Universidade Federal de Santa Maria

Ci. e Nat., Santa Maria, v. 47, e87738, 2025

DOI: 10.5902/2179460X87738

ISSN 2179-460X

Submitted: 05/16/2024 • Approved: 05/21/2025 • Published: 06/10/2025

1 INTRODUCTION

2 MATERIALS AND METHODS

3 RESULTS AND DISCUSSION

4 CONCLUSIONS

ACKNOWLEDGMENTS

REFERENCES

Environment

Biostimulants to mitigate heat stress in soybean seed germination

Bioestimulantes na atenuação do estresse térmico na germinação de sementes de soja

Kássia Silveira CrivellaroI

Raquel StefanelloI

Sylvio Henrique Bidel DornellesI

Antonio Carlos Ferreira da SilvaI

Luciane Almeri TabaldiI

Lucas Augusto da Silva GirioII

I Universidade Federal de Santa Maria, Santa Maria, RS, Brasil

II Universidade Federal do Rio Grande do Sul, Porto Alegre, RS, Brasil

ABSTRACT

This study addresses the impact of high temperatures on soybean seed germination and proposes the use of biostimulants as a strategy to mitigate heat stress. The experiment adopted a completely randomized design, in a 4 x 3 bifactorial scheme (four combinations of biostimulants x three different temperatures). Parameters were analyzed to assess the physiological quality of the seeds, including the germination test, first count, germination speed index, root and shoot length, as well as the dry mass of the seedlings. The results indicated that biostimulants played an important role in promoting the initial germination of soybean seeds, even under different heat stress conditions. Both the isolated application of the AllRefresh biostimulant and its association with Trichoderma harzianum demonstrated significant beneficial effects. These findings highlight the promising efficacy of biostimulants in improving the resistance of soybean seeds to heat stress, as well as contributing to the practical understanding of the application of these products, offering valuable insights for optimizing germination and initial seedling growth in challenging environments. The strategic use of biostimulants or plant stimulants can be a sustainable and effective tool to boost soybean productivity, especially in adverse temperature scenarios.

Keywords: Abiotic stress; Trichoderma; Plant growth promoter

RESUMO

Este estudo aborda o impacto das altas temperaturas na germinação de sementes de soja e propõe o uso de bioestimulantes como estratégia para atenuar o estresse térmico. O experimento adotou um delineamento inteiramente casualizado, em um esquema bifatorial 4 x 3 (quatro combinações de bioestimulantes x três temperaturas distintas). Parâmetros foram analisados para avaliar a qualidade fisiológica das sementes, incluindo teste de germinação, primeira contagem, índice de velocidade de germinação, comprimento de raiz e parte aérea, além da massa seca das plântulas. Os resultados indicaram que os bioestimulantes desempenharam um papel crucial na promoção da germinação inicial das sementes de soja, mesmo sob diferentes condições de estresse térmico. Tanto a aplicação isolada do bioestimulante AllRefresh® quanto a sua associação com o Trichoderma harzianum demonstraram efeitos benéficos significativos. Essas descobertas destacam a eficácia promissora dos bioestimulantes na melhoria da resistência das sementes de soja ao estresse térmico, além de contribuir para a compreensão prática da aplicação desses produtos, oferecendo insights valiosos para otimizar a germinação e o crescimento inicial das plântulas em ambientes desafiadores. A utilização estratégica de bioestimulantes ou estimulantes vegetais pode ser uma ferramenta sustentável e eficaz para impulsionar a produtividade da soja, especialmente em cenários adversos de temperatura.

Palavras-chave: Estresse abiótico; Trichoderma; Estimulante vegetal

1 INTRODUCTION

Over the centuries, agriculture has been vital to sustaining the world’s population. In the current scenario, soybean (Glycine max (L.) Merr.) plays a pivotal role and stands out among agricultural commodities. The crop also contributes to the achievement of the 17 Sustainable Development Goals (SDGs) set by the United Nations (2022), such as zero hunger (SDG 2), decent work and economic growth (SDG 8), climate change (SDG 13), and life on land (SDG 15), promoting not only economic development, especially in rural areas, but also responsible agricultural practices.

In 2020, the Brazilian government launched the “National Program of Bioinputs” (PNB), which emphasizes investments in research and technologies related to bioinputs, in line with the search for more sustainable and innovative practices in modern agriculture.

However, the urgency to expand agricultural production, especially in Rio Grande do Sul, faces climatic challenges, especially heat stress (Hassan et al., 2021). The 2019/2020 harvest in the state was marked by severe droughts, which had a significant impact on soybean production (CONAB, 2020).

In the 2022/23 harvest, the persistence of the drought has significantly affected soybean production, which faces a significant decrease compared to the 2020/21 harvest, despite an overall increase of 36% compared to the previous harvest (2021/22). The outlook for the 2023/2024 crop presents additional challenges due to high rainfall between September and December 2023, which could cause late sowing losses, followed by drought risks during the reproductive period (CONAB, 2023).

