Universidade Federal de Santa Maria

Ci. e Nat., Santa Maria, v. 47, e87983, 2025

DOI: 10.5902/2179460X87983

ISSN 2179-460X

Submitted: 21/06/2024 • Approved: 19/02/2025 • Published: 14/03/2025

1 INTRODUÇÃO

2 O TEOREMA DE PICK

3 CONCLUSÃO

REFERÊNCIAS

Matemática

O Teorema de Pick em reticulados bidimensionaisy

Pick’s Theorem in two-dimensional lattices

Eleonesio StreyI

Suzana Carletti MachadoI

Giselle Ribeiro de Azeredo Silva Strey I

I Universidade Federal do Espírito Santo, ES, Brasil

II Universidade Federal de Viçosa, MG, Brasil

III Secretaria de Educação do Estado do Espírito Santo, ES, Brasil

RESUMO

Neste artigo é apresentada uma generalização do Teorema de Pick, a qual estabelece uma expressão para área de polígonos simples cujos vértices são pontos de um reticulado bidimensional arbitrário, em termos do determinante e do número de pontos do reticulado que pertencem ao interior e à borda do polígono.

Palavras-chave: Teorema de Pick; Áreas de polígnos; Reticulados

ABSTRACT

In this article, a generalization of Pick’s Theorem is presented, which establishes an expression for the area of simple polygons whose vertices are points of an arbitrary two-dimensional lattice, in terms of the determinant and the number of lattice points inside the polygon and on its boundary.

Keywords: Pick’s Theorem; Polygon areas; Lattices

1 INTRODUÇÃO

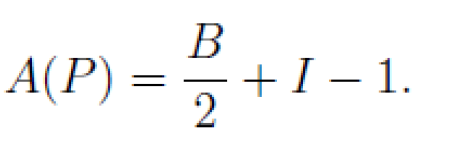
O Teorema de Pick, publicado em 1899 por Georg Alexander Pick (1859-1942), estabelece uma forma simples, e muito elegante, para determinar a área de um polígono cujos vértices são pontos de coordenadas inteiras, Pick (1899) e Lima (2012). De forma específica, o teorema afirma que se P é um polígono simples no plano cartesiano, I é o número de elementos de 2 no interior de P e B é o número de elementos de 2 que pertencem à borda de P, então a área de P é dada pela expressão

Segundo Hermes (2015), inicialmente este resultado não recebeu muita atenção, mas foi popularizado quando o matemático polonês Hugo Dyonizy Steinhaus (1887-1972) o incluiu na edição de 1969 de seu livro Mathematical Snapshots, Steinhaus (1969). A beleza deste resultado decorre de sua simplicidade e profundidade, uma vez que pode ser tanto apresentado para estudantes do Ensino Fundamental e do Ensino Médio como explorado por matemáticos e outros pesquisadores na busca por generalizações e aplicações.

Na Seção 2 é apresentada uma generalização do Teorema de Pick, a qual estabelece uma expressão para a área de polígonos simples cujos vértices pertencem a um reticulado bidimensional arbitrário, e não somente ao Reticulado 2 como na versão clássica, em termos do número de elementos do reticulado que pertencem ao interior e à borda do polígono e, também, do determinante do reticulado (Teorema 1). Este resultado é enunciado em Scott (2006). Casos particulares, diferentes do clássico, são abordados em Ren & Reay (1987). A partir do Teorema de Pick generalizado pode-se, por exemplo, mostrar que a área de um hexágono regular de lado ℓ é dada por 3ℓ2√3/2 (Exemplo 1).

2 O TEOREMA DE PICK

Um subconjunto Λ 2 é dito um reticulado (bidimensional) se existirem vetores linearmente independentes 𝑢 e 𝑣 de modo que ele seja constituído pelas combinações lineares inteiras de 𝑢 e 𝑣, ou seja, Λ = {𝑎𝑢 + 𝑏𝒗; 𝑎, 𝑏 ∈ }, Conway & Sloane (2013). Neste caso, o conjunto {𝑢, 𝑣} é denominado uma base de Λ. Na Figura 1 encontra-se ilustrado o reticulado Λ gerado pela base {𝑢 = (3,0), 𝑣 = (1,2)}, isto é, Λ = {(3𝑎 + 𝑏, 2𝑏); 𝑎 e 𝑏 são inteiros}.

