Logotipo

Descrição gerada automaticamente

Desenho de personagem de desenhos animados com texto preto sobre fundo branco

Descrição gerada automaticamente com confiança média

 

Universidade Federal de Santa Maria

Ci. e Nat., Santa Maria, v. 44, e27, 2022

DOI: 10.5902/2179460X68460

ISSN 2179-460X

Submitted: 11/11/2021 • Approved: 06/04/2022 • Published: 13/06/2022

1 INTRODUCTION.. 3

2 MATERIALS AND METHODS. 4

3 RESULTS AND DISCUSSION.. 9

4 CONCLUSION.. 17

ACKNOWLEDGEMENTS. 17

REFERENCES. 18

 

Environment

Determination of pesticides in hydroponic water for environmental phytoremediation

Determinação de pesticidas em água hidropônica para fitorremediação ambiental

Anderson da Silva Rosa IÍcone

Descrição gerada automaticamente

Bruna Piaia Ramborger IÍcone

Descrição gerada automaticamente

Maria Luisa Candido Zago IÍcone

Descrição gerada automaticamente

Dandara Fidélis Escoto IÍcone

Descrição gerada automaticamente

Elton Luis Gasparotto DenardinIÍcone

Descrição gerada automaticamente

Rafael Roehrs IÍcone

Descrição gerada automaticamente

 

I Universidade Federal do Pampa, Uruguaiana, RS, Brasil

ABSTRACT

This study validated a simple, and fast method by High Performance Liquid Chromatography with Diode Array Detector (HPLC -DAD) for pesticide phytoremediation analysis. The method was developed in water and in a hydroponic medium. Sample extraction and concentration were performed by Solid Phase Extraction (SPE) with Strata C18-E type cartridges. The SPE-HPLC-DAD method was successfully applied in the detection and quantification of quinclorac, 2,4-D, propanil, bentazon, clomazone and tebuconazole in water and hydroponic medium for 14 days. The method presented excellent results with the linearity of 0.9969 - 0.9994 and the lowest limit of detection (LOD) and quantification (LOQ) of pesticides was 1.7 μg/L and 5.0 μg/L, respectively with RSD <11.92%. The average recovery obtained ranged from 77.62% to 109.73% and RSD <12.70%. A Lactuca sativa species promoted phytoremediation on the 7th day for 2,4-D and tebuconazole and on the 14th day for clomazone.

Keywords: HPLC-DAD; SPE; Lactuca sativa

RESUMO

Este estudo validou um método simples e rápido por Cromatografia Líquida de Alta Eficiência com Detector por Arranjo de Diodos (CLAE -DAD) para análise da fitorremediação de pesticidas. O método foi desenvolvido em água e em meio hidropônico. A extração e concentração da amostra foram realizadas por Extração em Fase Sólida (EFS) com cartuchos do tipo Strata C18-E. O método EFS-CLAE-DAD foi aplicado com sucesso na detecção e quantificação do quincloraque, 2,4-D, propanil, bentazona, clomazone e tebuconazol em água e em meio hidropônico por 14 dias. O método apresentou excelentes resultados com a linearidade de 0,9969 - 0,9994 e o menor limite de detecção (LD) e de quantificação (LQ) dos pesticidas foi de 1,7 μg/L e 5,0 μg/L, respectivamente com RSD <11,92%. A recuperação média obtida variou de 77,62% a 109,73% e RSD <12,70%. A espécie Lactuca sativa promoveu a fitorremediação no 7º dia para o 2,4-D e tebuconazol e no 14º dia para o clomazone.

Palavras-chave: CLAE-DAD; EFS; Lactuca sativa

1 INTRODUCTION

Pesticides are widely used in agriculture to increase productivity due to their potential to prevent and control harmful organisms (POPP; PETŐ; NAGY, 2013; SADOWSKI; BAER-NAWROCKA, 2018). According to the plant, different pesticides (herbicides, fungicides, insecticides) combat possible damage during cultivation. The application of these compounds occurs during distinct periods of cultivation and in mixtures for the same cultivar. Besides, repeated applications in the same crop are often due to losses of unfavorable weather conditions or bad applications (DE SOUZA et al., 2020). The main problem with the misuse or the high amount of pesticide mixture used is their harmful impact on the ecosystem and human health due to non-target organisms, beneficial to the environment, are also affected. The consequence is an environmental imbalance (DE SOUZA et al., 2020; DOSNON-OLETTE; COUDERCHET; EULLAFFROY, 2009; SINGH et al., 2020).