In response to these challenges, agriculture has increasingly sought to develop more sustainable and innovative practices. Understanding abiotic stresses, particularly thermal stress in plants, is crucial for promoting management strategies that minimize negative impacts and maximize crop performance. This includes adopting appropriate agricultural practices, employing stress mitigation technologies such as biostimulants, and selecting more resilient varieties (Floss, 2022).

In this study, the biostimulants Trichoderma and AllRefresh stand out as possible and promising strategies to mitigate the effects of heat stress on soybean seed germination.

It is important to highlight the notoriety of the inclusion of AllRefresh from the company Allianza Química do Brasil LTDA (2019), which in its composition contains macro and micronutrients essential for plant development, such as nitrogen derived from urea, which provides an essential soluble source fundamental for vegetative growth and protein synthesis (Ye et al., 2022), as well as magnesium, which contributes to healthy development and plays a crucial role in the formation of chlorophyll (Tian et al., 2021).

In addition, AllRefresh contains micronutrients such as zinc, copper and nickel, which play specific roles in the activation of enzymes, photosynthesis and metabolism (Stanton et al., 2021). Furthermore, AllRefresh contains plant polysaccharides and phosphorous acid, essential components that play a role in energy metabolism and root development, which is fundamental to energy transfer and storage (Guirola-Céspedes et al., 2023).

This overall composition triggers beneficial effects that increase plant resistance to stress and help combat reactive oxygen species (ROS), providing a balanced composition to optimize plant development. The registration of this product, MAPA-RS-001068-5.000013, can be verified with the Ministry of Agriculture, Livestock, and Supply (MAPA), in accordance with current legislation.

The fungus Trichoderma, as shown in the study by Woo et al. (2022), has been recognized worldwide for its significant impact on root development, biological control and enhancement of nutrient uptake. However, there is a notable gap in research aimed at fully understanding the extent to which this fungus can contribute to heat stress mitigation.

Given this challenging scenario, this study aimed to improve our understanding of the effects of heat stress on soybean seed germination. The objective was to evaluate the effect of biostimulants AllRefresh and Marechal (Trichoderma harzianum), in different temperature ranges, alone and in combination, to optimize cultivation and, above all, to mitigate the effects of heat stress on the soybean crop. Parameters such as germination, shoot length, dry mass, and root characteristics were analyzed, providing a solid basis for further research in this important area of agriculture.

2 MATERIALS AND METHODS

The experiment was conducted in a controlled environment at the Plant-Microorganism Interaction Laboratory, part of the Biology Department of the Natural and Exact Sciences Center of the Federal University of Santa Maria (UFSM), RS, from July 14 to 21, 2023.

Brasmax Garra IPRO was selected as the soybean cultivar for this study due to its outstanding representativeness in the State of Rio Grande do Sul, as highlighted at the 43rd Southern Region Soybean Research Meeting (2022).

The biostimulant application included two different products: Marechal - based on Trichoderma harzianum (1 x 10¹⁰ CFU.g-¹) in the form of a wettable powder (0.012 g for 50 g of seeds) from the company Bioagreen (2023) and AllRefresh, a liquid plant stimulant (0.6 mL for 300 g of seeds) from the company Allianza Química do Brasil LTDA (2024).

The experimental design adopted was completely randomized (DIC), organized in a 4×3 bifactorial arrangement. The four seed treatments were T0 (control - without Marechal and without AllRefresh), T1 (without Marechal and with AllRefresh), T2 (with Marechal and without AllRefresh) and T3 (with Marechal and with AllRefresh), combined with three different temperatures (25, 30 and 35 ºC).

The seeds were treated manually by carefully mixing the products with the seeds in a plastic bag until they were evenly coated. For the control treatment, only distilled water was used.

2.1 Evaluations carried out

In order to study the effects of the treatments applied, the following parameters were evaluated, as described below:

Germination test: carried out with eight replicates, each consisting of 50 seeds previously subjected to the different treatments. For this purpose, three sheets of germination paper were used, arranged in rolls, and previously moistened with distilled water at 2.5 times the mass of the paper. After sowing, the rolls were kept in a controlled environment in a BOD (Biochemical Oxygen Demand) germinator, subjected to three different temperature ranges (25, 30, and 35 ºC) and a constant 12-hour photoperiod. The counts were made on the 5th and 8th days, according to the Rules for Seed Analysis (Brasil, 2009).

Germination speed index (GSI): The daily counts of germinated seeds were made simultaneously and the GVI was calculated using the formula adapted from Maguire (1962):

GVI = (G1/N1) + (G2/N2) +... + (Gn/Nn). (1)

Where: G1, G2, Gn = number of seeds germinated in the first, second and last counts; N1, N2, Nn = number of days from sowing to the first, second and last counts.

