Universidade Federal de Santa Maria

Ci. e Nat., Santa Maria, v. 47, e85961, 2025

DOI: 10.5902/2179460X85961

ISSN 2179-460X

Submitted: 12/03/2023 • Approved: 06/30/2025 • Published: 01/23/2026

1 INTRODUCTION

2 MATERIAL AND METHODS

3 RESULTS AND DISCUSSION

4 CONCLUSIONS

REFERENCES

Environment

Nitrogen fertilization (ammonium sulphate) in the morphophysiological characteristics of Brazilian mahogany seedlings

Adubação nitrogenada (sulfato de amônio) nas características morfofisiológicas de mudas de mogno brasileiro

Maike Augusto Aguiar FerreiraIÍcone

Descrição gerada automaticamente

Cristiane Ramos VieiraIÍcone

Descrição gerada automaticamente

Maicon Marinho Vieira AraujoIÍcone

Descrição gerada automaticamente

I Universidade de Cuiabá, Cuiabá, MT, Brasil

ABSTRACT

Brazilian mahogany (Swietenia macrophylla) known as “green gold” is a forest species of extreme importance for trade in the Brazilian market. However, in order to have a planting with trees producing quality wood, it is necessary to implant the cultivation with quality seedlings. Therefore, an experiment was established with the objective of evaluating the initial morphological and physiological development of Brazilian mahogany seedlings in soil enriched with different N doses. The Brazilian mahogany seedlings were produced in tubes filled with soil and after reaching about 10 cm in height, they were transplanted for the tested treatments. The soil used in the experiment was limed and incubated, then used to fill the plastic bags to which the seedlings were transplanted. The design used was completely randomized with five treatments and five repetitions, namely: T0 - without fertilization; T1 - 50 mg dm-3; T2 - 100 mg dm-3; T3 - 150 mg dm-3; T4 - 200 mg dm-3. After transplantation, the soil received N fertilization. These seedlings went through an adaptation period, and at the end of 90 days, measurements were performed. The greatest growth and production of dry matter was observed in the dose of 100 mg dm-3 of N. The greater development of the mahogany seedlings in this dose is related to the increase in the photosynthetic net rate, stomatal conductance, transpiration and CO2 concentration, under conditions that seem to be the most suitable for the seedlings of this species.

Keywords: Ammonium sulphate; Swietenia macrophylla; Nutrition of seedlings

RESUMO

O mogno brasileiro (Swietenia macrophylla) conhecido como “ouro verde” é uma espécie florestal de extrema importância para o comércio no mercado brasileiro. No entanto, para que se tenha um plantio com árvores produzindo madeira de qualidade, é necessário que se implante o cultivo com mudas de qualidade. Por isso, estabeleceu-se experimento com o objetivo de avaliar o desenvolvimento inicial de mudas de mogno brasileiro, morfológico e fisiológico, em solo enriquecido com diferentes doses de N. As mudas de mogno brasileiro foram produzidas em tubetes preenchidos com solo e, ao atingirem cerca de 10 cm de altura, foram transplantadas para os tratamentos testados. O solo utilizado no experimento foi calcareado e incubado, em seguida, utilizado para preencher as sacolas plásticas para as quais as mudas foram transplantadas. O delineamento utilizado foi o inteiramente casualizado com cinco tratamentos e cinco repetições: T0 – sem adubação; T1 – 50 mg dm-3; T2 – 100 mg dm-3; T3 – 150 mg dm-3; T4 – 200 mg dm-3. Após transplante, o solo recebeu a adubação nitrogenada. Essas mudas passaram por período de adaptação e, ao final de 90 dias, realizou-se as medições. O maior crescimento e produção de massa seca foi observado na dose de 100 mg dm-3 de N. O maior desenvolvimento das mudas de mogno nessa dose está relacionado com o aumento na taxa líquida fotossintética, condutância estomática, transpiração e concentração de CO2, em condições que parecem ser as mais adequadas para as mudas dessa espécie.

Palavras-chave: Sulfato de amônio; Swietenia macrophylla; Nutrição de mudas

1 INTRODUction

Swietenia macrophylla is a forest species of the Meliaceae family known as mahogany or mahogany-Brazilian, naturally occurring at latitudes of 20º N in Mexico (Yucatan) until 18º S in Bolivia. In Brazil, it is located between 1º N in Maranhão and 14º N S in Mato Grosso (Carvalho, 2007). It is one of the most valuable timber species in the Amazon, and its high market value—both nationally and internationally—has subjected it to intense logging pressure for decades throughout its natural range, from Mexico to Brazil and the United States. As a result, S. macrophylla has been classified as a species vulnerable to extinction (Santos et al., 2008). This justifies the need to replace the species in native areas through recovery.

