott test at a 5% significance level. Statistical analysis was conducted using the “R” statistical software.

3 RESULTS AND DISCUSSION

3.1 Extraction efficiency of phenolic compounds from propolis

In this study, we selected propolis as the primary biological agent due to its well-known pharmacological properties (Martinotti & Ranzato, 2015; Oryan, Alemzadeh, & Moshiri, 2018). We developed a polymeric wound dressing incorporating propolis extract and vitamin A. The main focus was to prepare an effective propolis extract that would yield the highest concentration of phenolic compounds. Ultrasound-assisted ethanolic extraction proved to be the most efficient method, resulting in 86.22±1.8 mg of phenolic content per gram of propolis, compared to the methanolic extraction, which yielded 18.98±1.2 mg, as quantified by the Folin-Denis method. Additionally, ethanol is a less toxic solvent than methanol.

3.2 Phenolic content analysis

The propolis extract obtained through Ultrasound-assisted ethanolic extraction (UAE) was analyzed by HPLC, identifying the following phenolic compounds: gallic acid, catechin, chlorogenic acid, caffeic acid, vanillin, p-coumaric acid, ferulic acid, salicylic acid, resveratrol, quercetin, and rutin (Figure 1).

Figure 1 – Phenolic compounds in the extract obtained by Ultrasound-assisted ethanolic extraction (UAE)

Identification by comparing the retention times of each peak with standard phenolic compounds. The identified peaks correspond to the following compounds: Peak 1 (gallic acid), Peak 2 (catechin), Peak 3 (chlorogenic acid), Peak 4 (caffeic acid), Peak 5 (vanillin), Peak 6 (p-coumaric acid), Peak 7 (ferulic acid), Peak 8 (salicylic acid), Peak 9 (resveratrol), Peak 10 (quercetin), and Peak 11 (rutin)

The identified phenolic compounds were quantified and expressed in mg g–¹, as shown in Table 2, along with their corresponding retention times.

Rutin and quercetin were the major compounds identified in the propolis extract, both of which are associated with various pharmacological effects. An unidentified peak around 26 minutes was observed, and although the supplier notes that the propolis is rich in Artepillin C (27 mg g-1), we could not confirm this compound due to the lack of a standard for comparison.

Table 2 – Phenolic compounds content in ethanolic extract of propolis (UAE) sorted by retention time

Phenolic compounds (peak)

Concentration (mg g-1)

Retention time (min)

Gallic acid

1.99

6.58

Catechin

0.24

10.47

Epigallocatechin gallate

2.16

12.11

Caffeic acid

1.14

14.32

Vanillin

1.48

16.69

p-Coumaric acid

3.87

20.60

Ferulic acid

2.21

23.27

Salicylic acid

6.88

32.11

Resveratrol

4.10

36.37

Quercetin

17.21

50.79

Rutin

26.4

53.49

Σ Phenolic compounds

57.5

Source: the authors (2025)

3.3 Microbicidal evaluation

3.3.1 Bacterial growth inhibition evaluated by disc diffusion

The content of phenolic compounds is a key factor in selecting the best extraction technique; however, the composition and type of polyphenols extracted also play a significant role. In this study, the bactericidal activity of both extracts was evaluated against four bacterial strains: two Gram-positive (Staphylococcus aureus – ATCC 25923 and Listeria monocytogenes – ATCC 19117) and two Gram-negative (Pseudomonas aeruginosa - INCQS 0025 and Salmonella enteritidis – AOAC 100201).

Infection is a significant challenge during wound healing, often delaying closure and posing a life-threatening risk for bedridden patients. Due to its relevance, antimicrobial activity was used to determine the optimal propolis concentration for fabricating wound dressings. The results for each bacterial strain are presented in Table 3.

Table 3 – Antimicrobial activity of propolis extracts in paper discs and wound dressings

Antimicrobial agent

Inhibition halo (cm)*

S. aureus

P. aeruginosa

L. monocytogenes

S. enteritis

UAE

2.2±0.2 c

1,6±0,3 d

1.7±0.2 d

2.0±0.2 c

ME

1.1±0.1 e

1.2±0.2 e

1.0±0.1 e

1.0±0.2 e

Ethanol 80%

0.1±0.0 f

0 f

0.1±0.0 f

0 f

Chloramphenicol

3.5±0.3 a

1.8±0.2 d

3.2±0.2 a

2.9±0.2 b

Wound dressings

100:0

1.7±0.1 b

1.4±0.2 d

1.6±0.2 c

1.7±0.1 b

75:25

1.9±0.1 a

1.7±0.1 b

1.9±0.2 a

1.8±0.1 a

50:50

1.9±0.2 a

1.8±0.2 a

1.8±0.2 a

1.8±0.2 a

*Values are presented as the mean of three experiments, each performed in triplicates, followed by the standard deviation (S.D.). Values with the same letter are statistically similar (Scott-Knott test, p<0.05). Letters are displayed in decreasing order

