Universidade Federal de Santa Maria

Ci. e Nat., Santa Maria, v. 45, e7, 2023

DOI: 10.5902/2179460X68906

ISSN 2179-460X

Submitted: 27/12/2021 • Approved: 03/02/2023 • Published: 31/03/2023

1 INTRODUCTION

2 MATERIAL AND METHODS

3 RESULTS AND DISCUSSION

4 CONCLUSIONS

REFERENCES

Environment

Hydrological methodologies analysis to obtaining ecological and grantable flows, considering annual and monthly criteria for Doce river, Brazil

Análise comparativa de metodologias hidrológicas para obtenção de vazões ecológicas e outorgáveis, considerando os critérios anual e mensal para o rio Doce, Brasil

Michel Trarbach BleidornI

Isamara Maria SchmidtI

Jaqueline KnaakI

Wanderson de Paula PintoII

I Universidade Federal do Espírito Santo, Vitória, ES, Brasil

II Faculdade da Região Serrana, Santa Maria de Jetibá, ES, Brasil

ABSTRACT

Grant is the National Water Resources Policy legal instrument responsible for guaranteeing water to meet human needs and maintain aquatic life. However, attention should be paid to the method used to obtain grantable volumes, as they are determined through minimum flows on an annual basis studies. This study aims to comparatively analyze methodologies for determining grantable and ecological flows and, seasonality influence in obtaining them for Doce river water regime, Southeast Brazil. Seasonal component was identified by frequency analysis. Log-Pearson type III distribution was the one that best fit the data. Considering 50% of the monthly Q7,10, it is possible to increase the grantable volume in every month, while, for 50% of Q90 and 70% of Q95 criteria, there is a decrease in the volume subject to granting between July and October. The currently method adopted in the basin, 70% of the annual Q95, presents ecological flows lowest values and, in September month, allows granting a volume 21% greater when compared to the monthly basis. It is concluded that ecological and grantable flows determination considering seasonal characteristic allows a better management of the studied watercourse.

Keywords: Reference flow; Seasonality; Optimization; Doce river

RESUMO

A outorga é o instrumento legal da Política Nacional de Recursos hídricos responsável pela garantia de água para atendimento das necessidades humanas e manutenção da vida aquática. Porém, deve-se ter atenção quanto ao método empregado na obtenção dos volumes outorgáveis, visto que são determinados através de estudos de vazões mínimas na base anual. Este estudo teve como objetivo analisar, comparativamente, metodologias para determinação de vazões ecológicas e outorgáveis e a influência da sazonalidade em sua obtenção para o regime hídrico do Rio Doce, Sudeste do Brasil. A componente sazonal foi identificada por análise de frequências. A distribuição Log-Pearson tipo III foi a que melhor se ajustou aos dados. Considerando 50% da Q7,10 mensal, é possível aumentar o volume outorgável em todos os meses, enquanto que, para os critérios 50% da Q90 e 70% da Q95, há diminuição do volume passível de outorga entre os meses de julho e outubro. O método adotado atualmente na bacia, 70% da Q95 anual, apresenta os menores valores de vazões ecológicas e, no mês de setembro, permite outorgar um volume 21% maior quando comparado à base mensal. Conclui-se que a determinação de vazões ecológicas e outorgáveis considerando a característica sazonal permite uma melhor gestão do curso d’água estudado.

Palavras-chave: Vazão de referência; Sazonalidade; Otimização; Rio Doce

1 INTRODUCTION

Rivers are fundamental in maintaining ecosystems and human communities on their banks. However, they have been impacted by a variety of anthropic activities that resulted in original ecosystem functions losses (Beechie et al., 2010), mainly due to world population exponential growth and precarious management soil use and occupation. In this context, Law 9433 from January 8, 1997, which instituted the National Water Resources Policy (PNRH) establishes that the watershed is territorial unit for implementation water resources planning and control aspects (Brasil, 1997) and holds water resources rights granting as one of its six instruments, which aim to ensure quantitative and qualitative control of water uses and access rights effective exercise.

Grantable flows in Brazil are based at minimum annual reference flows calculation and the remaining is called ecological flows. According to Benetti et al. (2003), there are basically six categories for obtaining minimum reference flows, namely: hydrological studies; hydraulic classification; multiple regressions; habitat classification; holistic and informal methods. In hydrological methods, daily or monthly flows time series are used, and from them, methods for estimating minimum flows on an annual basis are applied, being adopted by several Brazilian states. However, this criterion may become outdated in watersheds where there are large seasonal fluctuations, since there is greater water availability in rainy periods, and, consequently, a greater water volume could be granted, while in drought periods, due to water availability decrease, the granted volume should be substantially lower. This statement is supported by Rodriguez (2008), who indicates that how bigger are variations in flow rates throughout the year, less representative it is in obtaining minimum reference flow rates. Thus, several authors suggest considering seasonality in the minimum flows process obtaining, as found in Euclydes et al. (2006); Marques et al. (2009); Bof (1999) and Silva et al. (2011) works.

In this perspective, stands out the work done by Oliveira et al. (2013), whose objective was characterize the water use demands; quantify water availability; and evaluate the impact of using different grant criteria, as well as change them from annual to monthly basis, taking as a case study the Entre Ribeiros stream watershed, Minas Gerais, Southeastern Brazil. Authors found that changing the criterion from 30% to 50% of annual Q7,10 promoted increases from 5% to 170% in maximum grantable flow and, use 30% monthly Q7,10 criterion, provided volume flexibility with increases up to 209% in the stretches served percentage.

Silva et al. (2015) analyzed alternative grant criteria that consider Paraopeba River flows, Minas Gerais, Southeastern Brazil seasonality. Thus, quantitative effects of adoption quarterly and semiannual seasonal periods were analyzed in comparison with reference flows Q7,10, Q90 and Q95 in annual period. Results of Q7,10 analysis showed that the seasonal criteria application can provide an increase up to 126% in water available amount for granting at greater water availability periods, a result also verified for Q90 and Q95 permanence methods, with increases up to 99% in rainy season. However, the latter two, result in water availability reduction by up to 24.5% when compared to the annual criterion. Finally, authors concluded that adopting grant criteria at annual base is not possible to make water resources use for this watershed more flexible.

Ramos et al. (2017) developed a research aiming to evaluate water seasonality in concession of grant process and the impact on irrigation at Dourados River watershed, Minas Gerais, Southeastern Brazil. The minimum reference flow rates Q7,10 and Q95, withdrawal flow rates by irrigation (Qr) and grant flow percentage variation relative to monthly seasonal period compared to annual withdrawal flow were obtained. Results show that, when reference flows are adopted at monthly scale, there is better water resources optimization, allowing greater grant availability in flood periods and less in dry periods, with an increase up to 33.1% when considering 50% of monthly Q7,10 criterion.

Costa et al. (2019) carried a research with the aim of showing alternatives to optimization surface water use at the Uberaba River, Triângulo Mineiro, Southeastern Brazil. Using SisCAH 1.0 - Computational System for Hydrological Analysis computer program, minimum reference flow rates Q7,10 annual and monthly were obtained. Was found that replacement of annual Q7,10 flow calculation base by the monthly at rainy season (December to May) and maintenance of annual Q7,10 flow calculation base in the dry period (June to November) optimized surface water use. Among grants concession criteria, 50% of Q7,10 seasonal showed the greatest increase in grantable flow.

Serrano et al. (2020) investigated water availability effects considering annual and monthly estimates for minimum flows Q7,10 and Q95 obtaining methods. Flow regionalization techniques were used to transfer information from flowmeters to remainder watershed area, so that was possible to calculate relative difference between estimates (RD%) of all hydrographic segments. Results showed that Q95 is 31% higher than Q7,10, both for monthly basis. Considering seasonality, there is a potential to increase 50% in January considering the Q7,10 monthly, and 20% in February when considering Q95 monthly, in addition to this method implying a 20% reduction in September when compared to annual estimate.

Considering Doce river watershed socioeconomic importance, its critical situation due to environmental degradation caused by unsustainable land use practices and the Mariana dam disaster, this study aims to comparatively analyze methodologies for determining grantable and ecological flows and, seasonality influence in obtaining them for Doce river water regime, Southeast Brazil. This study results can help the planning and control of water resources and the socio-environmental management of this watershed.