Among water decontamination types, there is the phytoremediation process. This technique uses the plant metabolism for the decontamination of organic and/or inorganic compounds. It is an environmentally acceptable and efficient technique for a variety of pollutants, such as heavy metals, pharmaceuticals, pesticide residues, and organic compounds from the chemical industry (CAMESELLE; GOUVEIA; URRÉJOLA, 2019; CARVALHO et al., 2014; KHANDARE; GOVINDWAR, 2015; KUMAR et al., 2020; LV et al., 2013; ROMEH, 2014). Also, there are positive effects of vegetation in decreasing a load of pollutants, through riparian buffers, stiff-grass hedges, constructed wetlands, and vegetated drainage ditches (ANDERSON et al., 2011; ARORA et al., 2010; ELSAESSER et al., 2011; LOCKE et al., 2011; ZHANG et al., 2010). In this context, the lettuce (Lactuca sativa L.) is a candidate for phytoremediation tests due to its annual growth and development, easy handling, and short harvest cycle (30 to 35 days in nutrient solution). Besides, its cultivation can be by traditional systems, organic and hydroponic, and is grown worldwide for consumption as a green salad (ARMAS; POGREBNYAK; RASKIN, 2017; GLOBO RURAL, 2014).

The present study aimed to develop and validate an analytical method to quantify a mixture of pesticides in water and hydroponic medium. Also, to apply this method in the phytoremediation technique with the Lactuca sativa.

2 MATERIALS AND METHODS

2.1 Chemicals and reagents

Standards of quinclorac, bentazon, 2,4-D, clomazone, propanil, and tebuconazole were purchased from Sigma Aldrich (Steinheim, Germany). The solvents methanol and acetonitrile (HPLC grade) were purchased from J. T. Baker (Holland). Ultrapure water was prepared using the water purification system Milli-Q (Milford, MA, USA). Phosphoric acid was purchased from Fluka (Steinheim, Germany). The nutrients and fertilizers (hydroponic medium) were purchased from the local market (Hortibras Adubos para hidroponia - Kit de Nutrientes Alface Premium).

2.2 Instrumentation

High Performance Liquid Chromatography measurements were carried out on a Young Lin Liquid Chromatographic system (YL 9100) equipped with a quaternary pump, an autosampler, and Diode Array Detector (DAD). The guard column was an analytical guard cartridge system (KJO-4282) (Security Guard from Phenomenex) and analytical column - C18 column (Synergi Fusion-RP 5 μm, 250 mm length and 4.6 mm id) from Phenomenex. Extraction of the selected compounds was performed with a vacuum SPE manifold (Lubitech Technologies) and Strata C18-E cartridges (55 µm, 70 Å, 500 mg/6 mL) from Phenomenex.

2.3 Analytical procedure

The analytical curve was prepared with stock solutions of the pesticide standards prepared by accurately weighing 10.0 mg of each pesticide and dissolving it in 10.0 mL of acetonitrile to obtain a 1,000 mg/L of stock solution. This solution was diluted in acetonitrile to a working standard solution (mixture of pesticides) of 100.0 mg/L. From the working standard solution, new dilutions were performed to obtain the analytical curve concentrations: 0.5, 1.0, 2.5, 5.0, and 10.0 mg/L in acetonitrile.

Different compositions of mobile phase containing acetonitrile, methanol, and water (pH 3) were tested according (ROEHRS et al., 2012). The mobile phase was composed with acetonitrile/methanol/ultrapure water in pH 3 (aqueous phosphoric acid solution (1:1, v/v) in the ratio of 27:27:46% with a flow rate of 0.9 mL/min at time 0-20 min, and 30:30:40% with flow rate 1.2 mL/min at time 20-35 min. The injection volume of samples was 20 μL, and the detection wavelength was 220 nm for all pesticides. The analysis was performed at room temperature. These conditions were optimized at 5.0 mg/L of pesticide mixtures for adjusting the mobile phase before method validation.

2.4 Method validation

The analytical method was evaluated according to the following parameters: linearity, precision, limit of quantification (LOQ), limit of detection (LOD), and accuracy.