Figura 1 – Reticulado gerado pela base { 𝑢 = (3,0), 𝑣 = (1,2)}

Fonte: autores (2024)

Figura 2 – Polígono simples

Fonte: autores (2024)

Sejam 𝐴1,𝐴2 . . . ,𝐴𝑛, com 𝑛 ≥ 3, pontos distintos no plano cartesiano. A região delimitada pela lista de segmentos 𝐴1𝐴2, 𝐴2𝐴3,. . . ,𝐴𝑛−1𝐴𝑛 e 𝐴𝑛𝐴1, incluindo eles, é denominada um polígono simples, desde que quaisquer dois segmentos dessa lista que tenham uma extremidade comum não estejam contidos na mesma reta e, exceto possivelmente em suas extremidades, nenhum par de segmentos se intersecta. Os segmentos 𝐴1𝐴2, 𝐴2𝐴3, . . . ,𝐴𝑛−1𝐴𝑛 e 𝐴𝑛𝐴1 e os pontos 𝐴1𝐴2, . . . , 𝐴𝑛 são chamados de lados e vértices do polígono, respectivamente. Dado um polígono simples P contendo quatro ou mais vértices, um segmento que conecta dois vértices não adjacentes é denominado uma diagonal de P se ele está contido em P e não contém outro vértice de P. Na Figura 2 encontra-se ilustrado um políıgono simples que possui quatro vértices, o segmento 𝐴1𝐴4 é uma diagonal de P enquanto que 𝐴1𝐴3 não é uma diagonal.

O resultado a seguir garante que todo polígono simples que tem, no mínimo, quatro vértices possui uma diagonal.

Lema 1. Todo polígono simples cujo número de vértices é estritamente maior do que três possui uma diagonal.

Demonstração. Sejam 𝑘 ≥ 4 um inteiro, 𝑃 um polígono cujos vértices são 𝐴1(𝑥1, 𝑦1), . . ., 𝐴k (𝑥𝑘, 𝑦k) e 𝑟 (Figura 3). Sejam 𝐴 um vértice de 𝑃 que pertence à reta 𝑟 e, 𝘉 e 𝐶 os vértices de 𝑃 que são adjacentes ao vértice 𝐴. Se o segmento 𝘉𝐶 é uma diagonal de 𝑃, tem-se o resultado. Resta, então, analisar o caso em que 𝘉𝐶 não é uma diagonal de 𝑃. Se não existem vértices de 𝑃 no interior do triângulo 𝐴𝘉𝐶 e 𝑉 é um vértice qualquer de 𝑃 que pertence ao segmento 𝘉𝐶, então o segmento 𝐴𝑉 é uma diagonal de 𝑃 (Figura 3a). Se, porém, existem vértices de 𝑃 no interior do triângulo 𝐴𝘉𝐶 e 𝑉 é um vértice de 𝑃 no interior do triângulo cuja ordenada é a menor dentre todas as possibilidades, então o segmento 𝐴𝑉 é uma diagonal de 𝑃 (Figura 3b).

Figura 3 – Existência de uma diagonal

Fonte: autores (2024)

Os próximos resultados constituem uma generalização do Teorema de Pick. A demonstração apresentada é uma adaptação da prova da versão clássica, disponível em Meneses (2016), que utiliza a segunda forma do princípio de indução finita, Santos (1998). A indução será feita sobre o número de vértices. A primeira parte da demonstração, isto é, a prova de que o resultado é válido para polígonos cujo número de vértices é igual a 3 (ou seja, triângulos), será dividida em três partes (Lemas 2, 3 e 4). Inicialmente prova-se que o resultado é válido para os casos em que o polígono é um triângulo com um de seus lados paralelo ao vetor 𝑢 e outro lado paralelo ao vetor 𝑣 ou um paralelogramo cujos lados são paralelos aos vetores mencionados (Figura 4). Em seguida, prova-se que o resultado é válido para qualquer triângulo cujos vértices pertencem ao reticulado (Lema 4). Por fim, é abordado o caso geral, isto é, prova-se que o resultado é válido para qualquer polígono simples cujos vértices pertencem ao reticulado (Teorema 1).

Figura 4 – Triângulos e paralelogramos com lados paralelos aos vetores 𝑢 e 𝑣

Fonte: autores (2024)

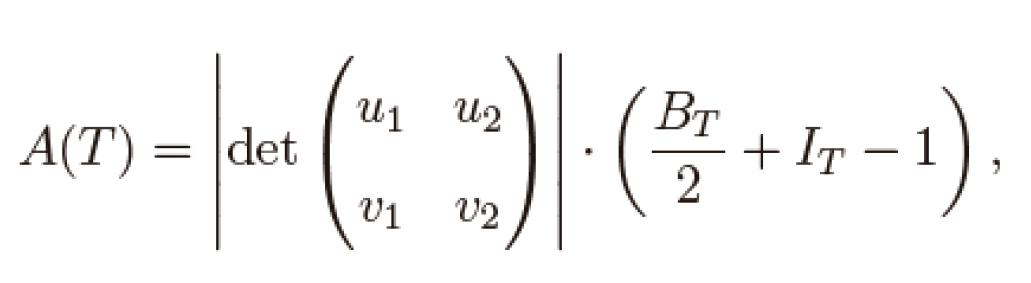
Lema 2. Sejam Λ 2 o reticulado gerado pela base {𝑢 = (𝑢1, 𝑢2), 𝑣 = (𝑣1, 𝑣2)} e 𝑇 um triângulo cujos vértices pertencem a este reticulado. Se um dos lados de 𝑇 é paralelo ao vetor 𝑢 e outro lado ao vetor 𝑣, então a área de 𝑇 é dada por