2 MATERIAL AND METHODS

2.1 Study Area

The Doce River Watershed, Figure 1, presents approximate length of 853 kilometers and 83,465 km2 drainage area of which 86% belongs to Minas Gerais state and the remaining 14% to Espírito Santo state (Coelho, 2007). Doce River is formed by Piranga and Carmo rivers, whose sources are located in Serra do Espinhaço and Serra da Mantiqueira, respectively. The drainage system is important to watershed economy, providing water for domestic, agricultural and industrial use and electricity generation. Doce River is also a receiving and transporting channel of tailings and effluents. The watershed population is estimated at around 3.5 million inhabitants (CBH, 2017).

Figura 1 – Doce River Watershed

2.2 Data Analysis and Selection

Consisted data from six fluviometric stations belonging to National Water Agency (ANA) hydrometeorological network, available at Hydrological Information System (HIDROWEB) were analyzed (ANA, 2018). Flows time series with at least 20 years was adopted as a criterion for stations selection, as recommended at literature (Sarmento, 2007; Longhi & Formiga, 2011). Selected stations are shown in Figure 1. After analyzing data available, the base period 1987-2014 was determined. All months that presented more than 95% of data in the time series were used. As for hydrological year, according to Coelho (2009) research, was considered that it starts in November.

Considered stations are presented in Table 1, with respective ANA identification codes, identification nomenclature adopted in this study, geographic coordinates and drainage areas. Colatina station is located in Espírito Santo state, and the others in Minas Gerais state.

Table 1– Selected fluviometric stations information

Code

ID

Station

Zone

X (m)

Y (m)

Drainage

Area (km2)

56425000

E1

Fazenda Cachoeira D’Antas

23K

743797.41

7787930.00

10,100

56539000

E2

Cachoeira dos Óculos -Montante

23K

764035.54

7810897.75

15,900

56719998

E3

Belo Oriente

23K

775282.00

7860573.73

24,200

56850000

E4

Governador Valadares

24K

189181.61

7909859.37

40,500

56920000

E5

Tumiritinga

24K

222012.42

7900409.05

55,100

56994500

E6

Colatina

24K

328975.10

7839714.11

76,400

2.3 Statistical analysis

Complete time series are important for quality assurance in information obtaining , and it is often necessary resort to missing data treatment (Bleidorn et al., 2022). According to Tucci (1997), missing flow data imputation can be performed through linear regression, expressed as Equation 1. For the method application, was adopted as criterion obtaining a determination coefficient (R2) greater than 0.7 and the existence of at least eight pairs of common events between stations.

Qy = Qx × a + b

(1)

where Qy represents the station flow with failures (m3/s); Qx represents the station flow with data (m3/s); a and b are the regression fitted parameters.

Stationarity analysis verifies mean and variance identity of two distinct subperiods in a hydrological series. To verify stationarity in the present study, Fisher’s F and t-Student tests were applied. The analysis purpose is evaluate changes at fluviometric hydrological behavior that can be caused by different reasons, such as dams construction upstream of the monitoring station, significant water volumes removal as inputs for production processes, or even changes in the watershed rainfall regime (Sousa et al., 2009). All statistical analyses were done at R software (R Development Core Team, 2018).

2.4 Minimum Reference Flows Obtaining

Table 2 presents Espírito Santo and Minas Gerais grant criteria, states where is located the Doce river watershed, in addition to the grant criteria adopted by ANA for water bodies under Union domain, as the Doce River case, which exceeds state limits. It’s noteworthy that ecological flow is indirectly obtained through grantable flow remaining.

Table 2 – Granting criteria in the Brazilian states bathed by Doce river

States or Agencies

Water Resources Policy

Grantor

Grantable Flow

Ecological Flow

ANA

ANA resolution nº 542/2004 (ANA, 2004)

ANA

70% of Q95

30% of Q95

Espírito Santo

IEMA Normative Instruction 13/2009 (IEMA, 2009)

AGERH

50% of Q90

50% of Q90

Minas Gerais

SEMAD-IGAM resolution 1.548/2012 (SEMAD, 2012)

IGAM

50% of Q7,10

50% of Q7,10

Annual Q7,10 is defined as the smallest moving average flow of seven consecutive days that would occur with a return period at least once every 10 years, being determined by probability distribution functions, while, to calculate monthly Q7,10, Q7 is obtained for individual months of the time series (Pruski et al., 2014). Q90, on the other hand, is the flow determined from observations in a fluviometric station in a certain time period where, in 90%, the flows were equal to or greater than it. Q95 has the same meaning as Q90, however the guarantee corresponds to 95% of the observation time in which flow rates are equal or higher in time. SisCAH 1.0 software – Computational System for Hydrological Analysis was used to calculate the minimum reference flow rates (Sousa et al., 2009).

To estimate minimum flow rates for different return periods, is necessary generate probability density distribution functions. These functions are generated from minimum event data, establishing confidence intervals to determine possible variation at estimated events. Probabilistic models fit tested were: Log-Normal to two and three parameters, Pearson type III, Log-Pearson type III and Weibull. The best fit was taken based on the estimate standard error, according to Equation 3. For details, see Kite (1988). Equation 2 presents the estimate magnitude of an event with a given return period:

M = µ + Kσ

(2)

where M represents the event magnitude for an established return period; µ represents the events mean; K represents the frequency factor and σ represents the standard deviation of events.

The frequency factor value is obtained according to frequency distributions, and for the present study, the one with smallest variation at confidence interval was taken. SisCAH 1.0 uses 95% confidence level and according to Kite (1988), the interval limits estimates are given by Equation 3:

M 1.96δ < β < M + 1.96δ

(3)

where M represents the event magnitude; δ represents the standard error pertinent to each probability function and β represents the confidence interval at 95% confidence level.

Minimum reference flows Q90 and Q95 were obtained from the permanence curve of each fluviometric station based on daily data, portraying the time portion that a given flow is equaled or exceeded during the analyzed period. To do so, datasets were organized in descending order and the associated frequency with each flow value is determined, as can be seen in Equation 4 based on Pruski et al. (2006):

(4)

where Nqi represents the flows number in each interval and NT represents the total number of flows.

The permanence curve describes a relationship between watercourse flow and probability of occurring flows greater than or equal to the presented curve ordinate value (Pruski et al., 2007).

2.5 Seasonality Test

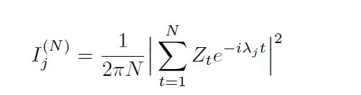
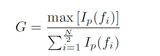
Periodogram in addition with monthly subseries graph analysis was used to identify seasonality. According to Moretin and Toloi (2006), the periodogram consists on time series decomposition in frequency domain. The analysis makes possible measure the peak contribution to spectrum which the effect column is constituted by frequencies. At ordinate axis are located the series frequencies (fi) and at abscissa axis the respective intensities of each frequency Ip(fi), defined according to Equation 5:

(5)

where , N is the observations number of series and are the Fourier frequencies. For details see Wei (2006) and Moretin e Toloi (2006).

Seasonal periodicity are obtained dividing 1 by the frequency fi that is associated with the highest intensity value Ip(fi) and Fisher’s G statistic is used to verify its significance (Fisher, 1929). When G statistic value is greater than Z value, is concluded that seasonal component with periodicity The test statistic is given by Equation 6:

(6)

where Ip(fi) represents the periodogram value at p ordinate (or, p period) and N is the time series observations number.

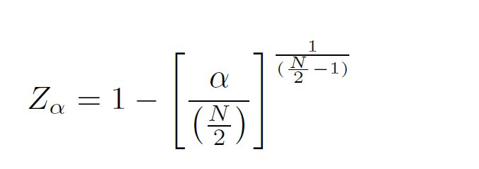
Fisher’s G test statistic, Zα, is given by Equation 7:

(7)

where α is the significance level. Tested hypotheses are:

H0: series has no seasonality; and,

H1: series has seasonality.