Length, surface area, diameter and volume of seedling roots: Determinations of these parameters were carried out using the EPSON Expression 11000 scanner equipped with additional light (TPU) and set at 600 dpi. The roots were positioned on an acrylic plate containing a water film and separated to avoid overlapping. The resulting images were analyzed using WinRhizo Pro 2013 software (Regent Instrument, Quebec, Canada).

Dry mass of shoot and roots of seedlings: This procedure was performed at the same time as the germination test, where the shoot and roots of ten seedlings from each replicate were weighed separately. The seedlings were then kept in paper bags in an oven at 60 °C until they reached a constant mass (24 hours). The seedlings were then reweighed on a precision balance with a resolution of 0.001 g, and the results were expressed in milligrams (Nakagawa, 2020).

2.1.1 Statistical Analysis

The analysisThe data was initially analyzed for adherence of residuals, normal distribution and homogeneity of residual variances, using the Shapiro Wilk (p<0.05) and Bartlett (p<0.05) tests. For the variables that did not have a normal distribution, transformations were carried out using the Box-Cox family (Box & Cox, 1964), which indicated the transformations Y^’=Y^5; Y^’=1/Y; and Y’= √Y, as being the most suitable for the respective variables.

3 RESULTS AND DISCUSSION

The analysis of variance revealed a significant interaction between Treatments and Temperatures for the variables shoot length and shoot dry mass (Table 1). On the other hand, for the variables first germination count, germination and germination speed index, significant effects were observed in isolation for both Treatment and Temperature.

Table 1 – Summary of analysis of variance and mean square error significance for sources of variation (SV) and coefficient of variation (CV) for seed germination characteristics and shoot growth of soybean seedlings

SV

DF

FC

G

GSI

SL

SDM

Treatment

3

156.70*

1.634E+19*

37.68*

4.452*

23.738*

Temperature

2

462.00*

4.826E+19*

52.65*

2.390*

2.569

Treatment×Temperature

6

38.50

1.13E+18

7.42

1.287*

4.257*

Residual

84

30.60

1.38E+18

4.95

0.18

1.021

CV (%)

-

6.42

26.38

5.86

11.18

7.90

Source: Authors (2024). FC: first germination count (%); G: germination (%); GSI: germination speed index; SL: shoot length (cm); SDM: shoot dry mass (mg). *Significant by F-test with 5% probability of error

When evaluating the effect of the different seed treatments on the germination characteristics of soybeans, treatments T3, T1 and T0 showed positive and similar results (Figure 1). On the other hand, treatment T2, characterized by the use of Trichoderma and the absence of AllRefresh, showed the lowest averages. Some studies show that Trichoderma does not always have a positive effect on germination when used as a biostimulant (Chagas et al., 2017; Wiethan et al., 2018). This effect may be related to the concentration applied, the type of isolate present in the bioproduct and the agricultural species, and may vary in plant growth and in some cases may be neutral or even negative.

Regarding the germination speed index, there was a significant advantage for treatment T3, while the other treatments showed no significant differences between them. This positive effect of the biostimulants on the germination speed index can be very important for seeds in the field, as they spend less time in the soil, exposed to bad weather and soil pathogens, and pass through the initial stages of development more quickly.

Figure 1 – First germination count (a), germination (b) and germination speed index (c) of soybean seeds subjected to four treatments: control (T0), without Trichoderma and with AllRefresh (T1), with Trichoderma and without AllRefresh (T2) and with Trichoderma and with AllRefresh (T3). *Means followed by the same letter do not differ by the Skott Knott test at a 5% probability of error

Source: Authors (2024)

Temperature is a crucial factor in the germination process of seeds because it controls water absorption and alters inherent biochemical processes. This affects germination both in percentage and speed (Carvalho; Nakagawa, 2012). In this study, higher temperatures reduced efficiency in the first germination count, possibly by causing damage to the cell membrane, affecting various physiological functions (Guan et al., 2009), so caution is essential in high temperature conditions.

Figure 2 – First germination count (a), germination (b) and germination speed index (c) of soybean seeds subjected to three temperature conditions: 25, 30 and 35 °C. PMTE: point of maximum technical efficiency

Source: Authors (2024)

The quadratic responses for germination and germination speed index indicate complexity; the continuous increase in temperature can have adverse effects, highlighting the importance of finding the ideal temperature to optimize these variables, since seeds have maximum germination at temperatures that are considered optimal and are specific to each species.