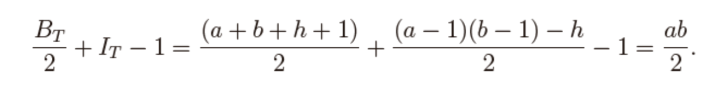
em que 𝘉𝑇 é o número de pontos do reticulado sobre a borda e 𝐼𝑇 é o número de pontos do reticulado no interior de 𝑇.

Demonstração. Sejam Λ 2 o reticulado gerado pela base {𝑢 = (𝑢1, 𝑢2), 𝑣 = (𝑣1, 𝑣2)} e 𝑇 um triângulo que satisfaz as condições mencionadas, em que as medidas dos lados paralelos aos vetores 𝑢 e 𝑣 são 𝑎 || 𝑢 || e 𝑏 || 𝑣 ||, respectivamente. Na descrição anterior, 𝑎 e 𝑏 são inteiros, || 𝑢 || = Para o Triângulo 𝑇 ilustrado na Figura 5, por exemplo, tem-se 𝑎 = 5 e 𝑏 = 4. Considere o paralelogramo 𝑅, com lados paralelos aos vetores 𝑢 e 𝑣, obtido a partir de 𝑇 (Figura 5) e denote por 𝐼𝑇 o número de pontos do reticulado que estão no inteior de 𝑇, 𝘩 o número de pontos do reticulado que pertencem ao terceiro lado de 𝑇 e que estão no interior de 𝑅 e 𝐵𝑇 o número de pontos do reticulado que pertencem aos lados de 𝑇.

Figura 5 – Paralelogramo

Fonte: autores (2024)

O número de pontos do reticulado no interior de 𝑅 é igual a (𝑎 – 1) (𝑏 – 1), pois os pontos estão dispostos em 𝑏 – 1 fileiras paralelas ao vetor 𝑢, cada uma contendo 𝑎 – 1 pontos. Assim, 𝐼𝑇 = [(𝑎 – 1) (𝑏 – 1) – h]/2. Por outro lado, tem-se 𝐵𝑇 = 𝑎 + 𝑏 + h + 1. Logo,

Portanto, a área de 𝑇 é dada por

Lema 3. Sejam Λ 2 o reticulado gerado pela base {𝑢 = (𝑢1, 𝑢2), 𝑣 = (𝑣1, 𝑣2)} e 𝑅 um paralelogramo cujos vértices pertencem a este reticulado. Se 𝑅 tem lados paralelos aos vetores 𝑢 e 𝑣, então a área de 𝑅 é dada por

em que 𝐵𝑅 é o número de pontos do reticulado sobre a borda e 𝐼𝑅 é o número de pontos do reticulado no interior de 𝑅.

Demonstração. Sejam 𝑇1 e 𝑇2 os triângulos obtidos ao traçar uma diagonal de 𝑅 (Figura 6). Cada um destes triângulos tem um lado paralelo ao vetor 𝑢 e outro lado paralelo ao vetor 𝑣.

Figura 6 – Paralelogramo 𝑅 e Triângulos 𝑇1 e 𝑇2.

Fonte: autores (2024)

Para cada 𝑖 ∈ {1,2}, denote por 𝐼𝑖 e 𝐵𝑖 o número de pontos de Λ no interior e sobre os lados de 𝑇𝑖 , respectivamente. Seja 𝑘 o número de pontso de Λ que pertencem simultaneamente ao lado comum de 𝑇1 e 𝑇2 e ao interior de 𝑅. Dessa forma, tem-se 𝐼𝑅 = 𝐼1+ 𝐼2 + 𝑘 e 𝐵𝑅 = (𝐵1– 𝑘) – 2𝑘 –2. Como a área de 𝑅 é igual a soma das áreas de 𝑇1 e 𝑇2 e o resultado é válido para 𝑇1 e 𝑇2 (Lema 2),

Lema 4. Sejam Sejam Λ 2 o reticulado gerado pela base {𝑢 = (𝑢1, 𝑢2), 𝑣 = (𝑣1, 𝑣2)} e 𝑇 um triângulo qualquer cujos vértices pertencem a este reticulado. Então, área de 𝑇 é dada por

Em que 𝐵𝑇 é o número de pontos do reticulado sobre a borda e 𝐼𝑇 é o número de pontos do reticulado no interior de 𝑇.