However, planting for recomposition or for commercial purposes requires the production of quality seedlings. Producing quality seedlings requires increasingly specific information regarding the stages of the production process. One of these steps is the complementation of the substrate with the nutrients in quantities necessary for plant growth, especially when substrates, such as soil in natural conditions, are used for the production of seedlings.

The production of seedlings, whether for the restoration of areas for commercial purposes, like the case with the use of S. macrophylla, or for ecological restoration, requires high quality seedlings for planting, as this ensures successful establishment in the field. Furthermore, more vigorous plants grow faster, which is reflected in the development of the mature tree.

According to what is reported by Freitas et al. (2017), among the substrates used for the seedlings production of tree species, the subsoil, which is still used by nurseries, stands out. However, most Brazilian soils have high acidity and low availability of nutrients in natural conditions. Hence the importance of fertilization during the production of seedlings in the nursery.

According to Dutra et al. (2015) one of the ways to produce high quality seedlings that have a chance of survival after transplanting is a balanced nutrition using mineral fertilization. Another characteristic that should be considered to designate the quality of a substrate, is its ability to alter the physiological characteristics of plants. According to Mondini et al. (2019), functional changes in plants by the application of different fertilizers can be investigated by means of non-destructive tools directly or indirectly involved in the photosynthetic process.

Among the elements considered nutrients for plants is nitrogen (N), which is usually the most absorbed by plants since large amounts of N are required, especially in the initial phase of their development (Marschner, 1995). N is part of cell components and participates in processes such as ion absorption, photosynthesis, respiration, multiplication and cell differentiation (Malavolta, 2006), so it is essential for the seedling development.

A few papers have contributed to demonstrate the importance of N in plant growth during the seedling production process. Belapart et al. (2013) recommended doses of 224 and 448 mg dm-3 of N for Calophyllum brasiliense seedlings. Falcão Neto et al. (2014) recommended doses of 75 mg dm-3 of N for Dipteryx lacunifera seedlings. Goulart et al. (2017) recommended doses of 100 mg dm-3 of N for Dipteryx lacunifera seedlings.

Therefore, the objective of the present experiment was to analyze the growth of Brazilian mahogany seedlings (Swietenia macrophylla), regarding their morphology and physiology, in substrate fertilized with different N doses.

2 Material and Methods

The experiment was carried out in the greenhouse of the Agronomy department of the Universidade de Cuiabá (UNIC), located on the Beira Rio I campus, in Cuiabá – MT, at coordinates 15º37’28” S and 56º05’11” O. The predominant climate of the region is the tropical savanna, according to Köppen classification.

The seeds of S. macrophylla were collected directly from trees while still inside the fruits, during the ripening phase, in an area belonging to the Universidade Fedral de Mato Grosso (UFMT), Cuiabá campus, located at 15º36′36″ S and 56º03′57″ W. The fruits were taken to the greenhouse and the seeds removed. Then, these seeds were placed to germinate in tubes with capacity for 240 cm³ filled with soil. When the seedlings reached 10 cm high, they were transplanted to the definitive containers.

The soil used in the experiment was a dystrophic Red Latosol (classified by a professor in the soil department at the Institute itself), with a sandy-loam texture, collected in an area of native Cerrado at the Instituto Federal de Mato Grosso do Sul (IFMS), São Vicente da Serra campus. It was collected from the surface layer, 0-20 cm, after the removal of the plant material covering the soil was done by previously opening a trench approximately 60 cm deep, made just for this collection. The layer to be collected was marked on the wall of the trench and the collection was then carried out.

After collection, a soil sample was taken, air-dried, sieved through a 2 mm mesh and sent to the laboratory for its chemical and physical characterization, as shown in Table 1. This soil was used to fill 30 x 40 cm plastic bags with a capacity of one kilogram into which the seedlings were transplanted.

Table 1 - Chemical and physical analysis of soil

pH in CaCl2 – ratio 1:2.5; H+Al – in calcium acetate; Al, Ca and Mg – in KCl 1N; P and K – in Mehlich; SB – sum of bases; T – cation exchange capacity at pH 7.0; t – effective CTC; V% - saturation by bases, in %; m% - saturation by Al, in %; MO - Organic matter from burning in muffle; Sand, silt and clay - densimeter method

Source: Authors (2023)

This soil was calcareous with dolomitic limestone, 79% PRNT, prior to the addition of nitrogen fertilizers, and kept in incubation for seven days, under daily irrigation. The amount of limestone (Table 2) applied was calculated based on soil analysis, following the method of elevation of base saturation to 50%.