2.6 Seasonal Period Analyzed

To verify seasonality influence in obtaining reference minimum flows, relative difference of maximum permissible flow for grant was used considering monthly criterion compared to annual criterion, as expressed in equation 8, suggested by Pruski et al. (2014):

(8)

where DH% represents the relative difference between monthly criterion and annual criterion.

3 RESULTS AND DISCUSSION

All stations had one month with missing data above 5%, which led to their exclusion. Other missing data present in the monthly minimum flows series was detected only at Colatina Station, determining missing data imputation methodology use via linear regression. Tumiritinga Station was used as support station because presented a determination coefficient equal to 0.9601, in addition to 315 pairs of common events with Colatina station. Imputed data correspond from May to December of 1989 year. According to Fisher’s F and t-Student tests, data are stationary, that is, there were no changes in the fluviometric behavior.

For studied minimum flow variable better understanding, each station descriptive statistics are presented in Table 3. It’s observed that the minimum flows mean ranged from 110.51 m3/s in E1, located near the Doce River source, to 503.39 m3/s in E6, near the river mouth. Standard deviations, coefficient of variation and difference between maximum and minimum values show relatively high values, inferring that means are not representative, a fact that, according to Bayer et al. (2012) and Bleidorn et al. (2019), can be associated with large intra-annual data variability, indicating a possible seasonal component. Kurtosis and asymmetry values indicate that data don’t follow a normal distribution.

Tabela 3 – Minimum monthly flow variable descriptive measures

Descriptive measures

E1

E2

E3

E4

E5

E6

Mean (m3/s)

110.51

145.01

219.38

340.28

429.29

503.59

Median (m3/s)

101.42

125.20

196.08

298.61

379.98

424.53

Standard Deviation (m3/s)

44.11

64.60

96.85

156.24

193.21

262.24

Coefficient of Variance (%)

39.91

44.55

44.15

45.91

45.01

52.07

Minimum Value (m3/s)

25.46

41.59

60.24

80.13

100.23

166.22

Maximum Value (m3/s)

284.55

429.64

601.62

1,045.24

1,239.98

1,633.08

Kurtosis

1.20

2.56

1.81

2.43

2.68

3.59

Asymmetry

1.08

1.41

1.28

1.43

1.48

1.77

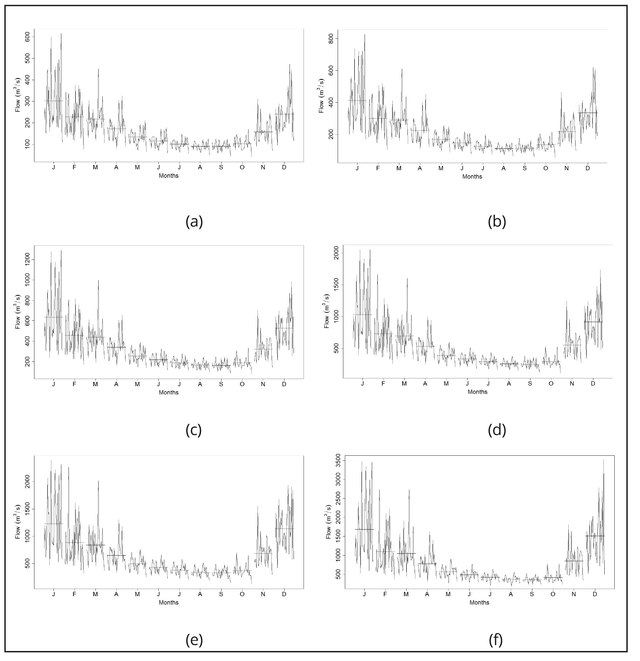
Figure 2 shows that the minimum flows series has a flood period from November to May and a dry period from June to October.

Figura 2 – Seasonality subseries monthlyplots for stations Fazenda Cachoeira D’antas (a); Cachoeira dos Óculos – Montante (b); Belo Oriente (c); Governador Valadares (d); Tumiritinga (e) and Colatina (f)

Table 4 presents highest ordinate value found for each series station (max [Ip(fi)]) and the frequency associated with it (fi) thus allowing, to obtain the seasonal period. The highest ordinate found for all stations under study is associated with the frequency 0.08333333 which implies a seasonal component with periodicity of s = 1/0.08333333 = 12 months, indicating that are series with annual seasonality, corroborating results already indicated by descriptive measures and monthly seasonality subseries. The seasonal period significance is proven through Fisher’s G test result whereby it’s verified that in all stations G value is greater than Z value and, at nominal level of 5% significance, the H0 hypothesis is rejected, confirming seasonality existence. Other studies that applied the periodogram in flows series were successful in identifying seasonality, as in Pinto et al. (2015) and Bleidorn et al. (2019). Thus, this seasonal component inferring that monthly criterion for obtaining minimum flows can allow a better water resource control and management.

Tabela 4 – Fisher’s G Test results, seasonal period, spectrum highest ordinate and frequency associated with it in the minimum flow series under study

Fluviometric stations

G value

Z value

max [Ip(fi)]

fi

E1

0.3568

0.0475

124274.50

0.083333333

12

E2

0.3519

0.0475

270460.30

0.083333333

12

E3

0.3615

0.0475

632995.00

0.083333333

12

E4

0.2986

0.0475

2068549.0

0.083333333

12

E5

0.3454

0.0475

1572171.0

0.083333333

12

E6

0.3100

0.0475

4085922.0

0.083333333

12

According to standard error, Log-Pearson type III was the distribution that best fit to most data, with exception of March for E1 station, March and October for E5 and the annual series for E6, which best fits Weibull distribution.