Figura 7 – Paralelogramo 𝑅 e triângulos 𝑇, 𝑇1 e 𝑇2

Fonte: autores (2024)

Demonstração. Seja 𝑇 um triângulo qualquer cujos vértices pertencem ao reticulado Λ. Se 𝑇 for um triângulo com um de seus lados paralelo ao vetor 𝑢 e outro paralelo ao vetor 𝑣, tem-se o resultado desejado (Lema 2). Assim, restam dois casos para analisar. O primeiro deles é quando um lado do triângulo 𝑇 é paralelo ao vetor 𝑢 e nenhum lado é paralelo ao vetor 𝑣 (Figura 7a) ou vice-versa (Figura 7b). Neste caso, considera-se o paralelogramo 𝑅, com lados paralelos aos vetores 𝑢 e 𝑣, que tem como um de seus lados um dos lados o lado de 𝑇 que é paralelo ao vetor 𝑢 (Figura 7a) ou ao vetor 𝑣 (Figura 7b), e o lado oposto a este contém um vértice de 𝑇 (Figura 7). O paralelogramo 𝑅 pode ser visto como a justaposição de 𝑇 e outros dois triângulos, que serão denotados por 𝑇1 e 𝑇2, cada um deles, por sua vez, contendo um lado paralelo ao vetor 𝑢 e outro lado paralelo ao vetor 𝑣. Denote por ℓ o número de pontos do reticulado que pertencem ao lado comum de 𝑇 e 𝑅. Nas Figuras 7a e 7b, por exemplo, tem-se = 5 e = 4, respectivamente. O número de pontos do reticulado que pertencem à união das bordas dos triângulos 𝑇1 e 𝑇2 é igual a 𝐵𝑇1 + 𝐵𝑇2 – 1, uma vez que elas têm exatamente um ponto comum. Assim, o número de pontos do reticulado que pertencem è união das bordas dos triângulos 𝑇1 e 𝑇2 é igual a (𝐵𝑇1 + 𝐵𝑇2 – 1) + (ℓ–2). Com o número de pontos do reticulado que estão simultaneamente na borda de 𝑇 e no interior de 𝑅 é igual a 𝐵𝑇 – ℓ – 1, o número de pontos do reticulado sobre a borda de 𝑅 é dado por 𝐵𝑅 = [(𝐵𝑇1 + 𝐵𝑇2 – 1) + (ℓ–2)] – (𝐵𝑇 – ℓ – 1) = 𝐵𝑇1 + 𝐵𝑇2 – 𝐵𝑇 + 2 ℓ – 2. Isto mostra que 𝐵𝑇 = 𝐵𝑇1 + 𝐵𝑇2 – 𝐵𝑅 + 2 2 ℓ – 2. Além disso, tem-se 𝐼𝑅 = 𝐼 𝑇1 + 𝐼 𝑇2 + 𝐼𝑇+ (𝐵𝑇 – ℓ – 1), isto é 𝐼𝑅 = 𝐼 𝑇1 + 𝐼 𝑇2 + ℓ = 𝐵𝑇 + 𝐼 𝑇 – 1. Por outro lado, a área de 𝑅 é igual a soma das áreas dos triângulos 𝑇, 𝑇1 e 𝑇2, isto é , 𝐴(𝑅) = 𝐴(𝑇) + 𝐴(𝑇1) + 𝐴(𝑇2) (ou seja, 𝐴 (𝑇) = 𝐴(𝑅) – 𝐴(𝑇1) – 𝐴(𝑇2)) e o resultado é válido para 𝑇1 , 𝑇2 e 𝑅 (Lemas 2 e 3). Logo,