Temperatures lower or higher than the optimum tend to reduce the speed of the germination process, exposing the seedlings for a longer period to adverse factors, which can lead to a reduction in total germination.The study conducted by Campobenedetto et al. (2020) revealed that seeds treated with biostimulants showed a significant reduction in oxidative stress, resulting in an increase in the germination rate. Analysis of the antioxidant system in these seeds showed a lower amount of hydrogen peroxide (H2O2), associated with lower activity and expression of detoxification enzymes. These findings attest to the ability of biostimulants to protect seeds, suggesting a defense against damage caused by thermal and possibly water stress.

When analyzing the effects of the seed treatments on the length of the shoot, for each of the temperatures studied, the highest values were observed for treatments T1 and T3 for the temperature of 25 °C, but without differing from each other (Figure 3a). At 30 °C, the highest and lowest shoot length values were obtained with treatments T1 and T0, respectively. At a temperature of 35 °C, T3 was superior to the other seed treatments, while T0, T1 and T2 did not differ.

The highest shoot dry mass values were obtained with the use of AllRefresh® (treatment T1 ), at temperatures of 25 and 30 °C (Figure 3b). In contrast, the treatments did not differ statistically at 35 °C.

When analyzing the influence of temperature on the performance of the treatments, there was a linear reduction in the length of the shoot of the soybean seedlings with increasing temperature for treatment T3 (Figure 4a). For treatments T1 and T2, quadratic responses to temperature increase were observed, with maximum efficiency values of 28.58 and 30.53 °C, respectively. No significant adaptation was observed for the T0 treatment. According to Nagasaki et al. (2022), soybean, being a C3 species, reaches its best performance at around 25º-30 °C during vegetative growth.

For treatment T1, the dry mass of the shoot showed a quadratic adaptation to the increase in temperature, with maximum efficiency obtained at 27.08 °C (Figure 4b). For treatments T0, T2 and T3 no significant adjustments were observed, i.e. for these treatments the shoot dry mass responses were not significantly influenced by the temperature ranges studied.

Figure 3 – Shoot length (a) and shoot dry mass (b) of soybean seedlings grown at three temperatures: 25, 30 and 35 °C; and subjected to four seed treatments: control (T0), without Trichoderma and with AllRefresh (T1), with Trichoderma and without AllRefresh (T2) and with Trichoderma and with AllRefresh (T3). *Means followed by the same letter do not differ by the Skott Knott test at a 5% probability of error

Source: Authors (2024)

Figure – Shoot length (a) and shoot dry mass (b) of soybean seedlings subjected to three temperature conditions: 25, 30 and 35 °C; and in four seed treatments: control (T0), without Trichoderma and with AllRefresh (T1), with Trichoderma and without AllRefresh (T2) and with Trichoderma and with AllRefresh (T3). PMTE: point of maximum technical efficiency. nsNot significant by the F test at a 5% probability of error

Source: Authors (2024)

This may indicate that this approach, using both AllRefresh alone and in combination with the fungus, both stimulants, although having a certain efficiency at different temperatures, help the seedlings, possibly through the production of Osmo protective compounds that regulate the plant’s use of water, and through detoxifying enzymes that mitigate the effects of reactive oxygen species (ROS) generated as a result of heat stress, helping the plant to protect itself beforehand. In short, this balanced combination not only mitigates the adverse effects of heat stress, but also promotes robust and sustained growth of soybean plants from their earliest stages.

The inclusion of Trichoderma harzianum in the T2 treatment showed further improvements, with positive effects from the earliest stages of development, but particularly on root development. The fungus promotes an increase in root mass, stimulates efficient nutrient uptake and strengthens the plant’s resistance to pathogens (Woo et al., 2023; Chagas, 2022). Notably, another study also showed a significant improvement in soybean root development with a 2% increase using Trichoderma harzianum (Sales et al., 2023).

Analysis of variance also showed a significant treatment×temperature interaction for the root variables studied, i.e., root length, surface area, diameter, volume, and dry mass (Table 2).

Table 2 – Summary of the analysis of variance and significance of the mean square error for the sources of variation (FV) and coefficient of variation (CV), for the root characteristics of soybean seedlings

SV

DF

RDM

Length

Area

Diameter

Volume

Treatment

3

0.0089*

43761*

1252*

0.1352*

0.0784*

Temperature

2

0.0050*

290548*

4897*

1.3243*

0.1328*

Treatment×Temperature

6

0.0011*

11604*

389*

0.1431*

0.0403*

Residual

84

0.00

1684

46

0.0128

0.0035

CV (%)

-

11.16

15.49

13.99

6.81

6.98

Source: Authors (2024). RDM: root dry mass (mg); root length (cm); root area (cm); root diameter (mm); root volume (cm³). *Significant by F-test with 5% probability of error

When analyzing the influence of seed treatment on the dry mass of soybean seedling roots, the highest mean values were obtained for treatments T2 and T3 at a temperature of 35 °C (Figure 5a). In contrast, treatment T0 had the lowest root dry mass. At temperatures of 25 and 30 °C, the treatments did not differ. This indicates a positive physiological response of the biostimulants on soybean seedlings under these conditions of high thermal stress.