Linearity was estimated through the coefficient determination (r2) of the analytical curves at concentration levels 0.5–10 mg/L and with a percentage relative standard deviation (RSD). The precision, on the same day, was investigated with the repeatability of injections with the same 0.5 mg/L standards six times. The reproducibility was performed by repeating pesticide mixture extraction with 0.005, 0.05, and 0.1 mg/L three times and analyzed with RSD. The LODs were determined at a signal-to-noise (S/N) ratio of 3 for the individual pesticides in water by LC-DAD and were then experimentally verified. The LOQs were obtained as the lowest spiked level with acceptable recovery and relative standard deviation (EUROPEAN COMMISSION, 2019). The accuracy was determined by recovery at different concentrations (0.005, 0.05, and 0.1 mg/L) according to equation 1 (ANVISA, 2017):

(1)

where:

R is the recovery, in percentage

The selectivity and matrix effects were analyzed with distilled water and hydroponics medium without pesticides.

2.5 Hydroponic medium

The nutrients of hydroponic medium for plant growth were prepared according to the manufacturer. It was used 0.036 g/L of iron 6% chelated by EDDHA, 0.45 g/L of magnesium sulfate (magnesium 9% and sulfur 11%), 0.15 g/L of purified MAP (monoammonium phosphate with 11% nitrogen and P2O5 60%), 0.66 g/L of mixed mineral fertilizer (nitrogen 11%,  K2O: 45% and sulfur 1,2%), 0.75 g/L calcium nitrate (water soluble nitrogen 15.5%, nitrate 14.5%, nitrogen ammoniacal 1% and water soluble calcium 19%) and 0.01 g/L concentrate micronutrients (molybdenum 0.916%, boron 4.10%, Zn EDTA 1.6%, Cu EDTA 4.09%, Mn EDTA 4.09% and nickel 0.814%). All compounds were mixed in 1L of distilled water.

2.6 Sample preparation

The samples (distilled water and hydroponic medium) were extracted and pre-concentrated in SPE cartridges (Strata C18-E). The steps of extraction were according to (CALDAS et al., 2010), with modifications in the sample volume and washing the cartridge. The cartridge conditioning was with 3 mL methanol, 3 mL ultrapure water, and 3 mL ultrapure water pH 3. The sample percolation occurred with 100 mL acidified to pH 3.0 with phosphoric acid, and then the cartridges were washed with 3 mL ultrapure water pH 3. The pesticide elution was performed methanol (1 mL, obtaining an enrichment factor of 100 times). This solution was filtered through a 0.45 µm pore-size syringe filter and injected in HPLC-DAD for the analysis.

2.7 Plant material for phytoremediation test

The plant chosen for the phytoremediation test was Lactuca sativa L., crinkly lettuce of the variety Itapuã Super, obtained in the local market. The lettuces were between 10-14 centimeters in length. Five lettuces were used for each test pot and fixed on polystyrene with the roots submerged in the solution. The plants stayed ten days in the hydroponic medium to the adaptation period. Then, 0.05 mg/L of each pesticide standard was spiked in the hydroponic medium. This concentration did not harm the lettuce and is allowable in agriculture.

2.8 Phytoremediation procedure

After the period of adaptation (10 days), the pesticides were spiked (0.05 mg/L), and 100 mL were collected from all groups (treatment and control group) on days 0, 7, and 14. The groups used were:

1) Treatment group - plant and the mixture of pesticides in the hydroponic medium.

2) Control groups - pesticide mixture in the hydroponic medium, without the plant.

Each sample was filtered (0.45 µm), extracted in SPE, and analyzed by HPLC-DAD. The experiment was conducted in the laboratory at room temperature (25ºC) and in triplicate to all groups. The commercial lamps in visible radiation were the source of light. It was composed of white, red, yellow, blue, and incandescent lamps simultaneously (12 h/12 h, light/dark).

After each collection (days 0, 7 and 14), the detection and quantification of pesticides that had been fortified in the water of each group was carried out. For this methodology, water samples fortified with pesticides from each group were filtered (0.45 µm), extracted by the SPE methodology, as described in section 2.6 (sample preparation) and analyzed by HPLC-DAD, as described in section 2.3 (analytical procedure).

2.9 Statistical analysis

The statistical data of the analytical method were according to each pesticide calibration curve. The phytoremediation process results were expressed as means and standard deviation with significant differences (p values ≤ 0.05) between treatment and control groups by the One-Way ANOVA test followed by Tukey’s test (GraphPad Software).