Table 2 – Chemical and physical characteristics of the limestone used

Source: Authors (2023)

After incubation, the seedlings were transplanted to plastic bags with previously prepared soil, where they remained for 10 days in adaptation period. After 10 days, the applications of solutions containing macronutrients (except N) were carried out: 300 mg.dm-³ of P using KH2PO4; 140 mg.dm-³ of K using KCl and K2SO4 (100 mg.dm-³ of KCl and 40 mg.dm-³ of K2SO4), according to Passos (1994). As for the solutions with micronutrients, according to the method of Alvarez (1974): 0.81 mg.dm-³ of B, ٣.٦٦ mg.dm-³ of Mn, ٤.٠ mg.dm-³ of Zn, ١.٣٣ mg.dm-³ of Cu and 0.15 mg.dm-³ of Mo, having as sources H3BO3, MnCl2.4H2O, ZnSO4.7H2O, Cuso4.5H2O E (NH4) 6Mo7To24.4H2, respectively.

Following the application of the nutrient solutions, nitrogen (N) doses were applied as follows: T0 – no addition of N; T1 – 50 mg dm-3 N; T٢ – ١٠٠ mg dm N; T٣ – ١٥٠ mg dm N; and T٤ – ٢٠٠ mg dm N. Ammonium sulfate (٢١٪ N) was used as the nitrogen source in a completely randomized design with five replicates. The application was performed directly in the plastic bags, around the seedlings, after simulating a planting furrow, which was then covered with soil.

At the end of 90 days, the physiological characteristics were evaluated from three plants of each treatment: liquid photosynthetic rate (A), transpiratory rate (E), stomatal conductance (gs) and intercellular concentration of CO2 (Ci). The intrinsic efficiency in water use (EIUA) was obtained by the A/gs ratio. These characteristics were measured using a portable photosynthesis measuring system, model LI-6400 XP (LI-COR, Lincoln, NE, USA). For the measurements, the device was adjusted to the temperature of 28°C, relative humidity of 60% and photosynthetically active flow density of 1000 mol m-2 s-1. They were performed on the first or second fully expanded leaf from the caulinar apex (usually the fourth or fifth leaf), and exposed to solar radiation between 07:00 a.m. and 11:00 h a.m. (local time) without phytosanitary impairment. The values were recorded only after the gs stability.

For all plants, the following morphological characteristics were evaluated: height of the aerial part (H) with graduated ruler, measuring from the ground base to the last leaf of the plant; diameter of lap (DC), measuring with digital caliper; and dry mass. For dry mass analysis, the seedlings were sectioned in aerial part and root part, brought to the oven of forced air circulation at 65 ºC to constant weight and weighed in semi-analytical balance.

The data were interpreted through linear regression analysis, then the charts were obtained using the statistical program R, after verifying their normality. The analysis of variance was obtained and the means were compared using the Tukey test at 5% probability.

3 Results and discussion

3.1 Morphological characteristics of Brazilian mahogany seedlings submitted to different N doses

The morphological characteristics that indicate how the growth and development of Brazilian mahogany seedlings was given, as a function of the N doses applied, are presented in Table 3 and Figures 1 and 2. In the figures, it is possible to observe not only the comparison among the treatments tested, but also the linear equations obtained in each case.

Table 3 – Statistical analysis for height (H, cm), diameter (DC, in mm), leaves dry mass (MSF, in g), stem dry mass (MSC, in g) and root dry mass (MSR, in g) of Brazilian mahogany seedlings (S. macrophylla) after submission to different N doses

Means followed by the same letter do not differ from each other by Tukey test at 5% probability

Source: Authors (2023)

The average growth in height showed an increase in the treatments with N application without linear equation adjustment (Figure 1) and a mean of 48.02 cm in the dose of 100 mg dm-3 and 43.92 cm in the control. This increase was 8.5% in seedlings submitted to a dose of 100 mg dm-3 of N. However, it was verified that after this dose, there was a reduction in the growth of mahogany seedlings. These results indicate the importance of nitrogen fertilization for the height growth of Brazilian mahogany seedlings, and for this characteristic, the maximum dose appears to be harmful. Thus, there is an indication that the dose of 100 mg dm-3 of N would be the most recommended for the production of the species seedlings, because it guarantees greater growth in height, one of the most important morphological characteristics in nurseries when one wants to qualify a seedling for planting in the field. This fact was reported by Gomes and Paiva (2011), which complement that this characteristic positively correlates with the growth of the seedling in the field.