Trichoderma, due to its biostimulant properties, may have triggered mechanisms that resulted in greater efficiency in nutrient absorption and increased root metabolism. This response may be related to the ability of the fungus to stimulate the production of plant hormones, such as auxins, which promote cell growth and division and contribute to an increase in root dry mass (Meyer et al., 2019).

In contrast, treatment T0, without the application of biostimulants, had the lowest root dry mass, indicating the importance of these agents in promoting root growth under adverse conditions. The absence of biostimulants may have caused the plants to be less able to cope with heat stress, resulting in less biomass accumulation in the roots.

At 25 °C, the greatest root length was observed with treatment T2 (Figure 5b). A similar response was observed at 35 °C, but without any difference from T3. At 30 °C, the shortest root length was observed for T0 (control) and the other treatments did not differ from each other.

The increase in root length in T2 at 25 °C may be related to the ability of Trichoderma to promote root elongation through the production of enzymes that degrade the cell wall, facilitating the expansion of the root system (Márquez-Dávila et al., 2020). The similar response observed at 35 °C between T2 and T3 suggests that, even under thermal stress, the presence of AllRefresh® did not significantly affect the root length induced by Trichoderma.

On the other hand, the shorter root length in T0 at 30 °C compared to the other treatments suggests that the absence of biostimulants may have compromised the plants’ ability to adapt to heat stress in this temperature range. The limited activity of the root system may have hindered the uptake of water and nutrients, resulting in reduced growth.

In this sense, the positive response to Trichoderma based on the studies of Tyśkiewicz et al. (2022) can be attributed to its ability to modulate the production of phytohormones, enzymes and metabolites that influence root growth and development. The release of substances such as indoleacetic acid and siderophores by the fungus can promote root growth, while its ability to compete with pathogens strengthens plant resistance.

In addition, the presence of AllRefresh may have complemented the action of Trichoderma, enhancing the beneficial effects on roots under heat stress. As a thermal protector, AllRefresh may have contributed to cellular homeostasis, i.e. reducing the negative effects of thermal stress on root cell integrity (Taiz & Zeiger, 2017). Taken together, these results indicate the importance of biochemical and physiological interactions between soybean plants and biostimulants, especially under adverse temperature conditions.

The largest root surface area was observed for treatment T3 at a temperature of 30 °C, while T0, T1 and T2 did not differ (Figure 5c). At 35 °C, treatment T2 resulted in the highest root surface area values, followed by T3. Again, for this variable, there was a positive effect of the biostimulants, especially Trichoderma. At a temperature of 25 °C, the treatments did not differ.

Treatments T0, T1 and T3 resulted in the highest root diameter values at 25 °C, which were similar to each other (Figure 6a), while at 30 °C the treatment with AllRefresh= alone (T1) resulted in a reduction in diameter. At 35 °C, the largest diameters were observed in treatments T0 and T1. On the other hand, treatments T2 and T3 resulted in smaller root diameters. These smaller diameter results may be of interest to seedlings, as plants with thinner and longer roots may have the potential to explore a greater volume of soil, as they have a greater surface area of the root system (Marschner, 1995), without as much carbon investment on the part of the plant.

Figure 5 – Dry mass (a), length (b) and root surface area of soybean seedlings grown at three temperatures: 25, 30 and 35 °C; and subjected to four seed treatments: control (T0), without Trichoderma and with AllRefresh (T1), with Trichoderma and without AllRefresh (T2) and with Trichoderma and with AllRefresh (T3). *Means followed by the same letter are not different by Skott Knott test with 5% probability of error

Source: Authors (2024)

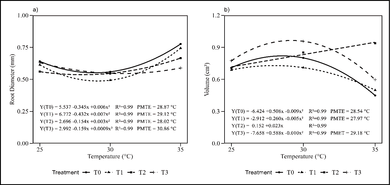
Different results were observed for root volume, i.e. the highest averages were obtained for treatments T3 and T2 at a temperature of 30 °C (Figure 6b). At 35 °C, treatment T2 produced the largest root volume. At 25 °C, the performance of the treatments was not different.

Figure 6 – Diameter (a) and root volume (b) of soybean seedlings kept at three temperatures: 25, 30 and 35 °C; and subjected to four seed treatments: control (T0), without Trichoderma and with AllRefresh (T1), with Trichoderma and without AllRefresh (T2) and with Trichoderma and with AllRefresh (T3). *Means followed by the same letter do not differ by the Skott Knott test at a 5% probability of error

Source: Authors (2024)

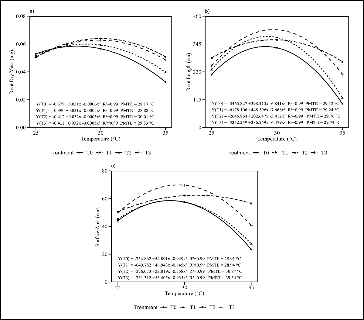
When analyzing the influence of temperatures on the performance of treatments on the root system of soybean seedlings, quadratic responses to increases in temperatures were observed for the variables root dry mass, root length and root surface area (Figure 7). For root dry mass, the temperatures that resulted in maximum efficiency (MET) were 28.17, 28.88, 30.01 and 29.83 °C, for treatments T0, T1, T2 and T3, respectively (Figure 7a).