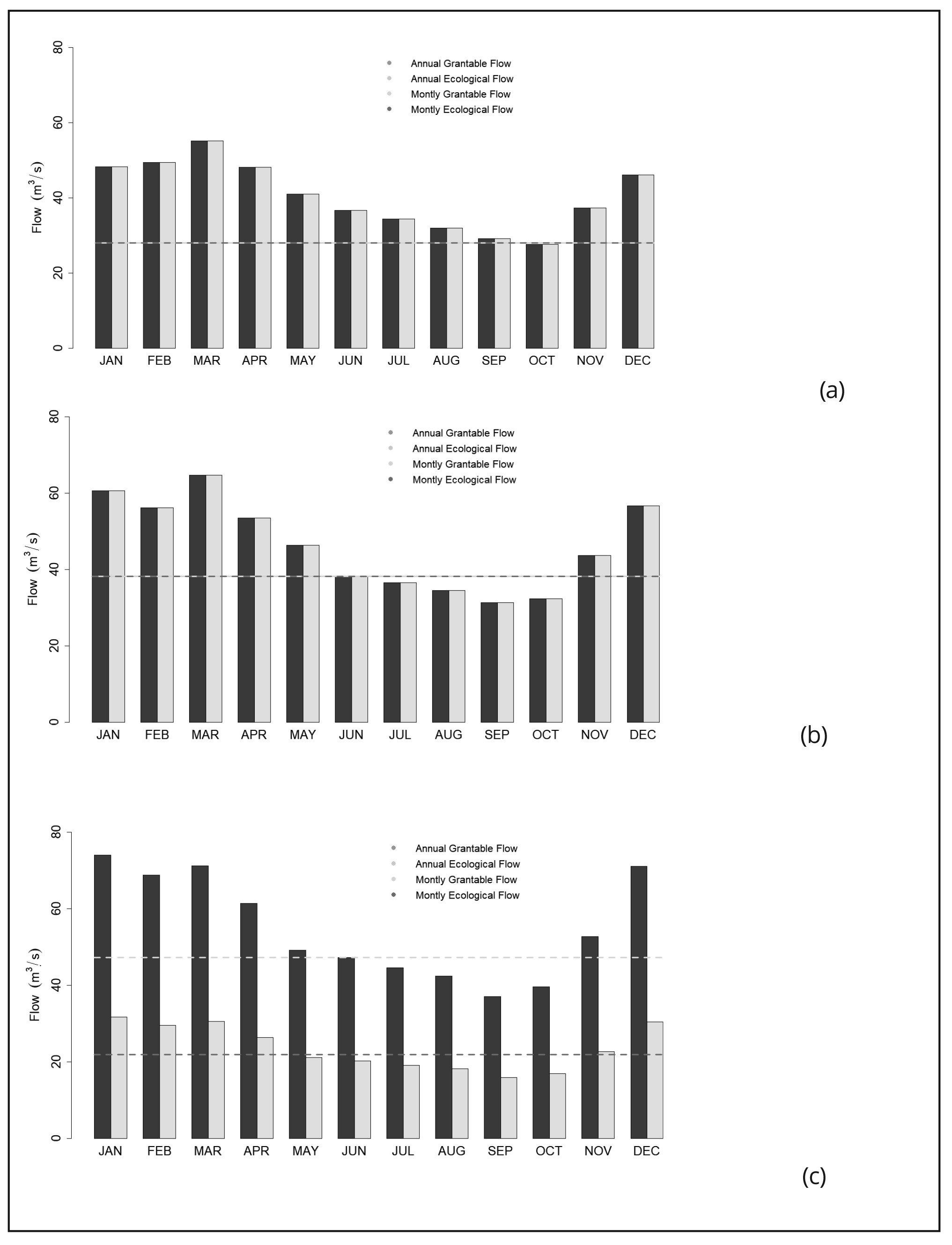
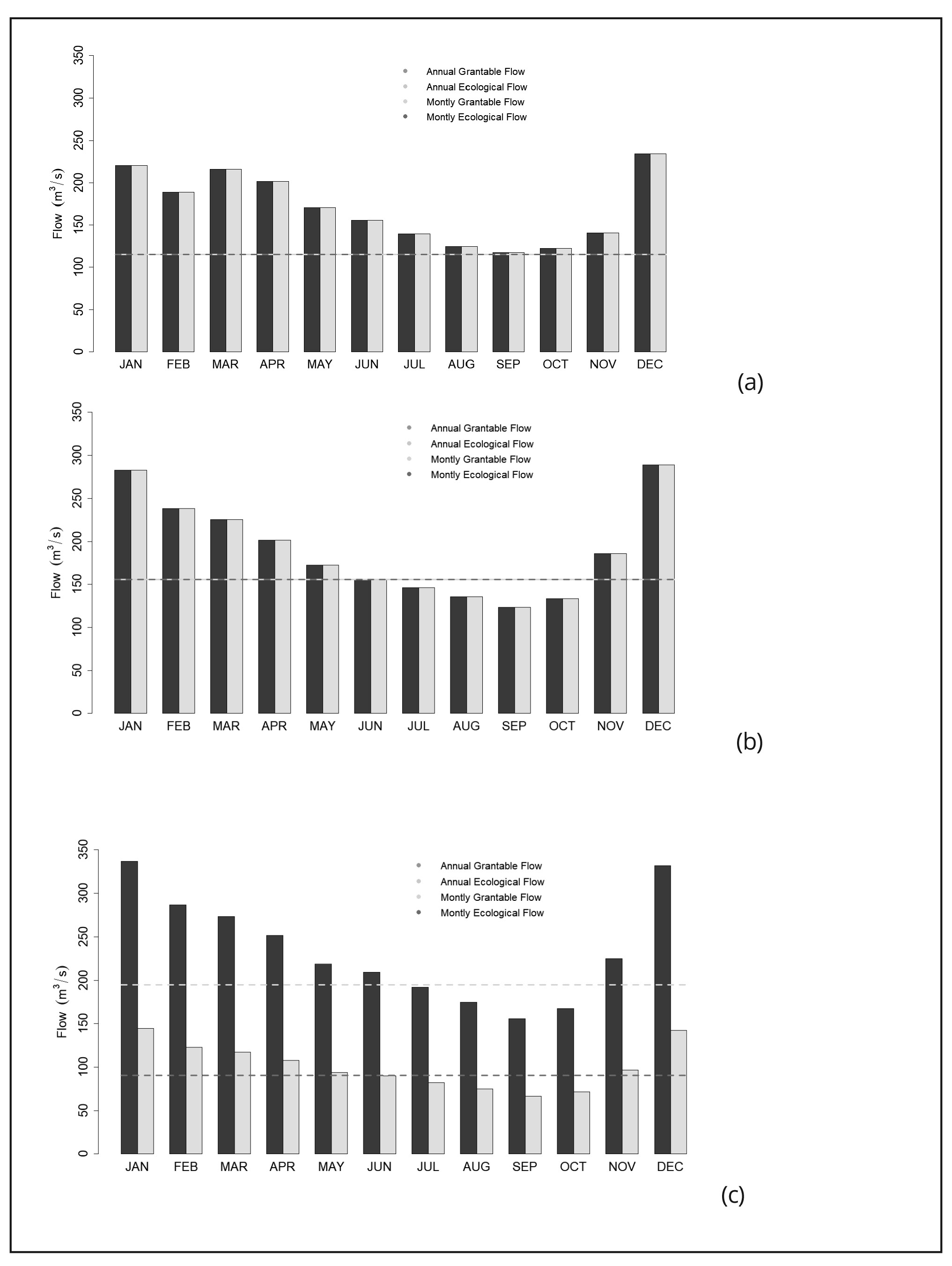
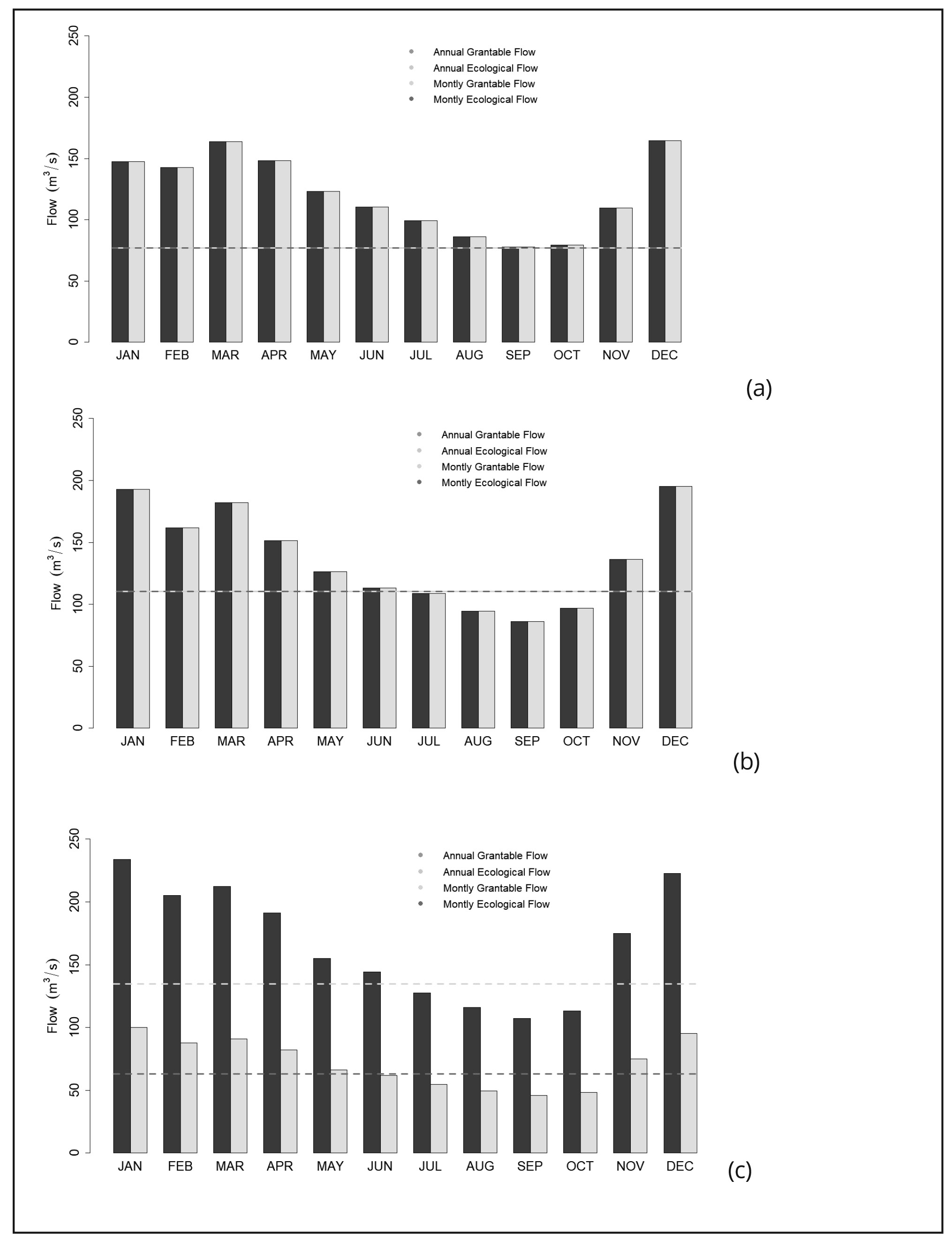
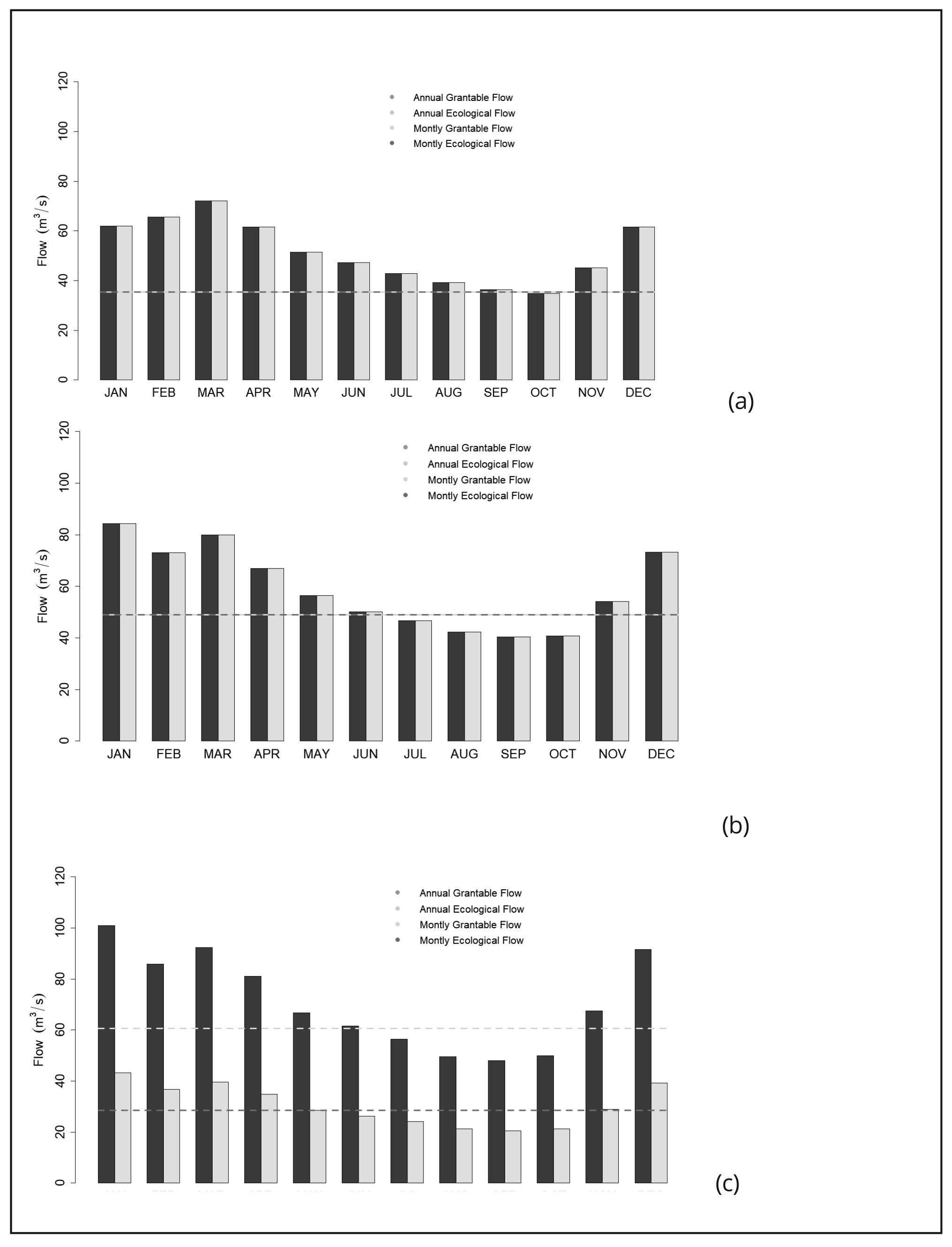
Regime flow variability has direct impact on water availability, that is, at rainy periods, observed flows are greater than in dry periods. Figures 3 to 8, show differences between methodologies used to obtain minimum reference flows, as well as variations in ecological and grantable flows values considering monthly and annual criteria. Results show a similar behavior trend at six analyzed stations. Considering monthly grant criterion, it’s observed that months with greatest water availability comprise November to May period, and months with the lowest offers are between June and October. Using the annual grant criterion, that is, annual reference minimum flow, monthly minimums are not considered and for this fact, seasonal characteristic is not incorporated. Thus, periods with greater water supply cannot be exploited, while periods with lesser supply may be abused. This fact can plus to additional pressures on the water body environmental quality, on the public supply and on the watershed economy. Oliveira et al. (2013) highlight that the minimum flow at annual basis returns the minimum of entire year, while a minimum flow at a monthly basis corresponds to minimums of each month in the year, leading to conclusion that use reference flows for grants estimated considering annual basis ends up restricting water use to a value not evidenced in all months of the year.

