Logotipo

Descrição gerada automaticamente

Desenho de personagem de desenhos animados com texto preto sobre fundo branco

Descrição gerada automaticamente com confiança média

Universidade Federal de Santa Maria

Ci. e Nat., Santa Maria, v. 44, Ed. Esp. VI SSS, e6, 2022

DOI: 10.5902/2179460X68814

ISSN 2179-460X

Submitted: 8/12/2021 • Approved: 9/12/2021 • Published: 1/4/2022

Uma imagem contendo Interface gráfica do usuário

Descrição gerada automaticamente

1 INTRODUCTION.. 4

2 MATERIAL AND METHODS. 6

3 RESULTS AND DISCUSSION.. 8

4 CONCLUSION.. 14

ACKNOWLEDGMENTS. 15

REFERENCES. 15

 

Special Edition

Study of the temporal variation of offshore wind energy potential in southeast Brazil

Estudo da variação temporal do potencial de energia eólica offshore no sudeste do Brasil

Thiago Ribeiro Coriolano IÍcone

Descrição gerada automaticamente

Natália Tasso Signorelli IIÍcone

Descrição gerada automaticamente

Jader Lugon Junior IÍcone

Descrição gerada automaticamente

Marcos Antonio Cruz Moreira IÍcone

Descrição gerada automaticamente

Maria Gertrudes Alvarez Justi da Silva IIÍcone

Descrição gerada automaticamente

I Instituto Federal Fluminense, Macaé, RJ, Brazil

II Universidade Estadual do Norte Fluminense Darcy Ribeiro, Macaé, RJ, Brazil

ABSTRACT

Global energy consumption has grown over the years marked by technological development and industrialization. Renewable sources have gained prominence due to climate urgency and international agreements that aim to reduce CO2 emissions across the planet. In this regard, wind energy, already consolidated in the onshore region, has evolved offshore regions. In Brazil, there is a growing interest in offshore wind projects. Many of these projects are currently through the environmental licensing process, mostly in the southeastern region of the country. It is known that this area has a relevant wind energy potential. This area is dynamically dominated by the South Atlantic Subtropical Height, the main meteorological phenomenon in the region, which has been affected by recent changes in the global atmospheric circulation. This work aims to evaluate the temporal variation of offshore wind potential in southeastern Brazil. ERA5 reanalysis hourly outputs from 1979 to 2020 were evaluated through high-level computational tools (python and CDO programming languages and GIS software) and consolidated statistical analysis mechanisms. A general decrease in the frequency of low wind speed records (≤7.5 m·s−1) and a raise in the higher wind speed range (>7.5 m·s−1), mainly related to the intensification and expansion of the South Atlantic Subtropical Height (SASH) over the past 40 years, were observed and affected the estimates of offshore wind potential over the analyzed region. Apart from the coast of São Paulo and the south coast of Rio de Janeiro, there was a consistent increase in the wind power density over decades. The four analyzed points presented an increase of 1.55 W·m−2·y−1 to 1.89 W·m−2·y−1, which corresponds to an increase of 8.2% to 11.2% in the median wind power density

Keywords: Renewable Energy; ERA5 reanalysis; Offshore Wind Farms

RESUMO

O consumo global de energia tem crescido ao longo dos anos marcado pelo desenvolvimento tecnológico e industrialização. As fontes renováveis ganharam destaque devido à urgência climática e aos acordos internacionais que visam reduzir as emissões de CO2 em todo o planeta. Nesse sentido, a energia eólica, já consolidada na região continental (onshore), evoluiu para regiões marítima (offshore). No Brasil, há um crescente interesse em projetos eólicos offshore. e diversos se encontram em fase de licenciamento ambiental, inclusive na região sudeste do país, onde há um potencial de energia eólica relevante. O principal meteorológico da região, a Alta Subtropical do Atlântico Sul (ASAS), tem sido afetado por mudanças recentes na circulação atmosférica global. Este trabalho tem como objetivo avaliar a variação temporal do potencial eólico offshore no sudeste do Brasil. As saídas horárias da reanálise ERA5 de 1979 a 2020 foram processadas por meio de ferramentas computacionais de alto nível (linguagem de programação Python e CDO e software de SIG) e mecanismos de análise estatística consolidados. Neste sentido, foi observada uma redução na frequência dos ventos de baixa velocidade (≤7,5 m·s−1) e um aumento da frequência na faixa de alta velocidade (>7,5 m·s−1) que afetaram as estimativas do potencial eólico offshore na região de estudo, principalmente relacionado à intensificação e expansão da ASAS nos últimos 40 anos. Exceto para o litoral de São Paulo e do sul do Rio de Janeiro, houve um aumento consistente na densidade de potência eólica ao longo das décadas. Os quatro pontos analisados apresentaram aumento de 1,55 W·m−2·y-1 para 1,89 W·m−2·y-1, o que corresponde a um aumento de 8,2% a 11,2% na mediana da densidade potência eólica.