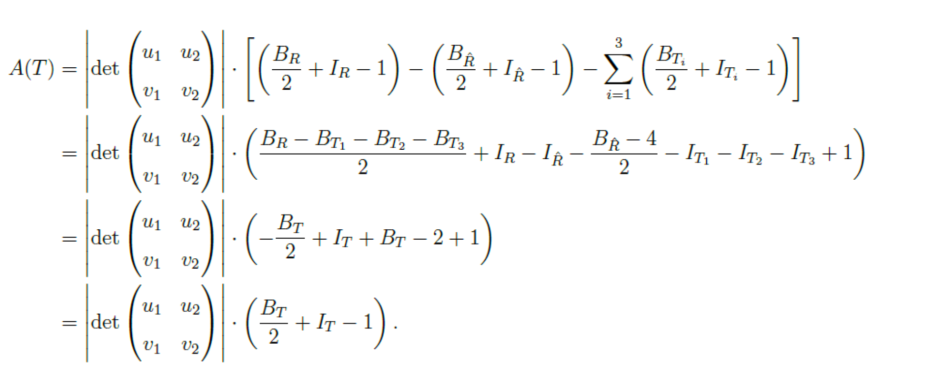
O segundo e último caso é quando nenhum dos lados de 𝑇 é paralelo ao vetor 𝑢 e nem ao vetor 𝑣. Este, por sua vez, será dividido em dois subcasos, os quais serão descritos mais adiante. Denote os vértices de 𝑇 por 𝐴1,𝐴2 e 𝐴3. Digamos que 𝐴1,𝐴2 e 𝐴3 estão localizados nos elementos do reticulado, respectivamente. Como nenhum dos lados de 𝑇 é paralelo ao vetor 𝑢 e nem ao vetor 𝑣, tem-se e , se 𝑖≠𝑗. Sem perda de generalidade, renomeando se necessário, podemos assumir que 𝑎1 < 𝑎2 < 𝑎3. Inicialmente será analisado o subcaso 𝑏1 < 𝑏2 < 𝑏3 ou 𝑏1 > 𝑏2 > 𝑏3. Com efeito, seja 𝑅 o paralelogramo, com lados paralelos aos vetores 𝑢 e 𝑣, que tem o segmento 𝐴1𝐴3 como uma de suas diagonais (Figura 8). Em símbolos, 𝑅 = {(𝑥, 𝑦) 2; 𝑎1 𝑎2 𝑎3 e 𝑏1 y 𝑏3}, se 𝑏1 < 𝑏2 < 𝑏3 (Figura 8a), ou 𝑅 = {(𝑥, 𝑦) 2; 𝑎1 𝑥𝑎3 e 𝑏1𝑦𝑏1 }, se 𝑏1 > 𝑏2 > 𝑏3 (Figura 8b). Como, em ambos os casos, 𝑎1 < 𝑎2 < 𝑎3 e 𝑏2 está entre 𝑏1 e 𝑏3, o ponto 𝐴2 encontra-se no interior de 𝑅.

Figura 8 – 𝑅 = {(𝑥, 𝑦) 2; – 2 𝑥 2 e – 1 𝑦 2 } e 𝑎1 = –2 < 𝑎3 = 2

Fonte: autores (2024)

Assim, em ambos os casos, 𝑅 pode ser visto como a justaposição de 𝑇, outros três triângulos 𝑇1, 𝑇2 e 𝑇3, cada um dos três com um lado paralelo ao vetor 𝑢 e outro lado paralelo ao vetor 𝑣, e um paralelogramo Ȓ com lados paralelos aos vetores mencionados (Figura 9).

Figura 9 – Triângulo 𝑇 sem lados paralelos aos vetores 𝑢 e 𝑣 (Subcaso 1)

Fonte: autores (2024)

O número de pontos do reticulado que pertencem à união das bordas dos triângulos 𝑇1, 𝑇2 e 𝑇3 e do paraleloframo Ȓ é igual a 𝐵𝑇1 + 𝐵𝑇2 + 𝐵𝑇3 (Figura 10a). Este número também é igual a (Figura 10b). Da igualdade obtemos

Figura 10 – Número de pontos do reticulado em cada uma das partes destacadas

Fonte: autores (2024)

Além disso, o número de pontos do reticulado que pertencem ao paralelogramo 𝑅, 𝐼𝑅 + 𝐵𝑅 , é igual a (Figura 10c). Logo, Como o resultado é válido para 𝑇1, 𝑇2 , 𝑇3, 𝑅 e Ȓ (Lemas 2 e 3) e a área de 𝑇 é igual a 𝐴(𝑇) = (uma vez que a área de 𝑅 é igual a soma das áreas de 𝑇, 𝑇1, 𝑇2 , 𝑇3 e Ȓ), tem-se

Por fim, o segundo subcaso é quando 𝑏1 < 𝑏2 e 𝑏2 > 𝑏3, ou 𝑏1 > 𝑏2 e 𝑏2 < 𝑏3. Se 𝑏1 < 𝑏2 e 𝑏2 > 𝑏3, denote por 𝑅 o paralelogramo delimitado pela reta paralela ao vetor 𝑢 que passa pelo ponto 𝐴2 , pelas retas paralelas ao vetor 𝑣 que passam pelos pontos 𝐴1 e 𝐴3 e pela reta paralela ao vetor 𝑢 que passa pelo ponto 𝐴1, se 𝑏1 < 𝑏3 (Figura 11a), ou 𝐴3, se 𝑏1 > 𝑏3 (Figura 11b).