UAE: Propolis ethanolic extract obtained by ultrasound-assisted ethanolic extraction

ME: Methanolic extract

100:0 – 100% PVA: 0% Sodium Alginate; 75:25 – 75% PVA: 25% Sodium Alginate; 50:50 – 50% PVA: 50% Sodium Alginate

Source: the authors (2025)

Based on the results, UAE exhibited the best antimicrobial performance compared to ME. The effect of 80% ethanol on bacterial growth was negligible.

3.3.2 Minimum Bactericidal Concentration (MBC)

The bactericidal action of propolis (UAE) on the tested strains was evaluated, and the minimum bactericidal concentration (MBC) was determined. The MBC values for the strains were as follows: S. aureus (1.3 mg/mL), P. aeruginosa (2.6 mg/mL), L. monocytogenes (1.3 mg/mL), and S. enteritidis (1.3 mg/mL). To confirm the inhibitory effect, a drop plate assay was performed, which further verified the bactericidal effect at the indicated concentrations.

The concentration of 1.3 mg/mL (200 µg) was used as the starting point for the development of the wound dressings. It was empirically determined that the propolis extract concentration in a 1.5 mL polymeric solution should be 25 times the ratio used in the microplate well (each 1.5 mL wound dressing contains 5.2 mg of propolis, at a concentration of 20 µg/µL). This concentration was chosen to ensure that the extract is present in sufficient amounts to be gradually released from the wound dressing and exert its biological activities. Therefore, each wound dressing contains approximately 6 mg of propolis extract.

After preparing the foam wound dressings, we cut them into small disks of 5 mm in diameter and performed another disk diffusion assay to assess if the fabrication process negatively impacted the antimicrobial activity of the propolis extract. The results, shown in Table 3, demonstrate that the microbicidal activity was maintained even after fabrication. The concentration based on the Minimum Bactericidal Concentration (MBC) was sufficient to preserve the bactericidal effect against all the strains tested.

3.4 Antioxidant activity

Figure 3 – Antioxidant activity was assessed using the DPPH method

Polyvinyl alcohol (PVA) and sodium alginate mixtures were tested at the following ratios: 100:0, 75:25, and 50:50. Propolis ethanolic extract (UAE) and UAE combined with vitamin A (PA) were incorporated into these mixtures. Results are presented as the mean of three replicates ± standard deviation

Source: the authors (2025)

Antioxidant activity is a crucial parameter in our study, as it offers several benefits during the wound healing process. The DPPH assay, based on the sample’s ability to reduce the stable free radical α,α-diphenyl-β-picrylhydrazyl, is a simple, cost-effective, and reliable method to evaluate the antioxidant capacity of natural products. Figure 3 illustrates the performance of the propolis extract (UAE) and the wound dressing containing propolis extract, both alone and in combination with vitamin A.

Propolis UAE exhibited strong antioxidant activity, reducing 97% (p<0.05) of DPPH free radicals. Except for the 75:25 wound dressing containing only propolis extract (85% DPPH scavenging), all other dressings reduced at least 93% of free radicals. Due to the hydrophobic nature of vitamin A, its antioxidant potential could not be assessed via the DPPH assay.

3.5 Biocompatibility potential of the wound dressings

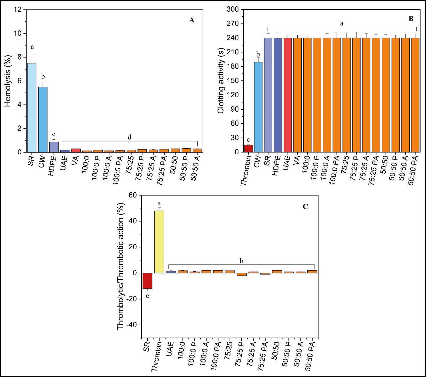
3.5.1 Effect on erythrocytes, plasma, and thrombi

A key concern with wound dressings is their interaction with living tissues and cells. To assess this, a series of biocompatibility tests were conducted. Figure 4 summarizes the results.