Palavras-chave: Energias renováveis; Reanálise ERA5; Fazendas Eólicas Marítimas

1 INTRODUCTION

The demand for energy is increasing, primarily associated with services to meet social and economic development needs and improve human health and well-being. The global use of fossil fuels has gained prominence in energy supply, leading to rapid growth of carbon dioxide (CO2) emissions since 1850 (EDENHOFER et al., 2012).

Despite the recent historical events, such as the 2008 crisis and the Covid-19 pandemic in 2020-2021, the global electricity consumption per capita has increased over 1000 kWh in the past 15 years, mainly motivated by technological development and industrialization, which drive global electricity demand (RITCHIE; ROSER, 2021).

In the present scenario of urgent climate crises and increasing energy demand, the search for new renewable energy sources has become essential. Among the currently available renewable sources, the expansion of wind power energy has been noteworthy worldwide (SANTOS et al., 2015).

Globally, offshore wind farms have been a reality for many years. The total installed capacity increased from 3.3 GW in 2011 to 27.2 GW in 2019. An annual growth superior to all other sources of electricity, excepting the photovoltaic solar energy (IEA, 2019).

Currently, Brazil ranks 7th among the countries with the largest installed wind energy production capacities (GWEC, 2019). The country’s onshore capacity (about 15.9 GW) is expected to reach 32.2 GW by 2030. Offshore wind farms, however, are still unprecedented.

The first offshore projects in Brazil were submitted to IBAMA (Brazilian Institute for the Environment and Renewable Natural Resources) in 2016. Driven by the increasing interest of entrepreneurs on this subject, the Energy Research Office (EPE) published the Brazilian Offshore Wind Roadmap in January 2020. It identifies potential challenges for the development of this sector in Brazil, including the lack of legal and regulatory scopes (EPE, 2020) also discussed by Santestevan (2019) and Souza et al. (2021). According to these authors, even though offshore wind farm entrepreneurs need to contact at least eight different public agencies to obtain authorizations for their developments, their legal security is not yet guaranteed. In this sense, the law project PL 11.247/18 seeks to build the legal framework for offshore wind farms. Currently under discussion in the Brazilian Senate, however, it still needs further development and approval to become a valid law in the country. Besides, IBAMA published the first term of reference for environmental licensing of wind farms later in 2020.

To date, 19 projects have been registered by investors who wish to obtain environmental licensing of their projects. Five of them are located in the region of interest of this paper: the coastal region of the States of Rio de Janeiro and Espírito Santo in Brazil (SEI/IBAMA, 2021).

Next to the country’s most populated areas and largest economic centers, this region is one of the promising locations for offshore wind power generation within the Exclusive Economic Zone (EEZ) of Brazil, with an averaged wind energy potential of 83 GW for water depths below 100 m and 1118 GW for the whole EEZ (EPE, 2020; CORIOLANO, 2020).

Nascimento (2020) also shows that the wind energy potential varies seasonally, mainly in response to the South Atlantic Subtropical Height (SASH), the major atmospheric system affecting the region, source of the north and northeastern winds that dominate this location. According to the author, in April, at the weakest point of SASH (KAPALA; MÄCHEL; FLOHN, 1998; DEGOLA, 2013; SIGNORELLI, 2017) the region has half the capacity of generating wind energy than it does in September (500 W·m−2, at 100 m height) when SASH is both, more intense and closer to the region.