Figure 1 – Height (H, in cm) and lap diameter (DC, in mm) of Brazilian mahogany seedlings (S. macrophylla) after submission to different N doses

Source: Authors (2023)

The growth in diameter was higher in the dose of 100 mg dm-3 with a mean of 2.94 mm, and lower in the control treatment with 2.04 mm, an increase of 30.6% in the treatment with fertilization, however, without linear equation adjustment (Figure 1) for this growth. The neck diameter is a morphological characteristic related to the seedling’s ability to establish in the field, as a larger diameter generally increases its strength and resistance to mechanical damage, thereby enhancing survival. Thus, it appears that the dose of 100 mg dm-3 of N is the one with the greatest probability of favoring growth in height and diameter, and therefore, those characteristics most used to indicate the seedlings of Brazilian mahogany of better quality to be planted in the field. According to Gomes and Paiva (2011), the diameter of the collar explains 70 to 80% of the differences that exist in the dry matter weight of the seedlings. In addition, seedlings with the largest diameter increment have greater capacity of formation and growth of new roots (Souza et al., 2006). This is because the stem and the region of the thick lap indicate the presence of reserve substances in the plan internal tissues, showing that the seedling has a healthy appearance and is nutritionally suitable for field planting, since part of the reserves to form new roots comes from nutrients contained in the stem (Scremin-Dias et al., 2006).

Souza et al. (2010) studied the nutritional requirements of Brazilian mahogany seedlings and concluded that the omission of N was not a limiting factor to the growth of seedlings, and that these results can be explained through the content of organic matter found in the soil used to compose substrate. This may have interfered for growth in height in the present case. In this experiment, the authors verified the mean in height ranging from 16.4 cm to 30.2 cm and; in diameter, from 3.9 mm to 7.3 mm. Therefore, in this case, the Brazilian mahogany seedlings presented higher means in height.

Based on the recommendation of Xavier et al. (2009), to which the seedlings most suitable for planting are those that have a height growth interval between 20 and 40 cm and means higher than mm in diameter, it can be said that all treatments provided optimal conditions for obtaining seedlings with quality for planting. However, it is important to emphasize that, even if the seedlings in the other treatments were suitable for field planting, the seedlings submitted to treatment with 100 mg dm-3 of N probably reached these recommended values faster than the others. That treatment should be considered better for a producer, since what is expected is to produce seedlings in less time, especially when they will be marketed.

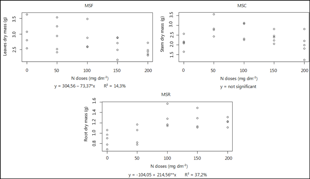
For dry mass production, no difference was observed between the means for leaf mass (Table 3), however, the means obtained allowed the adjustment of linear equation with a low value of R² (14.3%). In this case, the trend was to increase the dose of 100 mg dm-3 of N (Figure 2). This is because N is part of several compounds in plants, such as amino acids, nucleic acids, and chlorophyll (Cantarella, 2007), which influence plant growth and dry mass production.

Figure 2 – Leaves dry mass (MSF, in g), stem dry mass (MSC, in g) root dry root (MSR, in g) and total dry mass (MST, in g) of Brazilian mahogany seedlings (S. macrophylla) after submission to different N doses

Source: Authors (2023)

This helps to corroborate that the maximum dose used in this experiment was detrimental to the production of Brazilian mahogany seedlings. This characteristic indicates greater photosynthetic capacity, for example, in the treatment with N dose, because it is related to higher leaf production. According to Gomes and Paiva (2011) this characteristic indicates the rusticity of a seedling, and the highest values represent more lignified and rustic seedlings, with higher production potential in environments with adverse conditions.

For the production of stem dry mass, the addition of nitrogen fertilizer allowed higher means, however, in this case, the highest mean was obtained for seedlings submitted to a dose of 50 mg dm-3 (2.87 g), whereas, in the control treatment, this mean production was 2.11 g. At the dose of 100 mg dm-3, the mean production was 2.77 g. Therefore, in these treatments with N applications, the increase was 26.48% in the dose of 50 mg dm-3 and 23.83 mg dm-3 in the dose of 100 mg dm-3.

Whereas, for the root dry mass production, the highest mean was observed in seedlings at a dose of 100 mg dm-3 (1.29 g), an increase of 31.78% compared to the mass production of seedlings in the control treatment (0.88 g). This production may have influenced the growth of seedlings because the root mass is directly related to the capacity of water absorption and nutrients of these seedlings. Therefore, Gomes and Paiva (2011) recommend that the more abundant the root system, the greater the chance of survival.

The dry mass production, with an increase in the dose of 100 mg dm-3, indicates that the growth and development of Brazilian mahogany seedlings are occurring in a balanced way. This is important because for the plant, growing in height is not enough, as it needs to produce dry mass in order to support the environmental elements to which it will be subjected after being planted.