In this study, we tested the biocompatibility of wound dressings containing propolis extract and vitamin A, as well as the chemicals used in their fabrication. In the hemolysis assay, following ASTM guidelines (with adaptations), samples showing hemolysis levels up to 2% are classified as non-hemolytic, those between 2 and 5% as slightly hemolytic, and samples exceeding 5% as hemolytic. All evaluated samples were deemed non-hemolytic at the tested concentrations (including glutaraldehyde, known for its cytotoxicity), as none of the readings exceeded 2% (p<0.05).

The tested samples did not induce clot formation, nor did they exhibit chelation (assessed by adding CaCl2) or protease inhibition (evaluated by pre-incubation with thrombin followed by plasma addition).

We also tested the material extracts on blood thrombi to assess their ability to induce thrombosis or promote thrombolysis. While leachables can often cause incompatibility, especially in implants, the extracts of the wound dressings did not induce thrombotic or thrombolytic effects in this study.

Figure 4 – Biocompatibility Test Screening

C:\Users\User\AppData\Local\Packages\Microsoft.Windows.Photos_8wekyb3d8bbwe\TempState\ShareServiceTempFolder\Graph 4 - toxicology.jpeg

(A) Hemolysis assay: C(-) – PBS (mechanical hemolysis; values subtracted from other samples and not shown), C(+) – ultra-pure water (100% hemolysis); SR – Synthetic rubber; CW – Copper wire; HDPE – High-density polystyrene; UAE – Ultrasound-assisted propolis extract; VA – Vitamin A emulsion. Polyvinyl alcohol (PVA): Sodium Alginate (SA) ratios (100:0; 75:25; 50:50). PVA and sodium alginate mixtures were evaluated with propolis UAE (P) and vitamin A (A). (B) Clotting time assay: Thrombin (Factor IIa, 0.2 μg μL). After 300 seconds, CaCl2 was added to three replicates of each sample to induce clotting and evaluate potential chelating action. Thrombin was added to three other replicates after the same period to assess potential non-clotting mechanisms. (C) Activity on thrombi: The control SR and the wound dressings were used as extracts, as outlined in ISO 10993-12. Data are presented as the average of three repetitions ± standard deviation. Values followed by the same letter are not statistically different from each other, as determined by the Scott-Knott test (p<0.05). Letters are displayed in decreasing order

4 DISCUSSION

To maximize the medicinal properties of propolis, we tested two extraction protocols and selected the most suitable for our objectives. Most research on propolis uses ethanolic extracts by maceration, which, although effective, is time-consuming and requires manual or orbital shaking for 5 to 7 days. In our study, we evaluated ultrasound-assisted ethanolic extraction (UAE) and methanolic extraction (ME) methods.

The higher extraction efficiency observed with UAE is attributed to intense sonication, which promotes cycles of adiabatic contraction and expansion, increasing the contact surface between the solvent and propolis. This process enhances solvent penetration into the propolis bulk. To preserve the biological properties, the temperature was carefully monitored to not exceed 55°C. Additionally, sonication generates small air bubbles that create cavities in the propolis, further improving the extraction efficiency (Sagnella & Mai-Ngam, 2005; Trusheva, Trunkova, & Bankova, 2007; Yang et al., 2013).

As expected, the preliminary bactericidal assay showed that UAE performed best against both strains, likely due to its higher total phenolic content. UAE also exhibited superior antioxidant potential compared to ME. Given the reduced extraction time and its strong microbicidal and antioxidant properties, UAE was selected for all subsequent analyses.

Polyphenols in propolis, particularly rutin, are the primary bioactive compounds responsible for their anti-inflammatory, antioxidant, wound healing, and microbicidal properties. Rutin, the most abundant compound, has been linked to various therapeutic effects, including enhancing the action of other polyphenols and antibiotics like ampicillin, ciprofloxacin, and erythromycin (Amin et al., 2015, Araruna et al., 2012, Ganeshpurkar et al., 2017).

The synergistic bactericidal action of phenolic compounds, including quercetin and phenylpropanoids like p-coumaric, ferulic, caffeic, and chlorogenic acids, has been reported (Hemaiswarya & Doble, 2010). The wound-healing activity of rutin was demonstrated by Almeida et al. (2012), who developed a hydrogel containing rutin for treating cutaneous wounds in rats. Their findings showed that rutin promoted wound contraction and significantly reduced oxidative damage markers (TBARS assay and protein carbonylation) compared to the control group.

Tran et al. (2011) developed an in situ-forming hydrogel with rutin for topical wound treatment in rodents. Similar to Almeida et al. (2012), their study found that the hydrogel promoted faster wound contraction and reepithelization. Additionally, fibroblasts cultured with the rutin-loaded hydrogel showed nearly 100% cell viability compared to the control group.