Figura 11 – Triângulo 𝑇 sem lados paralelos aos vetores 𝑢 e 𝑣 (Subcaso 2)

Fonte: autores (2024)

Por construção, o paralelogramo 𝑅 tem lados paralelos aos vetores 𝑢 e 𝑣 e pode ser visto como a justaposição do triângulo 𝑇 e outros três triângulos 𝑇1, 𝑇2 e 𝑇3, cada um destes últimos com um lado paralelo ao vetor 𝑢 e outro lado paralelo ao vetor 𝑣 (Figura 11). O número de pontos do reticulado no interior de 𝑅 é igual a 𝐼𝑅 = 𝐼𝑇1 + 𝐼𝑇2 + 𝐼𝑇3 + ( 𝐼𝑇1 + 𝐵𝑇 – 3), a última parcela desta soma corresponde aos pontos que estão em 𝑇, com exceção de três vértices. Assim, Além disso, o número de pontos do reticulado sobre a união das bordas de 𝑇1, 𝑇2 e 𝑇3 é igual a 𝐵𝑇1 + 𝐵𝑇2 + 𝐵𝑇3 – 3 e o número de pontos do reticulado que pertencem à união das bordas de 𝑇1, 𝑇2 e 𝑇3 e estão no interior de 𝑅 é igual a 𝐵𝑇1 – 3. Logo, 𝐵𝑅 = (𝐵𝑇1 + 𝐵𝑇2 + 𝐵𝑇3 – 3) – (𝐵𝑇 –3) e, consequentemente, 𝐵𝑇 = 𝐵𝑅 – 𝐵𝑇1 – 𝐵𝑇2 – 𝐵𝑇3. Como o resultado é válido para 𝑇1, 𝑇2 e 𝑇3 e 𝑅 (Lemas 2 e 3) e a área de 𝑇 é dada por tem-se

Se, porém, 𝑏1 > 𝑏2 e 𝑏2 < 𝑏3 a prova é análoga. Isto conclui a demonstração.

Teorema 1 (Teorema de Pick em reticulados bidimensionais). Sejam Λ ⊂ ℝ2 o reticulado gerado pela base {𝑢, 𝑣} e 𝑃 um polígono simples cujos vértices pertencem a este reticulado. Se 𝑢 = (𝑢1, 𝑢2) e 𝑣 = (𝑣1, 𝑣2), então a área de 𝑃 é dada por

em que 𝐵 é o número de pontos do reticulado sobre a borda e 𝐼 é o número de pontos do reticulado no interior do polígono 𝑃.

Demonstração. A prova será feita por indução sobre o número de vértices do polígono. Se 𝑃 é um polígono com três vértices (isto é, um triângulo), temos o resultado desejado (Lema 4). Agora, seja 𝑛 ≥ 4 e suponha que o resultado é válido para todos os polígonos cujo número de vértices é estritamente menor do que 𝑛. Seja 𝑃 um polígono simples com exatamente 𝑛 vértices, digamos 𝐴1, 𝐴2, . . . 𝐴 𝑛–1 e 𝐴 𝑛 (todos pertencentes ao reticulado). O Lema 1 garante que 𝑃 possui uma diagonal. Isto implica que polígono 𝑃 pode ser dividido em dois polígonos simples que possuem exatamente um lado comum, cada um deles contendo no máximo 𝑛 – 1 vértices. Sejam 𝑃1 e 𝑃2 polígonos simples que gozam das propriedades descritas acima e cuja justaposição é o polígono 𝑃 (Figura 12).

Figura 12 – Exemplo de um polígono 𝑃, com 10 vértices, particionado em dois polígonos 𝑃1 e 𝑃2 por uma de suas diagonais, destacando o número de pontos do reticulado em cada uma das "regiões"

Fonte: autores (2024)

Defina 𝐵𝑃1, 𝐵𝑃2, 𝐼𝑃1 e 𝐼𝑃2 de forma similar ao que foi feito, por exemplo, na demonstração do Lema 3 e seja 𝑘 o número de elementos do reticulado que estão no interior de e sobre o lado comum de 𝑃1 e 𝑃2 (ou seja, sobre a diagonal do polígono 𝑃 que foi utilizada para dividi-lo). Assim, o número de pontos do reticulado que pertencem à união das bordas de 𝑃1 e 𝑃2 é igual a 𝐵𝑃1 + 𝐵𝑃2 – 𝑘 – 2. Logo, 𝐵𝑃 = (𝐵𝑃1+ 𝐵𝑃2– 𝑘 – 2) – 𝑘 = 𝐵𝑃1+ 𝐵𝑃2 –2 𝑘 – 2, ou seja, 𝐵𝑃1 + 𝐵𝑃2 = 𝐵𝑃 + 2 𝑘 +2. Além disso, 𝐼𝑃 = 𝐼𝑃1 + 𝐼𝑃2 + 𝑘, isto é, 𝐼𝑃1 + 𝐼𝑃2 = 𝐼𝑃 – 𝑘. Como a área de 𝑃 é igual a 𝐴 (𝑃) = 𝐴 (𝑃1) + 𝐴 (𝑃2) e, por hipótese de indução, o resultado é válido para 𝑃1 e 𝑃2, tem-se

Isto conclui a demonstração do teorema.