The temperatures that resulted in PMTE for root length were 29.12, 29.24, 29.76 and 29.74 °C, for treatments T0, T1, T2 and T3, respectively (Figure 7b). For the root surface area, the temperatures 28.91, 28.94, 30.87 and 29.54 °C were estimated as the MET points, for the treatments T0, T1, T2 and T3, respectively (Figure 7c).

In addition, it is interesting to note that for the estimates of maximum efficiency for the variables MSR, root length and root surface area, the treatments with Trichoderma (T2) and Trichoderma + AllRefresh® (T3) showed the maximum points with higher temperature values (Figure 7). These results may be related to the induction of a lower sensitivity (or greater tolerance) of the seedling root system to higher temperatures, although to a lesser extent.

Figure 7 – Dry mass (a), length (b) and root surface area (c) of soybean seedlings exposed to three temperature conditions: 25, 30 and 35 °C; and four seed treatments: control (T0), without Trichoderma and with AllRefresh (T1), with Trichoderma and without AllRefresh (T2) and with Trichoderma and with AllRefresh (T3). PMTE: Point of maximum technical efficiency

Source: Authors (2024)

The root diameter showed a quadratic response to the increase in temperature for all the treatments studied (Figure 8a). Contrary to the other variables, minimum points were obtained, i.e. the temperatures that caused the lowest diameter values, which were 28.87, 29.12, 28.02 and 30.86 °C for treatments T0, T1, T2 and T3.

For the root volume variable, there was an increasing linear response to temperature increase in treatment T2 (Figure 8b). For the other treatments, quadratic responses to temperature increases were observed, with maximum efficiency values of 28.54, 27.97, and 29.18 °C for treatments T0, T1 and T3, respectively.

Figure 8 – Root diameter (a) and volume (b) of soybean seedlings exposed to three temperature conditions: 25, 30 and 35 °C; and four seed treatments: control (T0), without Trichoderma and with AllRefresh (T1), with Trichoderma and without AllRefresh (T2) and with Trichoderma and with AllRefresh (T3). PMTE: minimum technical efficiency point (panel a or root diameter variable); maximum technical efficiency point (panel b or root volume variable)

Source: Authors (2024)

The results show that treating soybean seeds with plant stimulants, alone or in combination, prepares the plant for challenges from the start of its cycle. This approach triggers physiological and biochemical responses that help the plant adapt to adverse environments.

The plant’s ability to adapt to adverse thermal conditions, according to Auge et al. (2023), is related to generational plasticity and the ability to develop an adaptive memory. This triggers complex molecular responses to protect cells, restore normal functions, and ensure survival. Of particular note is the activation of genes, especially those associated with heat shock proteins (HSPs), which are essential for protecting cells from thermal damage, facilitating the remodeling of denatured proteins, and minimizing the deleterious effects of oxidative stress. In addition to the immediate response, there is also a transcriptional memory.

The authors also mention that after previous exposure to heat stress, plants develop a molecular/environmental “memory” that improves their ability to respond to subsequent exposures. This transcriptional memory involves a specific epigenetic mark, such as trimethylation of histone H3 at the lysine 4 position (H3K4me3), which is associated with prolonged activation of heat stress-related genes, with notable transgenerational effects, transmitting information about the heat experience from one generation to the next, providing better preparation to face similar challenges in the environment (Auge et al., 2023).

When we use Phyto-stimulants, we accelerate this adaptive process in the face of conditions by modulating gene expression, allowing physiological adjustments to maintain internal balance and cellular integrity. Enhanced enzyme activity, including antioxidant enzymes such as superoxide dismutase (SOD) and peroxidase (POD), plays a critical role in neutralizing reactive oxygen species (ROS), thereby increasing plant resistance to heat stress (Carvalho et al., 2023).

Thus, biostimulants in agriculture go beyond the stimulation of vegetative growth. In the midst of environmental challenges such as climate change, heat stress, and abiotic stresses, these tools become essential to strengthen plant resilience. This study highlights the importance of AllRefresh and Trichoderma by showing positive effects on growth initiation and resistance of soybean plants under challenging scenarios. Possibly, the macro- and micronutrients present in AllRefresh played a crucial role in activating enzymes and metabolism, contributing to the initial development of the seedlings, alone and with Trichoderma, which provided improvements.