3.2 Physiological characteristics of Brazilian mahogany seedlings submitted to different N doses

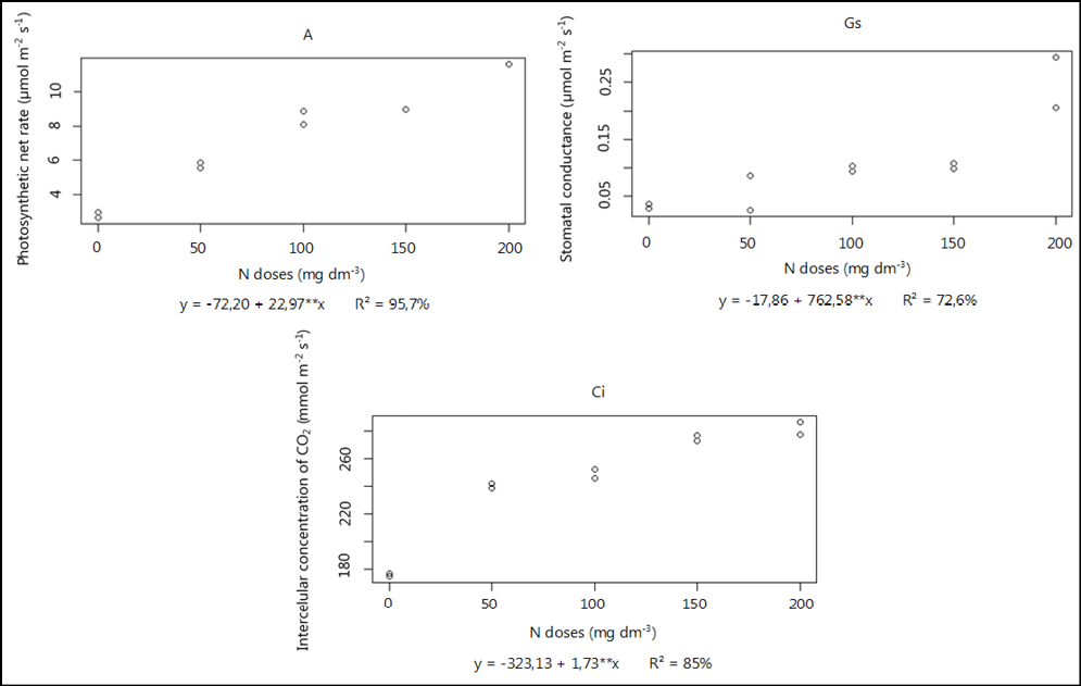
The results obtained for the physiological characteristics of the Brazilian mahogany seedlings, after being submitted to different N doses, are presented in Table 4 and Figures 3 and 4. It is observed that the means were significant in all the analyzed characteristics, as it was possible to adjust the equations for all of them. This indicates the influence of these N doses on plant physiology, which may have consequences on the growth and development of Brazilian mahogany seedlings.

Table 4 – Statistical analysis for photosynthetic net rate (A, in µmol m-2 s-1), stomatal conductance (gs, in µmol m-2 s-1), intercellular concentration of CO2 (Ci, in mmol m-2 s-1), transpiratory rate (E, in mmol m-2 s-1), vapor pressure deficit (VpdL, in kPa) and perspiration rate (Trmmol, in mmol m-2 s-1) of Brazilian mahogany seedlings (S. macrophylla) after submission to different N doses

Means followed by the same letter do not differ from each other by Tukey test at 5% probability

Source: Authors (2023)

The means for the liquid photosynthetic rate were increasing (Figure 3), reaching its highest value in the dose of 200 mg dm-3 (11.60 µmol m-2 s-1), while the lowest mean was observed in the control treatment. This represented an increase of 50.97%, 66.98%, 68.86% and 75.95% in the doses of 50, 100, 150 and 200 mg dm-3compared to the control. The highest means for growth and dry mass production in mahogany seedlings were also observed in seedlings submitted to fertilization, with greater emphasis on the dose 100 mg dm-3 of N.

It is known that N is part of several compounds in plants, such as chlorophyll, so this influence on this physiological characteristic was reflected in higher growth and dry mass production. Kirschbaum (2011) corroborates the importance of photosynthesis for plant growth, when he emphasizes that 30% increase in photosynthetic rate can result in a 10% increase in plant growth. In addition, the increase in leaf matter is a significant factor in plant growth, since the leaf is the organ responsible for photosynthesis (Tatagiba et al., 2015).

Figure 3 – Photosynthetic net rate (A, in µmol m-2 s-1), stomatal conductance (gs, in µmol m-2 s-1) and intercellular concentration of CO2 (Ci, in mmol m-2 s-1) of Brazilian mahogany seedlings (S. macrophylla) after submission to different N doses

Source: Authors (2023)

Therefore, the increase in the photosynthetic net rate favored the development of mahogany seedlings, among other factors. However, it was verified that there was no need for a rate higher than 8.5 µmol m-2 s-1 in order to obtain the seedlings with the highest growth means. Thus, it can be said that in this case, this would be the ideal rate for the mahogany seedlings production.

Another characteristic that is related to the photosynthetic net rate is the stomatal conductance, which also increased with the application of nitrogen fertilizer (Figure 3).