Quercetin, the second most prevalent polyphenol, is a potent antioxidant that binds transition metal ions, scavenges free radicals like peroxynitrite and superoxide anion, and inhibits lipid peroxidation (Vellosa et al., 2011). It also boosts glutathione levels, aiding in the elimination of reactive oxygen species (Li et al., 2016).

Xiao et al. (2011) demonstrated that quercetin also has anti-inflammatory effects, as shown in our study (data not shown). They found that quercetin inhibits COX-2 mRNA and protein expression, reducing prostaglandin production. While inflammation is essential for wound healing, uncontrolled infection can prevent reepithelization. The combination of microbicidal and anti-inflammatory actions of polyphenols promotes effective wound healing.

Resveratrol has been shown to enhance endothelial nitric oxide synthase (eNOS) activity and increase vascular endothelial growth factor (VEGF) expression, which is crucial for angiogenesis (Khanna, 2001 , Penumathsa et al., 2007). In wound healing, resveratrol improves recovery by stimulating neovascularization, promoting collagen synthesis, and controlling inflammation, along with its antioxidant effects.

Epigallocatechin gallate (ECG) is a polyphenol with potent antioxidant properties, known to promote keratinocyte growth and differentiation at physiological concentrations (Hsu, 2003). During wound healing, the quality of scar formation indicates normal healing. Kapoor et al. (2004) demonstrated that ECG administration significantly improved scar quality by promoting the formation of better-oriented and mature collagen fibers.

Angiogenesis is a critical step in the wound healing process, particularly in the formation of granulation tissue, as it ensures oxygen and nutrient delivery to the wound site. Immunohistochemical analysis has shown that ECG promotes angiogenesis by increasing the number of new blood vessels, primarily through the upregulation of VEGF.

Vitamin A refers to a group of molecules containing a beta-ionone ring and an isoprenoid chain (retinyl group) (O’Leary, O’Brien, & Cryan, 2017). Retinoids promote collagen synthesis and inhibit its degradation, leading to increased dermal collagen content. This, in turn, normalizes elastic tissue organization and reduces scarring (Rittié, Fisher, & Voorhees, N.D.). In this study, vitamin A (all-trans retinoic acid) was incorporated for its healing properties, with its effects to be further explored in animal studies. The main focus of this work was to evaluate its impact on the biocompatibility of the wound dressings (tested in their final form according to ISO 10993) and their antioxidant profile.

While the moderate presence of resident bacteria can be beneficial for wound healing, open wounds require treatment and protection to prevent further infection. Reepithelization during wound healing depends on the tissue’s infection state (Edwards & Harding, 2004). Inadequate control of infection can impair healing and lead to chronic wounds (Pastar et al., 2014). Chronic ulcers often fail to heal completely due to biofilms from P. aeruginosa and Staphylococcus spp. (both tested here) (Guo & DiPietro, 2010).

The antibacterial activity of propolis has been widely studied and shown to be effective in controlling infections (Scazzocchio et al., 2006). Propolis extracts are generally more effective against Gram-positive bacteria than Gram-negative ones, a result observed in our work, with concentrations consistent with the literature (Wagh, 2013).

Silva et al. (2012) reported that the MBC of green propolis ethanolic extract varied between 0.59 to 1.72 mg/mL for S. aureus and 1.56 to 2.81 mg/mL for P. aeruginosa. In another study, hydrogels loaded with propolis extract showed an MBC of 1.5 mg/mL for S. aureus (ATCC 25923), which is 2.5 times higher than the value found in our work (de Lima et al., 2016).

The fabrication process of the wound dressing preserved the effectiveness of the propolis extract, though it slightly reduced the halo size. However, it’s important to note that the disc diffusion method is highly dependent on the diffusivity of compounds, and the presence of an additional barrier (wound dressing) can influence the results (Loke et al., 2000).

During normal wound healing, low levels of oxidative species are essential for fighting infection, regulating cytokine production, and acting as intracellular signaling molecules (Barku, 2019). Various wound healing processes, including angiogenesis, reepithelization, and tissue maturation, depend on the production of nitrogen oxidative species and reactive oxygen species (Muliyil & Narasimha, 2014).

In conditions such as diabetes, poor nutrition, infected tissues, or pressure sores, ROS and NOS production can become dysregulated, potentially leading to or worsening chronic wounds (Gopinath et al., 2004). Elevated ROS and NOS levels can oxidize DNA, lipids, and proteins, disrupting the wound site’s redox balance. In these cases, the natural free radical detoxifying system may be depleted or function at low capacity (Salgueiro et al., 2013; Sgambato et al., 2001).