Finally, it is believed that in order to reinforce these results, considering that AllRefresh has shown benefits in the early stages of plant life, its subsequent application, in the R1 and R2 stages, via foliar application could be strategic. Combining this application with specific biostimulants for these stages can improve results by preparing the plant for the specific challenges encountered during these critical stages of development.

4 CONCLUSIONS

The plant biostimulants AllRefresh and the fungus Trichoderma, either alone or in combination, have demonstrated the ability to mitigate heat stress and promote significant benefits in the growth and early development of the soybean crop. Regardless of temperature variation, both seed treatments proved effective in providing thermal protection against adversity. In this way, biostimulants are proving to be an effective and beneficial alternative to meet annual challenges in agriculture.

ACKNOWLEDGMENTS

We thank the Conselho Nacional de Desenvolvimento Científico e Tecnológico (CNPq) and Coordenação de Aperfeiçoamento de Pessoal de Nível Superior (CAPES) for granting the scholarships to the researchers. Additionally, our gratitude extends to the companies that provided the products used in this study.

REFERENCES

Allianza Química do Brasil Ltda. (2024). Available in: https://www.allianzaquimica.com/.

Auge, G. et al. (2023). Plant environmental memory: implications, mechanisms and opportunities for plant scientists and beyond. AoB PLANTS, 15(4): plad032.

Bioagreen (2023). Available in: https://bioagreen.com.br/.

Box, G .E. P., & Cox, D. R. (1964). An analysis of transformations. Journal of the Royal Statistical Society: Serie B (Methodological), 26:211-243.

Campobenedetto, C. et al. (2020). A biostimulant seed treatment improved heat stress tolerance during cucumber seed germination by acting on the antioxidant system and glyoxylate cycle. Frontiers in Plant Science, 11:836.

Carvalho, B. L. et al. (2023). Use of plant regulators for activation of antioxidant enzymes in basil plants under water deficit conditions. Stresses, 3(1): 282-301.

Carvalho, N. M., & Nakagawa, J. (2012). Sementes: ciência, tecnologia e produção. 5.ed. Jaboticabal: FUNEP.

Chagas Junior, A. F. et al. (2022). Efficiency of Trichoplus (Trichoderma asperellum) as a plant growth promoter in soybean in the Cerrado field. Research, Society and Development, 11(5):e16111527970.

Companhia Nacional de Abastecimento (2023). Acompanhamento da safra de grãos 2023/2024. Brasília: Conab. Available in: https://www.conab.gov.br/info-agro/safras/graos/boletim-da-safra-de-graos.

Companhia Nacional De Abastecimento (2020). Perspectivas para a agropecuária. Brasília: Conab. Available in: http://www.conab.gov.br.

Empresa de Assistência Técnica e Extensão Rural do Estado (Emater/RS) (2022). Estimativas Iniciais para a Safra 2022/2023. Available in: https://www.emater.tche.br/site/arquivos_pdf/safra/safraTabela_30082022.pdf.

Ferreira, E. B., Cavalcanti, P. P., & Nogueira, D. A. (2021). ExpDes.pt: Pacote Experimental Designs. R package version 1.2.2.

Floss, E. L. (2022). Maximizando o rendimento da soja: Ecofisiologia, nutrição e manejo. 3 ed. Passo Fundo: Aldeia Sul. Passografic.

Giordana, A. et al. (2023). Biostimulants derived from organic urban wastes and biomasses: An innovative approach. Frontiers in Chemistry, 10:11:969865.

Governo Federal do Brasil (2020). O Programa Bioinsumos. Available in: https://www.gov.br/agricultura/pt-br/assuntos/inovacao/bioinsumos/o-programa.

Guan, Y. et al. (2009). Seed priming with chitosan improves maize germination and seedling growth in relation to physiological changes under low temperature stress. Seed Science Center, 10(6):427-433.

Guirola-Céspedes, C, González-Suárez, E, & Ley-Chong, N. (2023). Design of a chemical plant to obtain phosphoric acid based on the study of the need for phosphate products in Cuba. Chemical Technology, 43(2): 406-420, 2023.

Hassan, M. U. et al. (2021). Estresse térmico em plantas cultivadas: natureza, impacto, mecanismos e estratégias de mitigação - uma revisão. Plant Biosystems - An International Journal Dealing with all Aspects of Plant Biology, 155(2): 211-234.

Maguire, J. D. (1962). Speed of germination-aid selection and evaluation for seedling emergence and vigor. Crop Science, 2:176-177.

Márquez-Dávila, K. et al. (2020). Trichoderma and Clonostachys as biocontrol agents against Meloidogyne incognita in sacha inchi. Pesquisa Agropecuária Tropical, 50: e60890.

Marschner, H. (1995). Mineral nutrition of higher plants. Second edition. 889pp. London: AcademicPress.