For all fluviometric stations, it’s verified that through 50% of the Q90 granting criterion , both in monthly and annual criteria, the highest ecological flows were obtained. Through 70% of the Q95 grant criterion, regardless whether on monthly or annual basis, the lowest ecological flows were found, and, consequently, highest grantable flows, with exception that monthly criterion is more permissible in rainy periods and more restrictive in dry periods. This result is corroborated by Arai (2014) in a study carried out for Ivinhema river watershed, Mato Grosso do Sul, which the author reports that the 70% of annual Q95 granting criterion, compared with the monthly criteria, has the characteristic of being very permissible in months when there is low water availability and very restrictive in months with greater availability. According to a study carried out by Bof (1999), this fact can lead to a high risk of conditions occurrence that may even imply complete river dryness.

The criterion that obtained lowest grantable flow values was 50% of Q7,10, a result that consist with Melo e Von Sperling (2007) and Amorim Júnior (2014) works, since, according to this last one, “how Q7,10 reflects a severe scarcity situation and restricted to the most critical 7 days of a year or a month whose occurrence probability is 10%, disadvantages of adopting this flow as a reference point out to water resources excessive limitation”.

Figura 3 – Annual and monthly ecological and grantable flows behavior of Fazenda Cachoeira D’antas station for the (a) 50% of Q7,10 criteria; (b) 50% of Q90 criteria; and (c) 70% of Q95 criteria

Figura 4 – Annual and monthly ecological and grantable flows behavior of Cachoeira dos Óculos - Montante station for the (a) 50% of Q7,10criteria; (b) 50% of Q90 criteria; and (c) 70% of Q95 criteria

Figura 5 – Annual and monthly ecological and grantable flows behavior of Belo Oriente station for the (a) 50% of Q7,10criteria; (b) 50% of Q90 criteria; and (c) 70% of Q95 criteria

Figura 6 – Annual and monthly ecological and grantable flows behavior of Governador Valadares station for the (a) 50% of Q7,10criteria; (b) 50% of Q90 criteria; and (c) 70% of Q95 criteria

Figura 7 – Annual and monthly ecological and grantable flows behavior of Tumiritinga station for the (a) 50% of Q7,10criteria; (b) 50% of Q90 criteria; and (c) 70% of Q95 criteria

Figura 8 – Annual and monthly ecological and grantable flows behavior of Colatina station for the (a) 50% of Q7,10criteria; (b) 50% of Q90 criteria; and (c) 70% of Q95 criteria