Foam wound dressings are commonly used to treat pressure sores by providing cushioning. The incorporation of propolis, with its high antioxidant capacity, into the dressing is crucial for controlling elevated ROS and NOS levels at the wound site, thereby minimizing further damage to the healing tissues.

One major concern when working with biomaterials is their hemocompatibility. While biomaterials often exhibit excellent physical and chemical properties, they may fail in terms of biological compatibility. Therefore, achieving a balance between mechanical performance and biological response is crucial. Wound healing is a complex process involving hemostasis, inflammatory response, proliferative phase, and remodeling phase. Disruptions in any of these phases can impair recovery, increase susceptibility to infection, and increase the likelihood of chronic wounds.

According to ISO 10993-1 (2009), biomaterials in contact with breached surfaces should be tested for cytotoxicity, carcinogenicity, sensitization, irritation, pyrogenicity, and various toxicity levels. However, we believe that materials in contact with blood and clots should also be tested for hemocompatibility. Hemolysis can trigger inflammatory responses through the release of intracellular mediators (e.g., ATP and hemoglobin), or disrupt clot integrity and the clotting cascade due to oxidative damage, shear stress, antigen release, and surface charge. Such effects could impair wound healing by increasing inflammation. In our study, all tested materials (and their components) demonstrated tolerable toxicity levels under the conditions and methodologies used.

5 ConCLusions

An effective wound dressing biomaterial must induce an appropriate biological response and be biocompatible. In this study, we developed a foam wound dressing composed of PVA and sodium alginate blends, incorporated with propolis extract and vitamin A. The developed dressings retained their functionality post-fabrication, demonstrating bactericidal activity against both Gram-positive and Gram-negative bacteria, as well as significant antioxidant capacity.

These results suggest that the dressings are effective in controlling wound contamination and excessive oxidation, attributed to the polyphenols present. External studies have shown that polyphenols and vitamin A promote wound healing by stimulating angiogenesis, immune responses, tissue maturation, and improving the dermatological appearance of wounds. Biocompatibility testing of the dressings revealed no toxicity under the conditions tested. Future publications will include the physical characterization of the material and its in vivo performance.

acknowledgements

This work was supported by Conselho Nacional de Desenvolvimento Científico e Tecnológico (CNPq), Coordenação de Aperfeiçoamento de Nível Superior (CAPES), and Fundação de Amparo à Pesquisa do Estado de Minas Gerais (FAPEMIG).

REFERENCES

Abdelmalek, M., & Spencer, J. (2006). Retinoids and Wound Healing. Dermatologic Surgery, 32(10), 1219–1230. https://doi.org/10.1111/j.1524-4725.2006.32280.x

Amin, M. U., Khurram, M., Khattak, B., & Khan, J. (2015). Antibiotic additive and synergistic action of rutin, morin and quercetin against methicillin-resistant Staphylococcus aureus. BMC Complementary and Alternative Medicine, 15(1), 59. https://doi.org/10.1186/s12906-015-0580-0

Araruna, M. K. A., Brito, S. A., Morais-Braga, M. F. B., Santos, K. K. A., Souza, T. M., Leite, T. R., & Coutinho, H. D. M. (2012). Evaluation of antibiotic & antibiotic modifying activity of pilocarpine & rutin. The Indian Journal of Medical Research, 135, 252–254. http://www.ncbi.nlm.nih.gov/pubmed/22446871

Arruda, S. F., Siqueira, E. M. de A., & de Valência, F. F. (2009). Vitamin A deficiency increases hepcidin expression and oxidative stress in rats. Nutrition, 25(4), 472–478. https://doi.org/10.1016/j.nut.2008.11.030

ASTM. F756 - 17 Standard Practice for Assessment of Hemolytic Properties of Materials. (2017). https://doi.org/10.1520/F0756-17

Barku, Y. A. V. (2019). Wound healing: contributions from plant secondary metabolite antioxidants. In: Wound Healing - Current Perspectives. IntechOpen. https://doi.org/10.5772/intechopen.81208.