Martin, T. N. et al. (2023). Reunião de Pesquisa de Soja da Região Sul, 43. Atas e Resumos 2023. Santa Maria: UFSM. 660p.

Meyer, M. C., Mazaro, S. M., & Silva, J. C. (2019). Trichoderma: uso na agricultura. Londrina: Embrapa Soja.

Ministério da Agricultura, Pecuária e Abastecimento (2009). Regras para Análise de Sementes. MAPA. Secretaria de Defesa Agropecuária. Brasília, Mapa/ACS. 399p.

Nagasaki, Y. et al. (2024). Comparison of soybean crop performance under tropical environment between tropical and temperate cultivars with adjusted growth duration. Plant Production Science, 27(1):14-27.

Nakagawa, J. Testes de vigor baseados em desempenho de plântulas (2020). In: Krzyzanowski, FC, Vieira, RD, França-Neto, JB, Marcos Filho, J. Vigor de sementes: conceitos e testes, 2020. Londrina: ABRATES.

ONU (2022). Os 17 objetivos de desenvolvimento sustentável no Brasil. Available in: https://brasil.un.org/pt-br/sdgs.

R Cor/E Team (2022). R: A Language and Environment for Statistical Computing. R Foundation for Statical Computing, Vienna, Austria. Available in: https://www.R-project.org

Sales, G. et al. (2023). Microbiolização de sementes de soja com Trichoderma harzianum: qualidade fisiológica e sanitária. Nativa, 11(2): 220-225.

Stanton, C. et al. (2021). Zinc in plants: Integrating homeostasis and biofortification. Molecular Plant, 15(1):65-85.

Taiz, L. et al. (2017). Fisiologia Vegetal. 6. ed. Porto Alegre: Artmed.

Tian, X. Y. et al. (2021). Physiological and molecular advances in magnesium nutrition of plants. Plant Soil, 468:1-17.

Tyśkiewicz, R. et al. (2022). Trichoderma: the current status of its application in agriculture for the biocontrol of fungal phytopathogens and stimulation of plant growth. International Journal of Molecular Sciences, 23(4):2329.

Venables, W. N., & Ripley, B. D. (2022). Modern Applied statistics woth S. 4ª edição. Springer, New York.

Wickham, H. (2016). Ggplot2: Elegant grafics for data analysis. Springer-Verlag: New York, 2016.

Wilke, C. O. (2020). Cowplot: Streamlined plot theme and plot annotations for ‘ggplot2’. R package version 1.1.1.

Woo, S. L. et al. (2023). Trichoderma: um microrganismo multifuncional e benéfico para as plantas para a agricultura eco-sustentável. Nature Reviews Microbiology, 21:312–326.

Ye, J. Y., Tian, W. H., & Jin, C. W. (2022). Nitrogen in plants: from nutrition to the modulation of abiotic stress adaptation. Review, 2(4).

Authorship contributions

1 – Kássia Silveira Crivellaro

Master’s degree in Agrobiology from the Federal University of Santa Maria.

https://orcid.org/0009-0004-5745-3761crivellarokassias@gmail.com

Contribution: Conceptualization, Methodology, Data Curation, Data Analysis, Writing - review & editing

2 – Raquel Stefanello

Ph.D. in Agronomy from the Federal University of Santa Maria

https://orcid.org/0000-0003-3079-2099raquelstefanello@yahoo.com.br

Contribution: Data Curation, Writing - review & editing.

3 – Sylvio Henrique Bidel Dornelles

PhD in Agronomy from the Federal University of Santa Maria

https://orcid.org/0000-0002-1097-6176sylviobidel@gmail.com

Contribution: Conceptalization, Writing - review & editing.

4 – Antonio Carlos Ferreira da Silva

PhD in Sciences from the University of São Paulo

https://orcid.org/0000-0002-1050-1656• acfsilva@uol.com.br

Contribution: Writing - review & editing.

5 – Luciane Almeri Tabaldi

PhD in Agronomy from the Federal University of Santa Maria

https://orcid.org/0000-0002-3644-2543lutabaldi@yahoo.com.br

Contribution: Writing - review & editing.

6 – Lucas Augusto da Silva Girio

Doctor in Agronomy (Plant Production) from the Universidade Estadual Paulista Júlio de Mesquita Filho

https://orcid.org/0000-0002-2383-9779lucasgirio@gmail.com

Contribution: Writing and Review.

How to quote this article

Crivellaro, K. S., Stefanello, R., Dornelles, S. H. B., Silva, A. C. F., Tabaldi, L. A., & Girio, L. A. S. (2025). Biostimulants to mitigate heat stress in soybean seed germination. Ciência e Natura, Santa Maria, 47, e87738. DOI 10.5902/2179460X87738. Disponível em: https://doi.org/10.5902/2179460X87738