This increase occurred matching with the increase of N dose. Therefore, the highest mean was also observed at the dose of 200 mg dm-3 of N, however, it was not reflected in higher growth and dry mass production of seedlings at this dose. This corroborates the results previously obtained that there is an optimal value that is achieved and that, above that, does not mean that the plant will continue to grow. In addition, N is a type of solute, which may have collaborated to increase stomatal conductance, which was favorable up to the maximum dose applied.

However, what contributes the most to the increase in stomatal conductance is the intercellular concentration of CO2, for which increasing means were also observed, with linear equation adjustment (Figure 3). In general, the means ranged from 175.7 mmol m-2 s-1 in the control treatment, to 281.9 mmol m-2 s-1 in the dose of 200 mg dm-3. This increase in CO2 concentration favored, the growth and development of mahogany seedlings, along with the other characteristics.

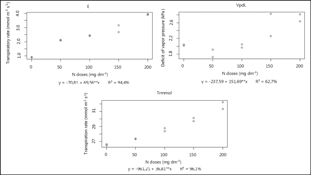
Thus, the transpiratory rate also showed an increase according to the N doses, with linear equation adjustment (Figure 4). In this case, the means ranged from 0.9 mmol m-2 s-1 in seedlings in the control treatment, to 3.9 mmol m-2 s-1 in seedlings at a dose of 200 mg dm-3 of N. Therefore, the addition of N to the soil increased the transpiratory rate of seedlings, which favored their growth, because other factors that could interfere with the values obtained for this characteristic, such as moisture, did not limit this growth. This increase was already expected, due to the results obtained previously, since they are related.

It is known that the Brazilian mahogany seedlings were maintained in a condition where they received water daily through irrigation, so the water also favored the transpiratory rate as a result. Under limiting conditions, the stomata would be closed to prevent water loss and the transpiratory rate would have reduced. During transpiration, another process of great importance occurs in the plant — water absorption. Along with water, the nutrients essential for plant development are absorbed and transported upward through the xylem, aided by mass flow, which results from the physical properties of water and the transpiration process. When the stomata open to allow water vapor to exit, CO2 enters the leaf, increasing stomatal conductance and the photosynthetic rate, since CO2 is used in the photosynthetic process to produce the organic compounds necessary for plant survival.

According to McDermit (1990), leaf stomatal conductance can be understood as the rate of the passage of water vapor through the stomata of leaves. The stomatal opening is the main route by which there is an exchange of CO2 from the atmosphere to the leaves. Thus, the stomata opening is controlled by complex mechanisms in order to maintain a balance between CO2 absorption and the control of water vapor loss (Taiz & Zeiger, 2013). This stomata function constitutes a physiological impairment because when open, they allow the assimilation of CO2 and the loss of H2O. When they’re closed, the CO2 inlet to the carboxyl sites of the rubisco inside the chloroplasts is reduced and H2O is preserved, minimalizing the risk of dehydration (Tatagiba et al., 2015).

Chapin et al. (1988) also observed influence of fertilization on the physiological characteristics of the plant. These authors noted that for the soils receiving nitrogen fertilization, higher transpiration implied greater stomatal conductance, which improved the transport of nitrate absorbed in the root to the aerial part through the xylem. In this experiment, stomatal conductance is also lower in plants when grown in soils with lower N levels, like the results observed in the present case. Studying tomato plants and their growth in N-fertilized soil, Tavares (2006) found that the plants of cultivation in non-fertilized soil had, due to the low stomatal conductance, lower transpiration rates and internal CO2concentration when compared to plants that received nitrogen fertilization. Similar results are also observed for Brazilian mahogany.

With the rise in N doses, there was an increase in the vapor pressure deficit with an expansion in the adjustment of the linear equation (Figure 4), with the highest means for seedlings at doses of 150 and 200 mg dm-3. However, this increase seems to have limited the growth of mahogany seedlings, since in these doses, the Brazilian mahogany seedlings showed a reduction in their growth after reaching the maximum in the dose of 100 mg dm-3. This favorable response, when in plants submitted to growth in substrate and nitrogen fertilizer, may be related to soil moisture condition, since it received daily irrigation and, therefore, was not limited by this factor. According to Mariano et al. (2009) the reduced availability of water in the soil causes reductions in the stomatal conductance values and perspiration rate due to stomatal closure, resulting in a reduction in the photosynthetic rate. This would reduce the ability to absorb water and nutrients, and consequently reduce the seedlings development.