Castro, G. A., Oliveira, C. A., Mahecha, G. A. B., & Ferreira, L. A. M. (2011). Comedolytic effect and reduced skin irritation of a new formulation of all-trans retinoic acid-loaded solid lipid nanoparticles for topical treatment of acne. Archives of Dermatological Research, 303(7), 513–520. https://doi.org/10.1007/s00403-011-1130-3

César, P. H. S., Natarelli, C. V. L., Oliveira, J. E., Andrade, P. A., Dos Santos, T. L., Marcussi, S. (2021). Development and characterization of a poly (vinyl alcohol) and sodium alginate blend foam for wound dressing loaded with propolis and all-trans retinoic acid. Journal of applied polymer science, 138(21), e50480. https://doi.org/10.1002/app.50480

Cintra, A. C. O., De Toni, L. G. B., Sartim, M. A., Franco, J .J., Caetano, R. C., Murakami, M. T., & Sampaio, S. V. (2012). Batroxase, a new metalloproteinase from B. atrox snake venom with strong fibrinolytic activity. Toxicon : Official Journal of the International Society on Toxinology, 60(1), 70–82. https://doi.org/10.1016/j.toxicon.2012.03.018

Combs, G. F., & McClung, J.P. Chapter 6 – Vitamin A. In The Vitamins (pp. 109–159). https://doi.org/10.1016/B978-0-12-802965-7.00006-X

De Lima, G. G., de Souza, R. O., Bozzi, A. D., Poplawska, M. A., Devine, D. M., & Nugent, M. J. D. (2017). Extraction Method Plays Critical Role in Antibacterial Activity of Propolis-Loaded Hydrogels. Journal of Pharmaceutical Sciences, 105(3), 1248–1257. https://doi.org/10.1016/j.xphs.2015.12.027

Edwards, R., & Harding, K. G. (2004). Bacteria and wound healing. Current Opinion in Infectious Diseases, 17(2), 91–96. https://doi.org/10.15021046

Enoch, S., & Leaper, D. J. (2008). Basic science of wound healing. Surgery (Oxford), 26(2), 31–37. https://doi.org/10.1016/j.mpsur.2007.11.005

Ganeshpurkar, A., & Saluja, A. K. (2017). The Pharmacological Potential of Rutin. Saudi Pharmaceutical Journal, 25(2), 149–164. https://doi.org/10.1016/j.jsps.2016.04.025

Gopinath, D., Ahmed, M. R., Gomathi, K., Chitra, K., Sehgal, P., & Jayakumar, R. (2004). Dermal wound healing processes with curcumin incorporated collagen films. Biomaterials, 25(10), 1911–1917. https://doi.org/10.1016/S0142-9612(03)00625-2

Guo, S., & DiPietro, L. A. (2010). Factors Affecting Wound Healing. Journal of Dental Research, 89(3), 219–229. https://doi.org/10.1177/0022034509359125

Hsu, S. (2003). Green Tea Polyphenols Induce Differentiation and Proliferation in Epidermal Keratinocytes. Journal of Pharmacology and Experimental Therapeutics, 306(1), 29–34. https://doi.org/10.1124/jpet.103.049734

Kapoor, M., Howard, R., Hall, I., & Appleton, I. (2004). Effects of Epicatechin Gallate on Wound Healing and Scar Formation in a Full Thickness Incisional Wound Healing Model in Rats. The American Journal of Pathology, 165(1), 299–307. https://doi.org/10.1016/S0002-9440(10)63297-X

Khanna, S. (2001). Upregulation of oxidant-induced VEGF expression in cultured keratinocytes by a grape seed proanthocyanidin extract. Free Radical Biology and Medicine, 31(1), 38–42. https://doi.org/10.1016/S0891-5849(01)00544-5

Lateef, H., Abatan, O. I., Aslam, M. N., Stevens, M. J., & Varani, J. (2005). Topical Pretreatment of Diabetic Rats With All-trans Retinoic Acid Improves Healing of Subsequently Induced Abrasion Wounds. Diabetes, 54(3), 855–861. https://doi.org/10.2337/diabetes.54.3.855

Li, C., Zhang, W. J., Choi, J., & Frei, B. (2016). Quercetin affects glutathione levels and redox ratio in human aortic endothelial cells not through oxidation but formation and cellular export of quercetin-glutathione conjugates and upregulation of glutamate-cysteine ligase. Redox Biology, 9, 220–228. https://doi.org/10.1016/j.redox.2016.08.012

Loke, W. K., Lau, S. K., Yong, L. L., Khor, E., & Sum, C.K. (2000). Wound dressing with sustained anti-microbial capability. Journal of Biomedical Materials Research, 53(1), 8–17. https://doi.org/10.1002/(SICI)1097-4636(2000)53:1<8::AID-JBM2>3.0.CO;2-3