O determinante que conta no lado direito da igualdade (1), a menos do sinal, é invariante por mudança de base. Isto nos permite deifnir o determiante de Λ, o qual é denotado por det (Λ), como sendo igual ao módulo do determinante de qualquer matriz cujas linhas formam uma base de Λ. Com essa notação, a igualdade (1) pode ser reescrita como

Vale ressaltar que em algumas referências (Conway & Sloane (2013), por exemplo), o determinante de Λ é definido como o determinante de uma "matriz de Gram" do reticulado, que para reticulados bidimensionais contidos em 2 corresponde ao quadrado do determinante de qualquer matriz cujas linhas formam uma base de Λ. Logo, se essa for a definição adotada, o termo det (Λ) da igualdade (2) deve ser substituído por

Corolário 1 (Teorema de Pick). Sejam 𝑃 um polígono simples cujas vértices são pontos de coordenadas inteiras 𝐼, o número de elementos de 2 no interior de 𝑃 e 𝘉 o número de elementos de 2 que pertencem à borda de . Então, a área de é dada por

Demonstração. Como e os vetores (1,0) e (0,1) são linearmente independentes, segue que 2 é um reticulado, {(1,0), (0,1)} é uma base de 2 e, consequentemente, det (ℤ2) = 1. Para concluir, basta aplicar o Teorema 1.

Exemplo 1. Na Figura 13a encontra-se ilustrado o reticulado gerado pela base {(1, 0), (1/2,√3/2)}. Este é conhecido como reticulado hexagonal, Conway & Sloane (2013).

Figura 13 – Reticulado hexagonal

Fonte: autores (2024)

Considere, neste exemplo, o reticulado hexagonal e o hexágono regular 𝐻4 de lado = 4, conforme ilustrado na Figura 13b. Cada um dos lados desse hexágono contém 5 pontos de reticulado (pontos cinza) e, consequentemente, o número de pontos do reticulado na borda de 𝐻4 é 𝘉 = 6 . 5 – 6 = 6 . 4 = 24, pois cada vértice pertence a dois lados. Por outro lado, para contabilizar os pontos do reticulado no interior de 𝐻4 , basta observar que existem duas fileiras contendo 4 pontos cada (pontos verdes), duas com 5 pontos cada (pontos amarelos, duas com 6 pontos cada (pontos vermelhos) e uma contendo 7 pontos (pontos azuis), ou seja, o número de pontos do reticulado hexagonal no interior de 𝐻4 é 𝐼 = 2 . (4 + 5 + 6) + 7 = 37. Logo, o Teorema 1 garante que a área desse hexágono é 𝐴 (𝐻4) = √3/2 (37 + 24/2 − 1) = 24√3. De forma análoga, se é um inteiro positivo de 𝐻 é o hexágono regular de ladoposicionado no plano cartesiano de forma similar ao hexágono 𝐻4, tem-se 𝘉 = 6 ℓ e

Logo, aplicando o Teorema 1, obtemos que a área de 𝐻 é dada por

Este resultado, obviamente, também é válido no caso em que é um número real positivo.

Figura 14 – Reticulado gerado por 𝑢 = (,0) e 𝑣 = (/2, 3/2)

Fonte: autores (2024)

Para obter tal resultado via Teorema de Pick, basta utilizar o reticulado gerado pela base {(,0), (/2, 3/2)} e o hexágono 𝐻 conforme ilustrado na Figura 14. Com efeito, aplicando o Teorema 1, obtemos

Evidentemente, o Teorema 1 pode ser aplicado a uma coleção maior de polígonos, se comparado com a abrangência do Teorema de Pick clássico. O Exemplo 1 destaca muito bem esse fato, uma vez que, por exemplo, não existe um hexágono regular de lado ℓ = 1 de modo que cada um dos vértices têm ambas as coordenadas inteiras. Para verificar isso, basta observar que a área de tal hexágono é 33/2 (ou seja, um número irracional) e a de qualquer polígono simples cujos vértices possuem coordenadas internas é racional.