Several studies also show that the strength and position of the SASH have been affected by recent changes in the global atmospheric circulation (SEIDEL et al., 2008; HUDSON, 2012; VIZY; COOK, 2016, among others). According to Signorelli (2017) and Reboita et al. (2019), the SASH has expanded, intensified, and moved southward in the past decades. This poleward shift of the SASH has also been verified in different future scenarios (HE et al., 2017; REBOITA; AMARO; DE SOUZA, 2018).

Few studies address the changes in the wind power generation in the Brazilian coastal areas. Recently, Pereira et al. (2013) and Reboita, Amaro and De Souza (2018) analyzed the potential impacts of the different future climate scenarios described by the IPCC. According to the authors, the overall the impact of the global climate changes on the wind power might be favorable to the profitability of existing and future wind projects, especially in the Northeast and South regions of Brazil. However, the historical data were used mainly to validate the climate models. The recent changes of wind power generation offshore Southeast Brazil was not assessed and is currently unknown.

In this sense, this present article proposes to analyze the last 40 years of wind data to assess the impacts of recent changes in the global atmospheric circulation in the wind energy potential in Brazil’s southeastern region, comprising a multi-decadal wind power density and wind frequency distribution, anomalies, and trends analysis.

2 MATERIAL AND METHODS

In this study, ERA5 reanalysis hourly outputs from 1979 to 2020 (C3S, 2017, p. 5; HERSBACH et al., 2020) were used to assess the recent changes in wind energy potential offshore Brazil. This reanalysis is consolidated and widely used in academia and industry for wind potential modeling (OLAUSON, 2018).

The monthly-averaged Wind Power Density (WPD) time series was obtained according to Equation (1) (SOARES; LIMA; NOGUEIRA, 2020):

  [W/m2]

(1)

where:  is the density of the air,  is the wind speed at 100 m. Air density () is considered constant and equal to 1.22 kg·m−3, according to International Organization for Standardization, (ISO, 1975), standard atmosphere.

The area of study is shown in Figure 1. Four additional points (P1 to P4, Table 1) were defined considering a less complex and costly offshore wind farm project as defined by EPE (2020): high energy generation potential (GOMES, 2018; CORIOLANO, 2020; NASCIMENTO, 2020), proximity to the coast and lower water depth. All points were defined within the 200 nautical miles from coast line that define the country’s exclusive economic zone (EEZ) (BRASIL, 1990). The selected points are within a region of broad interest in the development of offshore wind farm projects, emphasized by the location of the five projects currently being processed for environmental licensing (Figure 1).

Table 1 Points of Interest

 

Latitude [S]

Longitude [W]

P1

21.50°

40.50°

P2

22.00°

40.50°

P3

22.25°

40.75°

P4

22.75°

41.50°

Source: Authors, 2021

Figure 1 – Points of interest and offshore wind farm projects

Mapa

Descrição gerada automaticamente

Source: Authors, 2021

To verify the effects of recent changes in the global atmospheric circulation in the WPD in the area, a multi-decadal analysis was performed. Decades from 1990 to 2010 were compared to 1980. As wind speeds are generally not normally distributed, the Mann-Whitney non-parametric test (GIBBONS; CHAKRABORTI, 2020) was applied. Same approach was applied in wind resource analysis papers (CARVALHO; GÓMEZ-GESTEIRA; SILVA SANTOS, 2017). The one-sided test was used to verify if data from 1980 were stochastically smaller, with a confidence level of 95%.

To better assess the interannual and decadal variabilities, a boxcar filter of 12 months was applied to remove the seasonal variation from the monthly time series of WPD. Then, the linear trend was calculated using the Kendall-Theil robust line estimator (GRANATO, 2006), considering a 95% significance.

3 RESULTS AND DISCUSSION

The geospatial distribution of the power density decades median from 1981 to 2020 is presented in Figure 2. The anomalies, relative to the 1980s, are shown in percentage in Figure 3. Already discussed in the literature (GOMES, 2018; CORIOLANO, 2020; NASCIMENTO, 2020), the area between the northeast coast of Rio de Janeiro and the south of Espírito Santo is a region of high energy generation potential. Results also show that there was an increase in the WPD (up to 12%) over the decades.