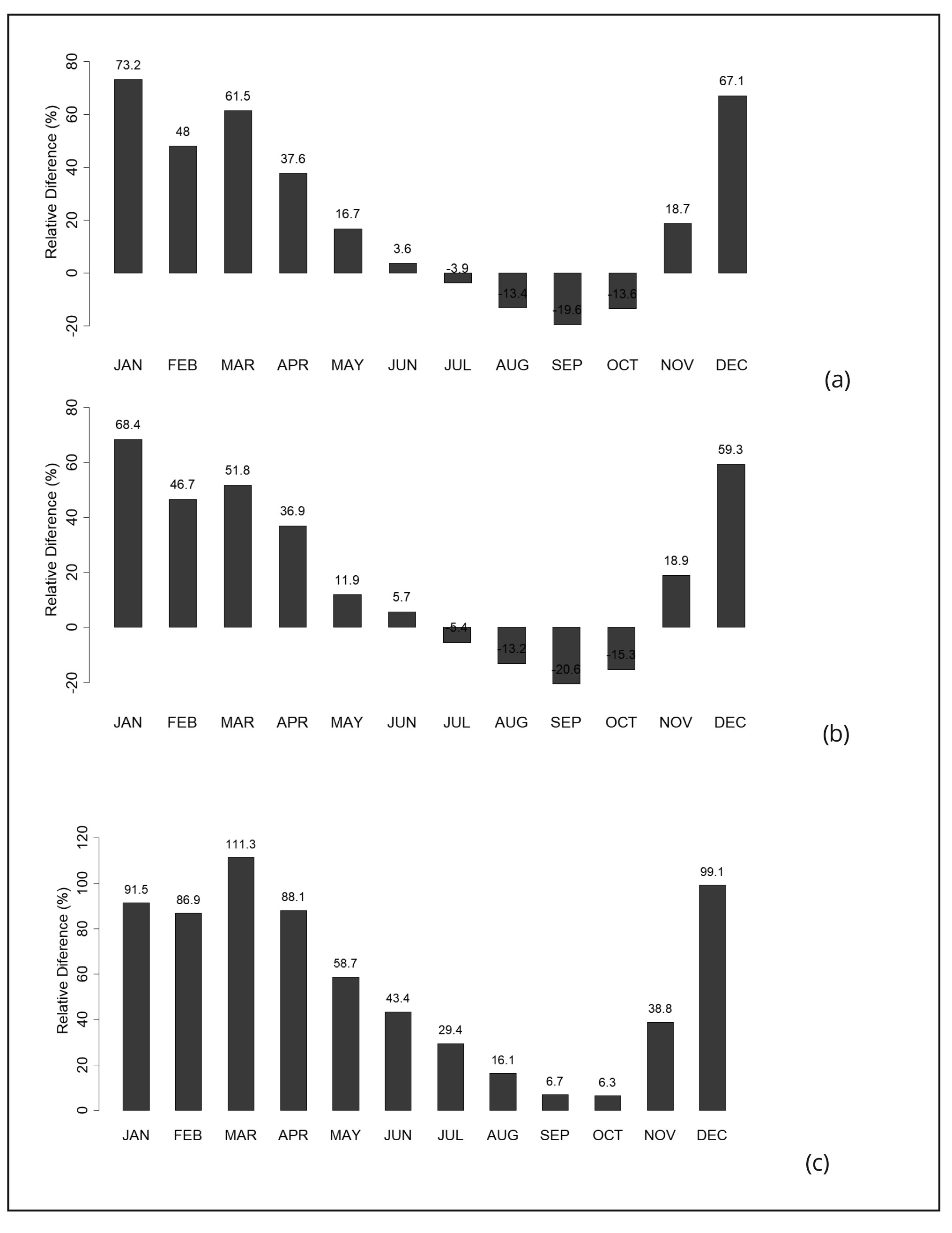
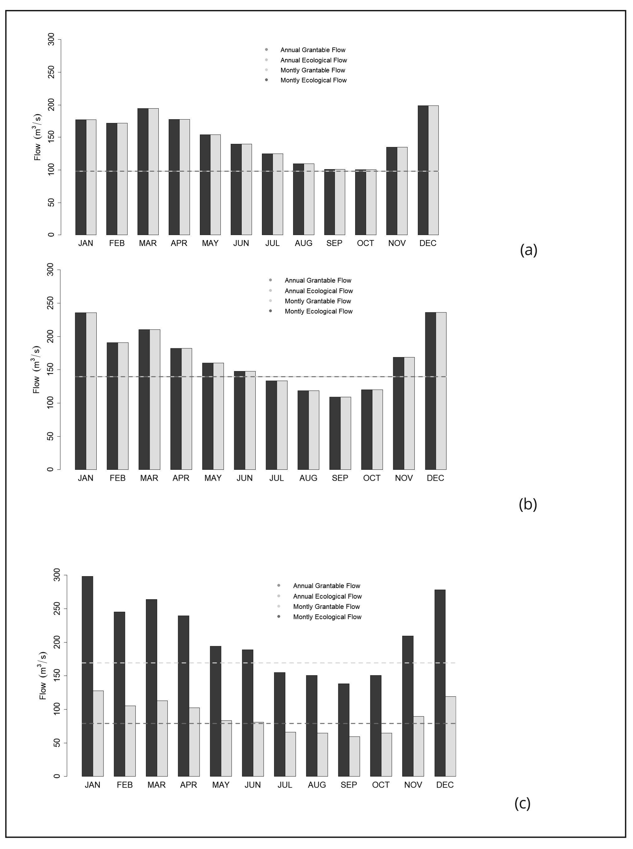
Figure 9 shows the results of changing grant and ecological flow values from annual to monthly basis, for reference minimum flow methodologies used in this study. Using 50% of Q7,10 for concession of grants at monthly basis, every month of the year has an increase in the grantable volume, including months when water availability is reduced. Increase is greater between November to April, with emphasis at March, when an additional volume of 111% could be granted. This result corroborates with Oliveira et al. (2013), who, in a study carried out for the Entre Ribeiros stream watershed, Minas Gerais state, using 50% of Q7,10 granting criterion, showed that the calculated reference flow replacement on an annual basis by those calculated on a monthly basis resulted in a reference flow increase for estimating water availability in the watershed, being greater than 50% at December to June months.

Observing flow rates that can be granted by 50% of Q90 criterion, it’s concluded that, as well as through 50% of Q7,10 criterion, in months with greater water availability it’s possible to grant a greater volume. Changing annual to monthly basis, can be infered that a greater water volume could be granted from November to June. However, from July to October, a smaller water volume would be available to grant, so that river’s biota don’t be drastically affected. Most critical situation was found at September month, when 20% of the volume should not be granted.

Granting criterion corresponding to 70% of annual Q95 presents highest grantable flows values, in addition to being very permissible in months with less water availability at Doce River. Through Figure 4 analysis, it’s clear that monthly criteria adoption for concession of grants is more restrictive when compared to annual, mainly regarding the most critical months, which are July, August, September and October and, thus, for 50% of Q90 criterion, in these months, granted volume, considering seasonality, must be smaller than that of annual base.

Figura 9 – Grantable and ecological flow average relative difference in the annual and monthly grant criteria for each adopted reference flow: Q90 (a); Q95 (b) and Q7,10(c)

In a study that evaluated seasonality influence of water resources on concession of grants at Paraopeba river watershed, Minas Gerais, Silva (2012) found through Q7,10 analysis, that the seasonal criteria application can provide an increase up to 126% in water available amount for granting in periods with greater water availability. Already for flows associated with 90% (Q90) and 95% (Q90) permanence, increases up to 99% were recorded in rainy season, however, in dry period, water availability reduction was up to 24.5% compared to annual period.

In agreement, Moreira et al. (2020) observed similar behavior when there is a change from annual to monthly basis, in Grande river watershed, divided by Minas Gerais and São Paulo states. It was possible to infer the values flexibility in the seasonal basis of 393, 84.25 and 87.20% for Q7,10, Q90 and Q95, respectively. For the dry period, it was found that Q90 and Q95 methodologies are restrictive, reaching an average of up to 20% that should no longer be granted. Pruski et al. (2014) also verified the minimum reference flows (Q7,10 and Q95) flexibility with the change from annual to monthly basis, considering in a case study Paracatu River watershed, Minas Gerais. For the first methodology (Q7,10) increases in the granting potential were observed ranging from values of around 10% in lower availability months to values exceeding 200% in greater availability months of surface water resources. For monthly Q95 replacing annual Q95, variations were observed ranging from reductions of up to 37% in greater water restriction months to values that exceed 100% in greater water supply months. In a comparison between Q7,10 and Q95 methods, as in this study, Serrano et al. (2020) found that for Piranga River (also inserted in Doce River watershed), Q95 allows for more gains in volume grants at flood season and is less restrictive in dry season, when its considered the change from annual to monthly basis.