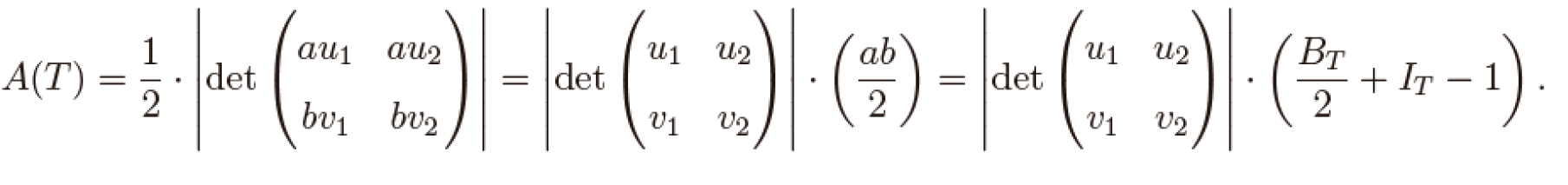
Exemplo 2. Seja 𝑃 o polígono simples ilustrado na Figura 15 cujos vértices pertencem ao reticulado gerado por 𝑢 = (3,0) e 𝑣 = (1,2). O Teorema 1 garante que a área do polígono 𝑃 é igual a

Figura 15 – Polígono 𝑃

Fonte: autores (2024)

3 CONCLUSÃO

O Teorema de Pick em reticulados bidimensionais estabele uma forma simples e muito elegante, da mesma forma que o Teorema de Pick orignal, de determinar a área de polígonos simples cujos vértices pertencem a um reticulado bidimensional arbitrário. Este resultado amplia as possibilidades de aplicações, uma vez que abrange uma coleção maior de polígonos. Por exemplo, como exibido no artigo, a partir da versão generalizada pode-se obter a área de um hexágono regular qualquer, o que não é possível a partir do Teorema de Pick original.

REFERÊNCIAS

Conway, J. H. & Sloane, N. J. A. (2013). Sphere packings, lattices and groups. (Vol. 290). Springer Science & Business Media.

Hermes, J. D. V. (2015). O teorema de pick. Ciência e Natura, 37(3), 203–213. https://doi.org/10.5902/2179460X14606.

Lima, E. L. (2012). Meu Professor de Matemática e outras histórias. (Coleção do Professor de Matemática, 6a ed). Sociedade Brasileira de Matemática.

Meneses, P. d. O. (2016). Teorema de pick e teorema espacial tipo-pick: demonstrações e aplicações no ensino médio. Master’s thesis, [Programa de Pós-Graduação em Matemática em Rede Nacional, Universidade Federal do Ceará]. Repositório Institucional UFC. http://repositorio.ufc.br/handle/riufc/17972.

Pick, G. v. (1899). Geometrisches zur zahlenlehre. Sitzenber. Lotos (Prague), 19, 311–319. https://www.zobodat.at/pdf/Lotos 47 0311-0319.pdf.

Ren, D. & Reay, J. R. (1987). The boundary characteristic and pick’s theorem in the archimedean planar tilings. Journal of Combinatorial Theory, Series A, 44(1), 110–119. https://doi.org/10.1016/0097-3165(87)90063-X.

Santos, J. P. d. O. (1998). Introdução à teoria dos números. Instituto Nacional de Matemática Pura e Aplicada.

Scott, P. (2006). Area of lattice polygons. The Australian Mathematics Teacher, 62(3), 2–5. Steinhaus, H. (1969). Mathematical snapshots. Oxford University Press.

Steinhaus, H. (1969). Mathematical snapshots. Oxford University Press

Contribuições dos autores

1 – Eleonesio Strey

Doutor em Matemática Aplicada pela Universidade Estadual de Campinas. Professor do Departamento de Matemática Pura e Aplicada, Universidade Federal do Espírito Santo, Alegre-ES.

https://orcid.org/0000-0003-0305-9553 • eleonesio.strey@ufes.br

Contribuição: Investigação; Escrita - Primeira Redação; Escrita - Revisão e Edição; Administração do Projeto

2 – Suzana Carletti Machado

Licenciada em Matemática pela Universidade Federal do Espírito Santo. Mestranda em Matemática pela Universidade Federal de Viçosa.

https://orcid.org/0009-0007-9478-2494 • suzanacarletti1@gmail.com

Contribuição: Investigação & Escrita - Primeira Redação

3 – Giselle Strey

Doutora em Matemática Aplicada pela Universidade Estadual de Campinas. Professora da Rede Pública Estadual do Espírito Santo.

https://orcid.org/0000-0001-6963-3365 • giselle.sarstrey@educador.edu.es.gov.br

Contribuição: Investigação; Escrita - Primeira Redação & Escrita - Revisão e Edição

Como citar este artigo

Strey, E., Machado, S. C., & Strey, G. R. de A. S. (2025). O Teorema de Pick em reticulados bidimensionais. Ciência e Natura, Santa Maria, v. 47, e87983. DOI: https://doi.org/10.5902/2179460X87983