Figure 2 – Wind Power Density Median [W·m−2] at 100 m from 1981 to 2020

Gráfico, Gráfico de superfície

Descrição gerada automaticamente

Source: Authors, 2021

Figure 3 – Wind Power Density Anomalies [%] at 100 m from 1990 to 2010, relative to the decade of 1980

Interface gráfica do usuário, Gráfico

Descrição gerada automaticamente com confiança média

Source: Authors, 2021

The comparison between 1980 and 2010 median values (Table 2) shows an increase of 8.2% (P1), 9.8% (P2), 11.2% (P3) and 10.8% (P4).

Table 2 – Wind Power Density [W·m−2] at 100 m over the Decades of 1980 and 2010 for P1 to P4

 

Median [W·m−2]

Mann-Whitney Test Results

P-value

 

1980

2010

P1

421.8

435.1

0.013

P2

429.7

458.8

0.025

P3

408.1

443.3

0.018

P4

426.2

459.1

0.033

Source: Authors, 2021

Figure 4 also shows a shift in the distribution of the monthly WPD within each decade, with an increasing dissimilarity between the first and third quantiles. The maximum wind power density was observed in 2010, exceeding 1100 W·m−2 at all four points. Comparatively, the 1980 maximum WPD at all four points did not reach 1000 W·m−2 and were marked as outliers. The Mann-Whitney test results show that those differences are statistically significant at 95% (Table 2).

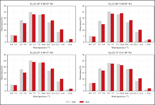
As expected, changes over the WPD reflect the shift in the distribution of the hourly wind speed records over the area. It is possible to observe a general decrease in the frequency of low wind speed records (0 to 7.5 m·s−1) whereas the higher wind speed range (>7.5 m·s−1) increased over the decades (Figure 5). Between 1980 and 1990, the frequency of the wind speed >7.5 m·s−1 raised about 4%. On average, there was an increase of 0.7% (P4) to 1.7% (P1) per decade. The contribution of wind speed above 15 m·s−1 alone changed from 1.3% (1.3%) in 1980 to 2.5% (1.8%) in 2010 at P1 (P4).

Figure 4 – Decadal Wind Power Density Distribution at 100 m from 1980 to 2010, for P1 to P4

Gráfico, Gráfico de caixa estreita

Descrição gerada automaticamente

Source: Authors, 2021

Figure 5 – Wind Frequency Distribution at 100 m [%] of the Decades of 1980 and 2010

Gráfico, Gráfico de barras

Descrição gerada automaticamente

Source: Authors, 2021

No significant changes were found in the frequency distribution of the wind direction over the analyzed period (not shown). The north and northeast winds, related to the presence of the SASH, corresponded to 53-58% of the observations (Table 3).

As stated in Table 3, most of the observed wind speed increase was related to the north and northeast winds from the SASH, suggesting a strengthening of the high-pressure system over the region, as described by Signorelli (2017).

Table 3 – Frequency Distribution of Wind Records at 100 m [%] for the Decades of 1980 and 2010, grouped by Speed [m·s−1] and Direction

Direction [From]

Wind Intensity

P1

P2

P3

P4

1980

2010

1980

2010

1980

2010

1980

2010

N, NE

≤7.5 m·s−1

19.1%

16.1%

18.1%

15.5%

17.9%

15.6%

16.2%

15.6%

>7.5 m·s−1

37.9%

42.1%

37.5%

41.5%

37.3%

41.3%

37.2%

39.6%

E to NW

≤7.5 m·s−1

30.2%

28.1%

30.0%

27.7%

30.7%

28.4%

32.3%

30.5%

>7.5 m·s−1

11.2%

12.0%

12.1%

13.2%

11.9%

12.6%

12.9%

12.7%

Source: Authors, 2021

Wind speeds above 25 m·s−1 were not observed in any of the four points analyzed, which is beneficial for wind energy production since it is the cut-off limit (the speed that the turbine shuts down to avoid damage) for most of the offshore wind turbine models available. Future scenarios need to be evaluated, considering that future climate change scenarios can further change the wind frequency distribution, especially at the higher speed ranges.