This study results and those from literature show the importance of considering seasonality to determine grantable and ecological flows. However, in practice, often the right to use water (grant) does not represent real fluvial characteristics, and, therefore, the water source may have its use underutilized in flood cases, or be substantially exploited in the dry season. These factors combination makes difficult to implement an effective water management plan in watersheds, especially at areas with water use conflicts (Ramos et al., 2021). It is considered that, eventually, minimum flows obtained considering the seasonal fluctuation in detriment of annual basis, would allow a better water resources and environment management of a watershed.

Doce River is a watercourse under Union’s domain, so granting criterion adopted for its waters is the proposed by ANA, that is, 70% of annual Q95, and for the six studied stations, was evidenced that this grant criterion is very permissible in months with low water availability allowing, for example, granting a volume up to 21% more in relation to monthly basis at September, in addition to presenting the lowest ecological flow rates when compared to monthly criteria. Thus, it’s interesting that granting criteria applied to Doce River be revised for river’s biota and dependent ecosystem aren’t drastically affected.

4 CONCLUSIONS

Lowest ecological flows were obtained by 70% of Q95 method and highest ones by 50% of Q90 method, both on a monthly and annual basis. Lowest grant values were obtained for 50% of Q7,10 method and highest for 70% of Q95 method, both on a monthly and annual basis. According to relative difference, for 50% of Q7,10 method, a greater water volume can be granted throughout the year, however, for 50% of Q90 and 70% of Q95 methods, it’s possible grant a larger volume only at November to May and, between June to October, a smaller volume must be granted.

Considering seasonality to obtain minimum reference flows is essential for water resources use optimizing, as well as promoting greater environmental protection. It’s noteworthy that the Doce River proven seasonal characteristic is verified in most Brazilian water bodies, a fact that deserves attention, because minimum reference flows obtaining considering seasonality would enable greater aquatic life protection, especially at drought months. Stands out that integrated management actions for water resources use must be implemented, in which projects like as rainwater capture, water reuse and losses reduction in water supply systems, being fundamental actions examples so that a smaller water volume is subtracted from water sources.

Therefore, current grant criterion isn’t suitable for Doce River reality, impacting negatively river’s biota, whose situation was already considered serious before Mariana disaster due to intense deforestation suffered by the watershed since 1940s, motivated by advance industrialization, mining and urban areas that increased domestic and industrial effluents discharge, degrading river water quality. Added to this, there is a drought in the watershed since 2014. In front of this scenario, the importance of adopting a more restrictive concession grant criterion, which considers seasonality, guarantees a greater water volume in the riverbed for maintenance aquatic and surrounding communities, which is fundamental for the ecosystem resilience process.

REFERENCES

Amorim Júnior, J. C. (2014). Disponibilidade hídrica para outorga de captação: critérios anual e mensal para definição de vazões mínimas de referência. Dissertação de Mestrado, Universidade Federal do Espírito Santo, Vitória.

ANA (2018). Agência Nacional das Águas (Brasil). HIDROWEB: Sistema de Informações Hidrológicas. Retrieved from: http:// hidroweb.ana.gov.br/default.asp.

Arai, F. K. (2014). Critérios para concessão de outorga e eficiência do uso dos recursos hídricos pela irrigação. Tese de Doutorado, Universidade Federal da Grande Dourados, Dourados.

Bayer, D. M., Castro, N. D. R., Bayer, F. M. (2012). Modelagem e previsão de vazões médias mensais do rio Potiribu utilizando modelos de séries temporais. Revista Brasileira de Recursos Hídricos, 17(2), 229–239, https://doi.org/10.21168/rbrh.v17n2.p229- 239.

Beechie, T. J., Sear, D. A., Olden, J. D., Pess, G. R., Buffington, J. M., Moir, H., Roni, P., Pollock, M. M. (2010). Process-based Principles for Restoring River Ecosystems. BioScience, 60(3), 209–222, https://doi.org/10.1525/bio.2010.60.3.7.

Benetti, A. D., Lanna, A. E., Cobalchini, M. S. (2003). Metodologias para determinação de vazões ecológicas em rios. Revista Brasileira de Recursos Hídricos, 8(2), 149–160.

Bleidorn, M. T., Pinto, W. P., Braum, E. S., Lima, G. B., Montebeller, C. A. (2019). Modelagem e previsão de vazões médias mensais do rio jucu, es, utilizando o modelo sarima. IRRIGA, 24(2), 320–335, https://doi.org/10.15809/irriga.2019v24n2p320- 335.

Bleidorn, M. T., Pinto, W. P., Schmidt, I. M., Mendonça, A. S. F., Reis, J. A. T. d. (2022). Methodological approaches for imputing missing data into monthly flows series. Revista Ambiente & Água, 17, https://doi.org/10.4136/ambi-agua.2795.

Bof, L. H. N. (1999). Análise de critérios de outorga de direito de uso dos recursos hídricos. Masters theses, Universidade Federal de Viçosa, Viçosa.

CBH (2017). Comitê da Bacia Hidrográfica do Rio Doce: A Bacia. Retrieved from: http://www.cbhdoce.org.br/ institucional/a-bacia.

Coelho, A. L. N. (2007). Alterações hidro geomorfológicas no médio-baixo rio Doce/ES. Tese de Doutorado, Universidade Federal Fluminense, Niterói.

Coelho, A. L. N. (2009). Bacia hidrográfica do Rio Doce (MG/ES): uma análise socioambiental integrada. Geografares, 9(7), 131–146.

Costa, E. S., Salla, M. R., Pereira, C. E., Lima, G. (2019). Otimização do aproveitamento hídrico superficial no alto curso do rio Uberaba, Triângulo Mineiro. Sociedade & Natureza, 31, 1–21, https://doi.org/10.14393/SN-v31-2019-41033.

Euclydes, H. P., Ferreira, P. A., Faria Filho, R. (2006). Critério de outorga sazonal para a agricultura irrigada no estado de Minas Gerais–Estudo de Caso. Revista Item–Irrigação e Tecnologia Moderna Brasília, (71/72), 42–50.

Fisher, R. A. (1929). Tests of significance in harmonic analysis. Proceedings of the Royal Society of London Series A, Containing Papers of a Mathematical and Physical Character, 125(796), 54–59.

Instrução Normativa nº. 013, de 09 de dezembro de 2009. Altera a redação dos artigos 8º, 9º e 15, da Instrução Normativa 19, de 04 de outubro de 2005. Retrieved from: https://servicos.iema.es.gov.br/legislacao/FileHandler.ashx?id=237&type=2.

Kite, G. W. (1988). Frequency and risk analyses in hydrology, 5º edn. Water Resources Publications, Highlands Ranch, Colorado.

Lei nº. 9.433, de 08 de janeiro de 1997. Institui a Política Nacional de Recursos Hídricos, cria o Sistema Nacional de Gerenciamento de Recursos Hídricos, regulamenta o inciso XIX do art. 21 da Constituição Federal, e altera o art. 1º da Lei nº 8.001, de 13 de março de 1990, que modificou a Lei nº 7.990, de 28 de dezembro de 1989. URL http://www.planalto.gov.br/ccivil_03/LEIS/L9433.htm.

Longhi, E. H., Formiga, K. T. M. (2011). Metodologias para determinar vazão ecológica em rios. Revista Brasileira de Ciências Ambientais, (20), 33–48, Retrieved from: http://rbciamb.com.br/index.php/Publicacoes_RBCIAMB/article/ view/352.

Marques, F. A., Silva, D. D., Ramos, M. M., Pruski, F. F. (2009). Aquora — sistema multi-usuário para gestão de recursos hídricos. Revista Brasileira de Recursos Hídricos, 14(4), 51–69, URL https://abrh.s3.sa-east-1.amazonaws.com/ Sumarios/9/a57fa24e9fbb4e6bf5fbef5be4677399_24d184f47717ca08b83b1e4ce2232927.pdf.