Martinotti, S., & Ranzato, E. (2015). Propolis: a new frontier for wound healing? Burns & Trauma, 3(1), 9. https://doi.org/10.1186/s41038-015-0010-z

Mirza, N., Fishman, M., Fricke, I., Dunn, M., Neuger, A. M., Frost, T. J., & et al. (2006). All-trans-Retinoic Acid Improves Differentiation of Myeloid Cells and Immune Response in Cancer Patients. Cancer Research, 66(18), 9299–9307. https://doi.org/10.1158/0008-5472.CAN-06-1690

Muliyil, S., & Narasimha, M. (2014). Mitochondrial ROS Regulates Cytoskeletal and Mitochondrial Remodeling to Tune Cell and Tissue Dynamics in a Model for Wound Healing. Developmental Cell, 28(3), 239–252. https://doi.org/10.1016/j.devcel.2013.12.019

O’Leary, C., O’Brien, F.J., & Cryan, S.A. (2017). Retinoic Acid-Loaded Collagen-Hyaluronate Scaffolds: A Bioactive Material for Respiratory Tissue Regeneration. ACS Biomaterials Science & Engineering, 3(7), 1381–1393. https://doi.org/10.1021/acsbiomaterials.6b00561

Oryan, A., Alemzadeh, E., & Moshiri, A. (2018). Potential role of propolis in wound healing: Biological properties and therapeutic activities. Biomedicine & Pharmacotherapy, 98, 469–483. https://doi.org/10.1016/j.biopha.2017.12.069

Pastar, I., Stojadinovic, O., Yin, N.C., Ramirez, H., Nusbaum, A. G., Sawaya, A., & et al. (2014). Epithelialization in Wound Healing: A Comprehensive Review. Advances in Wound Care, 3(7), 445–464. https://doi.org/1089/wound.2013.0473

Penumathsa, S. V., Thirunavukkarasu, M., Koneru, S., Juhasz, B., Zhan, L., Pant, R., & et al. (2007). Statin and resveratrol in combination induce cardioprotection against myocardial infarction in hypercholesterolemic rats. Journal of Molecular and Cellular Cardiology, 42(3), 508–516. https://doi.org/10.1016/j.yjmcc.2006.10.018

Rittié, L., Fisher, G. J., & Voorhees, J. J. (2006). Retinoid Therapy for Photoaging. In: Skin Aging. Berlin/Heidelberg: Springer-Verlag, 143–156. https://doi.org/10.1007/3-540-32953-6_13

Sagnella, S., & Mai-Ngam, K. (2005). Chitosan based surfactant polymers designed to improve blood compatibility on biomaterials. Colloids and Surfaces B: Biointerfaces, 42(2), 147–155. https://doi.org/10.1016/j.colsurfb.2004.07.001

Salgueiro, A. C. F., Leal, C. Q., Bianchini, M. C., Prado, I. O., Mendez, A. S. L., Puntel, R. L., & et al. (2013). The influence of Bauhinia forficata Link subsp. pruinosa tea on lipid peroxidation and non-protein SH groups in human erythrocytes exposed to high glucose concentrations. Journal of Ethnopharmacology, 148(1), 81–87. https://doi.org/10.1016/j.jep.2013.03.070

Scazzocchio, F., D’Auria, F. D., Alessandrini, D., & Pantanella, F. (2006). Multifactorial aspects of antimicrobial activity of propolis. Microbiological Research, 161(4), 327–333. https://doi.org/10.1016/j.micres.2005.12.003

Sgambato, A., Ardito, R., Faraglia, B., Boninsegna, A., Wolf, F. I., & Cittadini, A. (2001). Resveratrol, a natural phenolic compound, inhibits cell proliferation and prevents oxidative DNA damage. Mutation Research/Genetic Toxicology and Environmental Mutagenesis, 496(1–2), 171–180. https://doi.org/10.1016/S1383-5718(01)00232-7

Silva-Carvalho, R., Baltazar, F., & Almeida-Aguiar, C. (2015). Propolis: A Complex Natural Product with a Plethora of Biological Activities That Can Be Explored for Drug Development. Evidence-Based Complementary and Alternative Medicine, 2015, 1–29. https://doi.org/10.1155/2015/206439

Silva, J.C., Rodrigues, S., Feás, X., & Estevinho, L.M. (2012). Antimicrobial activity, phenolic profile and role in the inflammation of propolis. Food and Chemical Toxicology, 50(5), 1790–1795. https://doi.org/10.1016/j.fct.2012.02.097