The wind power density trend from 1979 to 2020 is presented in Figure 6. Considering 95% significance, positive trends were observed in almost the entire analyzed area, except for the coast of São Paulo and the south coast of Rio de Janeiro, where smaller negative changes were found (−0.5 W·m−2·y−1).

The points of interest are located in a region of a rapid increase in wind power density, with trends ranging from 1.55 W·m−2·y−1 to 1.89 W·m−2·y−1 (Table 4).

Figure 6 – Wind Power Density Trend [W·m−2·y−1] from 1979 to 2020

Gráfico, Gráfico de superfície

Descrição gerada automaticamente

Source: Authors, 2021

Table 4 – Wind Power Density Linear Trend at 100 m [W·m−2·y−1] from 1979 to 2020, for P1 to P4

 

Linear Trend

[W·m−2·y−1]

95% Confidence Interval

[W·m−2·y−1]

 

P1

1.89

1.53

2.25

P2

1.55

1.20

1.88

P3

1.56

1.24

1.88

P4

1.60

1.26

1.92

Source: Authors, 2021

This fast increase in energy supply may not continue in the foreseeable future. As discussed by Schaeffer et al. (2012), the analysis of the climate impacts on wind energy production must consider the frequency distribution of wind speeds. From the wind energy production perspective, the intensification of the wind is positive for the development, since the turbines can generate more energy, following their power curve. However, considering the main offshore wind turbine models available on the market, there is no increase in the energy production for wind speeds higher than 15 m·s−1. Thus, climate change scenarios in which higher frequencies of wind above this threshold are expected need to be evaluated during the planning of the wind farms.

4 CONCLUSION

The analysis of the last 40 years of wind data showed an overall positive impact of in the global atmospheric circulation in the wind energy potential in Brazil’s southeastern region.

Apart from the coast of São Paulo and the south coast of Rio de Janeiro, a statistical increase in the WPD was observed over the decades which can be translated into a growth of about 10 in the median wind power density, peaking to more than 20% in some areas.

These changes are mainly related to the intensification of the north and northeast winds, due to the strengthening and expansion of the SASH. A general decrease in the frequency of low wind speed records (0 to 7.5 m·s−1) and a raise in the higher wind speed range (>7.5 m·s−1) were verified.

As discussed, a frequency raise of wind speeds from 7 to 15 m·s−1 is generally beneficial to wind farm developments. However, for the major offshore wind turbine models available in the market, there will not be any significant increase in energy production if wind speeds above 15 m·s−1 become more recurrent. Although not observed in any of the four analyzed points, a constant strengthening of wind over the area might lead to speeds above the cut-off limit of those turbines (25 m·s−1) in the future.

In this sense, a more detailed assessment of the wind distribution variations, using hourly wind data fit to the Weibull distribution, would refine the estimates of wind energy production by accounting for the effects of the turbines power curves. The same methodology, when applied to different carbon emission scenarios, would contribute to better identify the consequences of climate change in the future of the wind energy production in the area.

ACKNOWLEDGMENTS

The authors acknowledge the financial support provided by CAPES, Coordination for the Improvement of Higher Education Personnel (Finance Code 001), CNPq, National Council for Scientific and Technological Development, and FAPERJ, Carlos Chagas Filho Foundation for Supporting Research in the State of Rio de Janeiro.

REFERENCES

ALAYDI, Juma Yousuf. A Survey on the Assessment of Wind Energy Potential in Gaza Strip. Wind Engineering, v. 34, n. 5, p. 531–541, 1 out. 2010. https://doi.org/10.1260/0309-524X.34.5.531.

ASAKEREH, Abbas; OMID, Mahmoud; ALIMARDANI, Reza; SARMADIAN, Fereydoon. Investigating Potential of Wind Energy in Mahshahr, Iran. Wind Engineering, v. 39, n. 4, p. 369–384, 2015.

BRASIL. Convenção das Nações Unidas sobre o direto do mar. 99.165, 1990.

C3S. ERA5: Fifth generation of ECMWF atmospheric reanalyses of the global climate. 2017. Disponível em: https://cds.climate.copernicus.eu/cdsapp#!/home. Acesso em: 1 dez. 2020.