Figure 4 – Transpiratory rate (E, in mmol m-2 s-1), Deficit of vapor pressure (VpdL, in kPa) and perspiration rate (Trmmol, in mmol m-2 s-1) of Brazilian mahogany seedlings (S. macrophylla) after submission to different doses of N

Source: Authors (2023)

The highest transpiration rate was observed in seedlings submitted to a dose of 200 mg dm-3, since according to the increase in the N dose, the means were also increasing for this characteristic (Figure 5), with means ranging from 26.5 mmol m-2 s-1 in plants at a dose of 0 mg dm-3 to 31.8 mmol m-2 s-1 in plants at a dose of 200 mg dm-3. Thus, it can be said that 26.5 mmol m-2 s-1 of transpiration rate was not enough for the growth and mass production of Brazilian mahogany seedlings. Although it was proven that the plants grown in soil with supplementation with nitrogen fertilizer transpired more, this was not characterized as a disadvantageous result of fertilization because the plants did not present morphological characteristics unfavorable to their growth. On the contrary, this may indicate that the conditions of the substrate were of adequate water availability, which favored the mass flow and, consequently, the best use of nutrients by the plants.

4 Conclusions

It is recommended to apply 100 mg dm-3 of N from ammonium sulfate for Brazilian mahogany seedlings production.

This dose provides an increase in the net photosynthetic rate, stomatal conductance, transpiration, and CO2 concentration under appropriate conditions, influencing its growth and dry mass production.

However, for field conditions, other studies with different sources and doses of N can be carried out, since in uncontrolled conditions, there may be differences for the results obtained.

References

Alvarez, V. H. (1974). Equilíbrio de formas disponíveis de fósforo e enxofre em dois latossolos de Minas Gerais. [Dissertação Mestrado em Solos e Nutrição de Plantas]. Universidade Federal de Viçosa. Repositório Institucional da UFV. URL: https://www.bdpa.cnptia.embrapa.br/consulta/busca?b=ad&id=581286&biblioteca=vazio&busca=(autoria:%22ESTEV%C3%83O,%20M.%20de%20M.%22)&qFacets=(autoria:%22ESTEV%C3%83O,%20M.%20de%20M.%22)&sort=&paginacao=t&paginaAtual=1

Belapart, D., Leite, S. M. M., Girotto, M. D. & Pedrone, L. P. (2013). Efeito de diferentes doses de nitrogênio e cálcio no desenvolvimento inicial do guanandi. Unimar Ciências, 22(1-2), 71-77. URL: http://ojs.unimar.br/index.php/ciencias/article/viewFile/490/222

Cantarella, H. (2007). Nitrogênio. In: Novais, R. F. et al. (ed.). Fertilidade do solo (pp. 376-449). Viçosa: SBCS.

Carvalho, P. E. R. (2007). Mogno: Swietenia macrophylla. Embrapa.

Chapin, F. S., Walter, C. H. S., & Clarkson, D. T. (1988). Growth response of barley and tomato to nitrogen stress and its control by absisic acid, water relations and photosynthesis. Planta, (173), 352-366. doi: 10.1007/BF00401022

Dutra, T. R., Massad, M. D., Sarmento, M. F. Q., Matos, P. S. & Oliveira, J. C. (2015). Crescimento de mudas de umburana (Amburana cearensis) em resposta à adubação com nitrogênio e fósforo. Agropecuária Científica no Semiárido, 11(4), 42-52. URL: https://www.researchgate.net/publication/329555577_Crescimento_de_mudas_de_umburana_Amburana_cearensis_em_resposta_a_adubacao_com_nitrogenio_e_fosforo

Falcão Neto, R., Cavalcante, I. H. L., Rocha, L. F., Costa, L. S., Albano, F. G. & Cavalcante, M. Z. B. (2014). Estado nutricional de mudas de castanha-do-gurguéia em função de adubação nitrogenada e tratamento de substrato. Magistra, 26(1), 28-37. URL: https://www3.ufrb.edu.br/magistra/index.php/magistra/article/view/435

Freitas, E. C. S., Paiva, H. N., Leite, H. G. & Oliveira Neto, S. N. (2017). Crescimento e qualidade de mudas de Cassia grandis Linnaeus f. em resposta à adubação fosfatada e calagem. Ciência Florestal, 27(2), 509-519. doi: 10.5902/1980509827732

Gomes, J. M. & Paiva, H. N. (2011). Viveiros florestais. UFV.

Goulart, L. M. L., Paiva, H. N., Leite, H. G., Xavier, A. & Duarte, M. L. (2017). Produção de mudas de ipê-amarelo (Tabebuia serratifolia) em resposta a fertilização nitrogenada. Floresta e Ambiente, 24, 1-9. URL: https://pdfs.semanticscholar.org/adc1/d4d2e560e61796012ab9b62fc20bb67b167c.pdf

Kirschbaum, M. U. F. (2011). Does enhanced photosynthesis enhance growth? Lessons learned from CO2 enrichment studies. Plant Physiology, 155(1), 117-124. doi: 10.1104/pp.110.166819

Malavolta, E. (2006). Manual de nutrição mineral de plantas. Ceres.