Tran, N. Q., Joung, Y. K., Lih, E., & Park, K. D. (2011). In Situ Forming and Rutin-Releasing Chitosan Hydrogels As Injectable Dressings for Dermal Wound Healing. Biomacromolecules, 12(8), 2872–2880. https://doi.org/10.1021/bm200326g

Trusheva, B., Trunkova, D., & Bankova, V. (2007). Different extraction methods of biologically active components from propolis: a preliminary study. Chemistry Central Journal, 1(1), 13. https://doi.org/10.1186/1752-153X-1-13

Vellosa, J.C.R., Regasini, L. O., Khalil, N. M., Bolzani, V. S., Khalil, O. A. K. & Manente, F. A., et al. (2011). Antioxidant and cytotoxic studies for kaempferol, quercetin and isoquercitrin. Eclética Química, 36(2), 7–20. https://doi.org/10.1590/S0100-46702011000200001

Wagh, V.D. (2013). Propolis: A Wonder Bees Product and Its Pharmacological Potentials. Advances in Pharmacological Sciences, 2013, 1–11. https://doi.org/10.1155/2013/308249

Xiao, X., Shi, D., Liu, L., Wang, J., Xie, X., Kang, T., & Deng, W. (2011). Quercetin suppresses cyclooxygenase-2 expression and angiogenesis through inactivation of P300 signaling. PLoS ONE, 6(8), e22934. https://doi.org/10.1371/journal.pone.0022934.

Yang, L., Yan, Q., Ma, J., Wang, Q., Zhang, J., & Xi, G. (2013). High-performance liquid chromatographic determination of phenolic compounds in propolis. Tropical Journal of Pharmaceutical Research, 12(5). https://doi.org/10.4314/tjpr.v12i5.17

Authorship contributions

1 – Pedro Henrique Souza César

PhD in Agrochemistry - Universidade Federal de Lavras

https://orcid.org/0000-0003-3271-7797 • pedrocesar.biologia@gmail.com

Contribution: Principal Project Leader, Conceptualization, Investigation, Data curation, Writing – original draft

2 – Jorge Pamplona Pagnossa

PhD in Agricultural Microbiology - Universidade Federal de Lavras

https://orcid.org/0000-0002-7710-2254 • Smarcussi@hotmail.com

Contribution: Participated in design and coordination, Validation, Visualization, Writing – review & editing

3 – Roberta Hilsdorf Piccoli

PhD in Food Microbiology - Universidade Federal de Lavras

https://orcid.org/0000-0003-2334-9400• rhpiccoli@ufla.br

Contribution: Provided important intellectual content to prepare the article, Validation, Visualization, Writing – review & editing

4 – Marcus Vinícius Cardoso Trento

PhD in Agrochemistry - Universidade Federal de Lavras

https://orcid.org/0000-0001-8463-9052 • marcusvinicius.ct@gmail.com

Contribution: Provided important intellectual content to prepare the article, Validation, Visualization

5 – Jéssica Petrine Castro Pereira

PhD in Food Science and Technology - Universidade Federal de Lavras

https://orcid.org/0000-0002-4209-3140 • jessicapetrine@estudante.ufla.br

Contribution: Provided important intellectual content to prepare the article, Validation, Visualization

6 – Isaac Filipe Moreira Konig

PhD in Agrochemistry - Universidade Federal de Lavras

https://orcid.org/0000-0002-5887-2640 • isaac.konig@ufla.br

Contribution: Data curation, Project administration, Supervision, Writing – review & editing.

7 – Juliano Elvis de Oliveira

PhD in Biomaterials Engineering - Universidade Federal de Lavras

https://orcid.org/0000-0001-9570-8308 • juliano.oliveira@ufla.br

Contribution: Project administration, Supervision. Writing – review & editing

8 – Silvana Marcussi

PhD in Biochemistry - Universidade Federal de Lavras

https://orcid.org/0000-0002-4674-6911 • marcussi@ufla.br

Contribution: Conceptualization, Investigation, Data curation, Project administration, Supervision, Writing – review & editing

How to quote this article

César, P. H. S., Pagnossa, J. P., Piccoli, R. H., Trento, M. V. C., Pereira, J. P. C., Konig, I. F. M., Oliveira, J. E., & Marcussi, S. (2025) Poly (-vinyl alcohol) and sodium alginate foam wound dressing loaded with propolis and vitamin A: biological activity and biocompatibility. Ciência e Natura, Santa Maria, v. 47, e89892. DOI 10.5902/2179460X89892. Disponível em: https://doi.org/10.5902/2179460X89892