CARVALHO, David; GÓMEZ-GESTEIRA, M.; SILVA SANTOS, Carlos. Potential impacts of climate change on European wind energy resource under the CMIP5 future climate projections. Renewable Energy, v. 101, p. 29–40, 1 fev. 2017. https://doi.org/10.1016/j.renene.2016.08.036.

CORIOLANO, Thiago Ribeiro. Estudo do Potencial de Geração de Energia Eólica Offshore no Brasil. 2020. 52 f. Monografia (Pós-Graduação) – UNIVERSIDADE ESTADUAL DO NORTE FLUMINENSE DARCY RIBEIRO, Macaé, 2020. Disponível em: https://www.lamet.uenf.br/copia-especializacao-em-clima-agua-1.

DEGOLA, Thiago Souza Dias. Impactos e variabilidade do anticiclone subtropical do atlântico sul sobre o Brasil no clima presente e em cenários futuros. 2013. 112 f. Dissertação de Mestrado – Universidade de São Paulo, São Paulo, 2013. Disponível em: https://www.iag.usp.br/pos/sites/default/files/d_thiago_s_d_degola_corrigida.pdf. Acesso em: 22 nov. 2019.

EDENHOFER, O.; R.  PICHS-MADRUGA; Y. SOKONA; K. SEYBOTH; P. MATSCHOSS; S. KADNER; T. ZWICKEL; P. EICKEMEIER; G. HANSEN; S. SCHLÖMER; C. VON STECHOW. Renewable energy sources and climate change mitigation: special report of the Intergovernmental Panel on Climate Change. Choice Reviews Online, v. 49, n. 11, p. 49-6309-49–6309, 1 jul. 2012. https://doi.org/10.5860/CHOICE.49-6309.

EPE. Roadmap Eólica Offshore Brasil, n. No NT-EPE-PR-001/2020-r1. Rio de Janeiro - Brasil: EPE, 2020.

GIBBONS, Jean Dickinson; CHAKRABORTI, Subhabrata. Nonparametric Statistical Inference. [S. l.]: CRC Press, 2020.

GOMES, Mateus Sant’Anna de Sousa. Proposta de uma metodologia para utilização de energia eólica offshore no litoral Sudeste do Brasil. 26 fev. 2018. Disponível em: https://repositorio.ufscar.br/handle/ufscar/10122. Acesso em: 23 ago. 2020.

GRANATO, Gregory E. Kendall-Theil Robust Line (KTRLine—version 1.0)—A Visual Basic Program for Calculating and Graphing Robust Nonparametric Estimates of Linear-Regression Coefficients Between Two Continuous Variables. [S. l.: s. n.], 2006. v. chap. A7, (4). Disponível em: https://pubs.usgs.gov/tm/2006/tm4a7/. Acesso em: 30 maio 2021.

GWEC. Global Wind Report 2019 | Global Wind Energy Council. [S. l.: s. n.], 2019. Disponível em: https://gwec.net/global-wind-report-2019/. Acesso em: 30 maio 2021.

HE, Chao; WU, Bo; ZOU, Liwei; ZHOU, Tianjun. Responses of the Summertime Subtropical Anticyclones to Global Warming. Journal of Climate, v. 30, n. 16, seç. Journal of Climate, p. 6465–6479, 15 ago. 2017. https://doi.org/10.1175/JCLI-D-16-0529.1.

HERSBACH, Hans; BELL, Bill; BERRISFORD, Paul; HIRAHARA, Shoji; HORÁNYI, András; MUÑOZ-SABATER, Joaquín; NICOLAS, Julien; PEUBEY, Carole; RADU, Raluca; SCHEPERS, Dinand; SIMMONS, Adrian; SOCI, Cornel; ABDALLA, Saleh; ABELLAN, Xavier; BALSAMO, Gianpaolo; BECHTOLD, Peter; BIAVATI, Gionata; BIDLOT, Jean; BONAVITA, Massimo; … THÉPAUT, Jean-Noël. The ERA5 global reanalysis. Quarterly Journal of the Royal Meteorological Society, v. 146, n. 730, p. 1999–2049, 2020. https://doi.org/10.1002/qj.3803.