Melo, M. C., Von Sperling, M. (2007). Avaliação de Metodologias para concessão de outorga de lançamento de efluentes em corpos d’água. Estudo de caso: Bacia do Ribeirão Marmelada. Em: Anais do 24º Congresso Brasileiro de Engenharia Sanitária e Ambiental, 24º Congresso Brasileiro de Engenharia Sanitária e Ambiental, Belo Horizonte.

Moreira, H. S., Moreira, K. S., Sousa, P. E. d. O., Oliveira, L. F. C. d. (2020). Cenários de disponibilidade hídrica para concessão de outorga: estudo de caso da bacia vertentes do rio grande, estados de minas gerais e são paulo, brasil. Revista Brasileira de Gestão Ambiental e Sustentabilidade, 7(15), 341–350, https://doi.org/10.21438/rbgas(2020)071524.

Moretin, P. A., Toloi, C. M. C. (2006). Análises de séries temporais. E. Blucher, São Paulo.

Oliveira, J. R., Pruski, F. F., Nunes, A. A. (2013). Otimização do Aproveitamento da Disponibilidade de Águas Superficiais na Bacia do Ribeirão entre Ribeiros . Revista Brasileira de Recursos Hídricos,18 (4),157–172, URL https://www.researchgate.net/profile/Aline-Nunes-4/Ribeirao .

Pinto, W. P., Lima, G. B., Zanetti, J. B. (2015). Previsão de regimes de vazões médias mensais do rio doce, colatina-espírito santo. Ciência e Natura, 37(3), 1–11, https://doi.org/10.5902/2179460X17143.

Pruski, F., Silva, D., Koetz, M. (2006). Estudo da vazão em cursos d’água. Associação Mineira de Engenheiros Agrícolas, Universidade Federal de Viçosa, Viçosa, caderno didático: 43 edn.

Pruski, F. F., Rodriguez, R. G., Novaes, L. F., Silva, D. D., Ramos, M. M., Teixeira, A. F. (2007). Impacto das vazões demandadas pela irrigação e pelos abastecimentos animal e humano, na bacia do Paracatu. Revista Brasileira de Engenharia Agrícola e Ambiental, 11(2), 199–210, http://dx.doi.org/10.1590/S1415-43662007000200011.

Pruski, F. F., Bof, L. H. N., Silva, L., Silva, J., Rego, F. S., Justino, F. B. (2014). Impact of the substitution of reference annual streamflow by monthly streamflow on the potential use of water resources. Engenharia Agrícola, 34(3), 496–509, http://dx.doi.org/10.1590/S0100-69162014000300013.

R Development Core Team (2018). R: A language and environment for statistical computing. R Foundation for Statistical Computing, Vienna, Austria, URL http://www.R-project.org.

Ramos, D. D., Pereira, S. B., Arai, F. K., Santos, F. A., Carnevali, T. O. (2017). Water seasonality in granting permits and impact of irrigation in the Dourados River basin, MS, Brazil. Revista Brasileira de Engenharia Agrícola e Ambiental, 21(7), 499–504, https://doi.org/10.1590/1807-1929/agriambi.v21n7p499-504.

Ramos, M. C. A., Pruski, F. F., Generoso, T. N., de Andrade Pinto, E. J. (2021). Methodology for optimizing water use in shared ma- nagement schemes under conflict conditions. Water Resources Management, 35(10), 3161–3177, https://doi.org/10.1007/s11269- 021-02870-y.

Resolução nº. 542, de 03 de novembro de 2004. Delega competência para deferimento de pedidos de outorga preventiva e de direito de uso de recursos hídricos, e dá outras providências. Retrieved from: http://arquivos.ana.gov.br/resolucoes/2004/542-2004.pdf.

Resolução nº. 1548, de 29 de março de 2012. Dispõe sobre a vazão de referência para o cálculo da disponibilidade hídrica superficial nas bacias hidrográficas do Estado. Retrieved from: http://www.agencia.baciaspcj.org..

Rodriguez, R. G. (2008). Proposta conceitual para a regionalização de vazões. Tese de Doutorado, Universidade Federal de Viçosa, Viçosa.

Sarmento, R. (2007). Termo de referência para a elaboração de estudos sobre a vazão ecológica na bacia do rio São Francisco. Organização das Nações Unidas para a Educação, a Ciência e a Cultura – UNESCO.

Serrano, L. d. O., Ribeiro, R. B., Borges, A. C., Pruski, F. F. (2020). Low-flow seasonality and effects on water availability throughout the river network. Water Resources Management, 34(4), 1289–1304, https://doi.org/10.1007/s11269-020-02499-3.

Silva, B. M. B. (2012). Influência da sazonalidade da disponibilidade hídrica nos critérios de outorga de uso da água e avaliação de índices para a gestão e planejamento de recursos hídricos na bacia do Rio Paraopeba. Masters thesis, Departamento de Engenharia Agrícola, Universidade Federal de Viçosa, Viçosa, Retrieved from: https://www.locus.ufv.br/handle/123456789/3604.

Silva, B. M. B. d., Silva, D. D. d., Moreira, M. C. (2015). Influência da sazonalidade das vazões nos critérios de outorga de uso da água: estudo de caso da bacia do rio Paraopeba. Revista Ambiente & Água, 10(3), 623–634, https://doi.org/10.4136/ambi- agua.1587.

Silva, D. D., Marques, F. A., Lemos, A. F. (2011). Flexibilidade das vazões mínimas de referência com a adoção do período trimestral. Revista Engenharia na Agricultura - REVENG, 19(3), 244–254, https://doi.org/10.13083/reveng.v19i3.309.

Sousa, H. T., Pruski, F. F., Bof, L. H. N., Cecon, P. R., Souza, J. R. C. (2009). SisCAH 1.0: Sistema Computacional para Análises hidrológicas. ANA, UFV, Brasília, DF; Viçosa, MG.

Tucci, C. E. M. (1997). Hidrologia: ciência e aplicação, 2º edn. Editora da UFRGS, Porto Alegre.

Wei, W. W. S. (2006). Time series analysis: univariate and multivariate methods. Pearson Addison Wesley, United States of America.

Authorship contributions

1 – Michel Trarbach Bleidorn

Master’s student of the Graduate Program in Environmental Engineering at the Federal University of Espírito Santo (PPGEA-UFES) in the area of concentration in Water Resources.

https://orcid.org/0000-0003-4773-3546 • michelbleidorn@gmail.com

Contribution: Conceptualization, Data curation , Formal Analysis , Investigation, Methodology, Software, Validation, Visualization, Writing – original draft

2 – Isamara Maria Schmidt

Master’s student of the Graduate Program in Environmental Engineering at the Federal University of Espírito Santo (PPGEA-UFES) in the area of concentration in Air Pollution.

https://orcid.org/0000-0003-3107-2931 • isamaraschmidt@gmail.com

Contribution: Data curation, Formal Analysis, Investigation, Software, Validation, Visualization, Writing – original draft, Writing – review & editing

3 – Jaqueline Knaak

Master’s student of the Graduate Program in Environmental Engineering at the Federal University of Espírito Santo (PPGEA-UFES) in the area of concentration in Air Pollution.

https://orcid.org/0000-0001-8980-7289 • jaquelineknaak@gmail.com

Contribution: Formal Analysis, Visualization, Writing – original draft

4 – Wanderson de Paula Pinto

Doctor by the Graduate Program in Environmental Engineering at the Federal University of Espírito Santo (PPGEA-UFES) in the area of concentration in Air Pollution

https://orcid.org/0000-0001-5267-227X • wandersondpp@gmail.com

Contribution: Supervision, Visualization

How to quote this article

Bleidorn, M. T., Schmidt, I. M., Knaak, J., Pinto, W. de P. Análise comparativa de metodologias hidrológicas para obtenção de vazões ecológicas e outorgáveis, considerando os critérios anual e mensal para o rio Doce, Brasil. Ciência e Natura, Santa Maria, v. 45, e7, 2023. DOI 10.5902/2179460X68906