Mariano, K. R., Barreto, L. S., Silva, A. H. B., Neiva, G. K. P., Ribeiro, A. J. & Amorim, S. M. C. (2009). Fotossíntese e tolerância protoplasmática foliar em Myracrodruon urundeuva Fr. All. submetida ao déficit hídrico. Revista Caatinga, 22(1), 72-77. URL: https://periodicos.ufersa.edu.br/caatinga/article/view/155

Marschner, H. (1995). Mineral nutrition of higler plants. Academic Press.

McDermitt, D. K. (1990). Sources of error in the estimation of stomatal conductance and transpiration from porometer data. HortScience, 25(12), 1538-1548. doi: 10.21273/HORTSCI.25.12.1538

Mondini, D. P. S., Santiago, E. F., Daniel, O., Silva, J. V. & Francisco, N. S. (2019). Características fisiológicas de mudas de Eucalyptus sp. sob diferentes concentrações de potássio. Revista Agrarian, 12(43), 40-47. doi: 10.30612/agrarian.v12i43.4065

Passos, M. A. A. (1994). Efeito da calagem e de fósforo no crescimento inicial da algaroba (Prosopis juliflora (SW) DC). [Tese Doutorado em Fitotecnia]. Universidade Federal de Viçosa. Repositório da UFV.

Santos, R. A., Tucci, C. A. F., Hara, F. A. S. & Silva, W. G. (2008). Adubação fosfatada para a produção de mudas de mogno (Swietenia macrophylla King). Acta Amazônica, 38(3), 453-458. doi: https://doi.org/10.1590/S0044-59672008000300009

Scremin-Dias, E., Kalife, C., Menegucci, Z. R. H. & Souza, P. R. (2006). Manual de Produção de mudas de espécies florestais nativas. UFMS.

Souza, C. A. M., Oliveira, R. B. & Lima, J. S. S. (2006). Crescimento em campo de espécies florestais em diferentes condições de adubação. Ciência Florestal, 16(3), 243-249. doi: https://doi.org/10.5902/198050981905

Souza, C. A. S., Tucci, C. A. F., Silva, J. F. & Ribeiro, W. O. (2010). Exigências nutricionais e crescimento de plantas de mogno (Swietenia macrophylla King.). Acta Amazônica, 40(3), 515-522. doi: https://doi.org/10.1590/S0044-59672010000300010

Taiz, L. & Zeiger, E. (2013). Fisiologia vegetal. Artmed.

Tatagiba, S. D., Toledo, J. V., Pezzopanne, J. E. M., Zanetti, S. S. & Cecílio, R. A. (2015). Crescimento de mudas clonais de eucalipto em condições de déficit hídrico. Revista Científica Eletrônica de Engenharia Florestal, 25(1), 16-20. URL: http://faef.revista.inf.br/imagens_arquivos/arquivos_destaque/TDWSnIQWWaQGIVD_2015-7-20-19-57-50.pdf

Tavares, N. S. (2006). Resposta ecofisiológicas e bioquímicas de duas cultivares de tomate (Lycopersicum esculentum Mill.) cultivadas em sistemas de agricultura natural e convencional. [Dissertação Mestrado em Ecofisiologia Vegetal]. Universidade Federal do Espírito Santo. Repositório Ibstitucional da UFES. URL: https://repositorio.ufes.br/handle/10/9953.

Xavier, A., Wendling, I. & Silva, R. L. (2009). Silvicultura clonal: princípios e técnicas. UFV.

Authorship contributions

1 – Maike Augusto Aguiar Ferreira

Agronomist from the Universidade de Cuiabá

https://orcid.org/0000-0001-5164-439X • maike.agronomia10@gmail.com

Contribution: Data curation, writing – original draft, writing – review & editing

2 – Cristiane Ramos Vieira

PhD in Tropical Agriculture from the Universidade Federal de Mato Grosso. Currently, is a professor in the Agronomy course at the Universidade de Cuiabá

https://orcid.org/0000-0003-1936-1343 • cris00986@hotmail.com

Contribution: Conceptualization, data curation, project administration, resources, writing – original draft, writing – review & editing

3 – Maicon Marinho Vieira Araujo

PhD in Tropical Agriculture from the Universidade Federal de Mato Grosso. Currently, is a professor in the Agronomy course at the Universidade de Cuiabá

https://orcid.org/0000-0002-7200-4751 • maiconmarinho@outlook.com

Contribution: Formal analysis, validation, visualization

How to quote this article

Ferreira, M. A. A., Vieira, C. R. & Araujo, M. M. V. (2025). Nitrogen fertilization (ammonium sulphate) in the morphophysiological characteristics of Brazilian mahogany seedlings. Ciência e Natura, Santa Maria, 47, e85961. DOI: https://doi.org/10.5902/2179460X85961.