HUDSON, R. D. Measurements of the movement of the jet streams at mid-latitudes, in the Northern and Southern Hemispheres, 1979 to 2010. Atmospheric Chemistry and Physics, v. 12, n. 16, p. 7797–7808, 30 ago. 2012. https://doi.org/10.5194/acp-12-7797-2012.

IEA (Org.). Offshore Wind Outlook 2019: World Energy Outlook Special Report. Offshore Wind, p. 98, 2019.

ISO. ISO 2533:1975. 1975. ISO. Disponível em: https://www.iso.org/cms/render/live/en/sites/isoorg/contents/data/standard/00/74/7472.html. Acesso em: 31 maio 2021.

JIANG, Yingni. Research on Wind Energy Potential at Karamay. Wind Engineering, v. 39, p. 229–236, 1 jun. 2015. https://doi.org/10.1260/0309-524X.39.3.229.

KAPALA, A.; MÄCHEL, H.; FLOHN, H. Behaviour of the centres of action above the Atlantic since 1881. Part II: Associations with regional climate anomalies. International Journal of Climatology, v. 18, n. 1, p. 23–36, 1998. https://doi.org/10.1002/(SICI)1097-0088(199801)18:1<23::AID-JOC226>3.0.CO;2-7.

NASCIMENTO, Mariana Ximenes do. Estudo do Potencial da Energia Eólica Offshore nas Bacias do Sul e Sudeste do Brasil. 2020. 60 f. Monografia (Pós-Graduação) – UNIVERSIDADE ESTADUAL DO NORTE FLUMINENSE DARCY RIBEIRO, Macaé, 2020. Disponível em: https://www.lamet.uenf.br/copia-especializacao-em-clima-agua-1.

OLAUSON, Jon. ERA5: The new champion of wind power modelling? Renewable Energy, v. 126, p. 322–331, 1 out. 2018. https://doi.org/10.1016/j.renene.2018.03.056.

PEREIRA, Enio B.; MARTINS, Fernando R.; PES, Marcelo P.; DA CRUZ SEGUNDO, Eliude I.; LYRA, André de A. The impacts of global climate changes on the wind power density in Brazil. Renewable Energy, Selected papers from World Renewable Energy Congress - XI. v. 49, p. 107–110, 1 jan. 2013. https://doi.org/10.1016/j.renene.2012.01.053.

REBOITA, Michelle Simões; AMARO, Tatiana Rocha; DE SOUZA, Marcelo Rodrigues. Winds: intensity and power density simulated by RegCM4 over South America in present and future climate. Climate Dynamics, v. 51, n. 1, p. 187–205, 1 jul. 2018. https://doi.org/10.1007/s00382-017-3913-5.

REBOITA, Michelle Simões; AMBRIZZI, Tércio; SILVA, Bruna Andrelina; PINHEIRO, Raniele Fátima; DA ROCHA, Rosmeri Porfírio. The South Atlantic Subtropical Anticyclone: Present and Future Climate. Frontiers in Earth Science, v. 7, 2019. DOI 10.3389/feart.2019.00008. Disponível em: https://www.frontiersin.org/articles/10.3389/feart.2019.00008/full. Acesso em: 5 jun. 2021.

RITCHIE, Hannah; ROSER, Max. World per capita electricity consumption. 2021. Disponível em: https://ourworldindata.org/grapher/per-capita-electricity-consumption. Acesso em: 29 jan. 2021.

SANTESTEVAN, William Hornburg. A ZONA ECONÔMICA EXCLUSIVA BRASILEIRA E OS PARQUES EÓLICOS OFFSHORE: ASPECTOS LEGAIS. 2019. 49 f. Trabalho Conclusão do Curso – Universidade Federal de Santa Catarina, Araranguá, 2019. Disponível em: https://repositorio.ufsc.br/bitstream/handle/123456789/203257/A%20ZONA%20ECON%c3%94MICA%20EXCLUSIVA%20BRASILEIRA%20E%20OS%20PARQUES%20E%c3%93LICOS%20OFFSHORE%20ASPECTOS%20LEGAIS.pdf?sequence=1&isAllowed=y. Acesso em: 23 ago. 2020.

SANTOS, J. A.; ROCHINHA, C.; LIBERATO, M. L. R.; REYERS, M.; PINTO, J. G. Projected changes in wind energy potentials over Iberia. Renewable Energy, v. 75, p. 68–80, 1 mar. 2015. https://doi.org/10.1016/j.renene.2014.09.026.

SCHAEFFER, Roberto; SZKLO, Alexandre Salem; PEREIRA DE LUCENA, André Frossard; MOREIRA CESAR BORBA, Bruno Soares; PUPO NOGUEIRA, Larissa Pinheiro; FLEMING, Fernanda Pereira; TROCCOLI, Alberto; HARRISON, Mike; BOULAHYA, Mohammed Sadeck. Energy sector vulnerability to climate change: A review. Energy, v. 38, n. 1, p. 1–12, 1 fev. 2012. https://doi.org/10.1016/j.energy.2011.11.056.

SEIDEL, Dian J.; FU, Qiang; RANDEL, William J.; REICHLER, Thomas J. Widening of the tropical belt in a changing climate. Nature Geoscience, v. 1, n. 1, p. 21–24, jan. 2008. https://doi.org/10.1038/ngeo.2007.38.

SEI/IBAMA. Sistema Eletrônico de Informações - SEI/IBAMA. 2021. Disponível em: http://www.ibama.gov.br/sei.

SIGNORELLI, Natália Tasso. Um estudo da variabilidade da alta subtropical do atlântico sul usando reanálises. 2017. 45 f. Trabalho de Conclusão de Curso (Especialização) – Universidade Estadual Norte Fluminense Darcy Ribeiro, Macaé, 2017.

SOARES, Pedro M. M.; LIMA, Daniela C. A.; NOGUEIRA, Miguel. Global offshore wind energy resources using the new ERA-5 reanalysis. Environmental Research Letters, v. 15, n. 10, p. 1040a2, out. 2020. https://doi.org/10.1088/1748-9326/abb10d.

SOUZA, Laise Novellino Nunes de; ALVES, Alexsandro da Silva; JUNIOR, Jader Lugon; PINTO, Augusto Eduardo Miranda. Legal challenges for the implementation of a wind farm in the city of Macaé, Rio de Janeiro – Brasil. Revista de Direito da Cidade, v. 13, p. 1081–1099, 2021.

VIZY, Edward K.; COOK, Kerry H. Understanding long-term (1982–2013) multi-decadal change in the equatorial and subtropical South Atlantic climate. Climate Dynamics, v. 46, n. 7, p. 2087–2113, 1 abr. 2016. https://doi.org/10.1007/s00382-015-2691-1.

Authorship contributions

1 – Thiago Ribeiro Coriolano (Corresponding author)

Master’s in Environmental Engineering

https://orcid.org/0000-0002-3236-2204tcoriolano2@gmail.com

Contribution: Conceptualization, Data curation, Formal Analysis, Investigation, Methodology, Writing – Original draft

2 – Natália Tasso Signorelli

Master's in Science (Oceanography)

https://orcid.org/0000-0003-0954-2001ntsignorelli@gmail.com

Contribution: Conceptualization, Data curation, Formal Analysis, Investigation, Methodology, Writing – Original draft

3 – Jader Lugon Junior

PhD in Computer Modeling

https://orcid.org/0000-0001-8030-0713jlugonjr@gmail.com

Contribution: Conceptualization, Methodology, Supervision, Writing - review & editing

4 – Marcos Antonio Cruz Moreira

PhD in Electrical Engineering

https://orcid.org/0000-0001-9928-7846mcruzbr@yahoo.com.br

Contribution: Formal Analysis, Supervision, Writing - review & editing

5 – Maria Gertrudes Alvarez Justi da Silva

PhD in Mechanical Engineering

https://orcid.org/0000-0002-6650-5648justi@uenf.br

Contribution: Data curation, Supervision, Writing - review & editing

How to quote this article

CORIOLANO, T. R.; SIGNORELLI.; N. T.; LUGON JUNIOR, J. MOREIRA, M. A. C.; SILVA, M. G. A. J. Study of the temporal variation of offshore wind energy potential in southeast Brazil. Ciência e Natura, Santa Maria, v. 44, Ed. Esp. VI SSS, e6, 2022. DOI: 10.5902/2179460X68814.