3 Results and Discussion

3.1 Optimization of chromatographic HPLC-DAD conditions

The analytical method parameters evaluated were according to HPLC-DAD mobile phase compositions. Initially, an isocratic method was evaluated with acetonitrile/methanol/water pH 3 mobile phase (30:24:46%) and flow rate of 0.9 mL/min. However, this data was unsatisfactory because the herbicides clomazone and propanil coeluted. Then, different proportions of acetonitrile/methanol/water pH 3 (25:29:46% and 27:27:46%) with different flow rates (0.8, 0.9, 1.0, 1.1, and 1.2 mL/min) were tested. The best result was with acetonitrile/methanol/water pH 3, 27:27:46% and the flow rate of 0.9 mL/min, obtaining more symmetrical and narrow peaks. However, the retention time (rt) of the last peak (tebuconazole) was very distant from the others, with analysis time exceptionally long (40 minutes). So, the same mobile phase was tested with variation in its proportion and flow rate after 20 minutes (30:30:40%, 33:27:40%, and 27:33:40% with a flow rate of 0.9, 1.0, and 1.2 mL/min respectively). The best result was with acetonitrile/methanol/water pH 3 (30:30:40%) and flow rate of 1.2 mL/min (tebuconazole rt: 30.10 minutes) with an analysis time of 35 minutes. Therefore, the HPLC conditions were defined with isocratic mode of 0-20 min with acetonitrile/methanol/water pH 3 (27:27:46%) and flow rate of 0.9 mL/min, 20-35 min with acetonitrile/methanol/water pH 3 (30:30:40%) with flow rate of 1.2 mL/min. This method condition allowed the elution, identification, and quantification of every single pesticide with great resolution.

3.2 Chromatographic method validation

The analytical method data were obtained according to the straight equation, determination coefficient (r²), and detection and quantification limits of the calibration curve (Table 1).

Table 1 - Chromatographic parameters of the pesticides. Retention time (rt), analytical curves (equation), determination coefficient (r²), Limit of Detection (LOD), and Limit of Quantification (LOQ) and precision (RSD) at 0.5 mg/L

Pesticide

rt, min

Equation

(y= ax + b)

r2

RSD, % (repeatability)

LOD, μg/L

LOQ, μg/L

Quinclorac

9.38

y = 179.31x - 37.71

0.9969

2.02

1.7

5.0

Bentazon

11.86

y = 105.69x - 24.232

0.9989

4.15

1.7

5.0

2,4-D

14.33

y = 37.512x - 0.6609

0.9985

5.12

1.7

5.0

Clomazone

16.30

y = 52.165x - 4.0099

0.9994

11.91

1.7

5.0

Propanil

18.40

y = 57.402x + 5.3514

0.9979

9.89

1.7

5.0

Tebuconazole

30.10

y = 26.931x - 2.1781

0.9984

6.91

1.7

5.0

Source: Authors' private collection (November 2021)

Table 1 showed that all parameters evaluated agree with the regulatory agencies. The DAD response for all pesticides was linear in the concentration range assayed (0.5-10 mg/L) with determination coefficients (r2) > 0.996 for all pesticides, and is within the range recommended by ANVISA (2017) (> 0.99) and Instituto Nacional de Metrologia Qualidade e Tecnologia (INMETRO, 2020) (> 0.90) with a LOD of 1.7 μg/L and LOQ of 5.0 μg/L. The repeatability (RSD) obtained with the solution of pesticides (0.5 mg/L) was < 11.92% for all pesticides, and it agrees (EUROPEAN COMMISSION, 2019) that considers RSD ≤ 20% for pesticides.

3.3 Sample extraction

The extraction method (SPE) was efficient for both water and hydroponic determination (Figure 1, Table 2 and 3) due to good percentages of recovery and precision. The matrix effect is present in figure 1.

Figure 1 - Chromatograms of SPE recoveries. (a) extraction in distilled water spiked with 0.05 mg/L of pesticide standards. (b) extraction with hydroponics medium spiked with 0.05 mg/L of pesticide standards

Legend: *Bentazon and impurities.

Source: Authors' private collection (November 2021)

The results of figure 1 showed that the pesticides were detected and quantified with high resolution. The only pesticide that obtained a matrix effect was bentazon that coeluted with one compound present in the hydroponic medium (Figure 1 b). After more tests, we identified that the interference came from mineral nutrients and fertilizers from the hydroponic medium. So, bentazon was not in the phytoremediation tests.

The SPE procedure had excellent recoveries in the distilled water and the hydroponic medium with the spike of 0.005, 0.05, and 0.1 mg/L of pesticides standards (Table 2 and Table 3).

Table 2 - Recovery (rec.) and RSD at 0.005, 0.05 and 0.1 mg/L spiked levels in distilled water (n=3)

Pesticide

Spike level

0.005 mg/L

0.05 mg/L

0.1 mg/L

Rec., %

RSD, %

Rec., %

RSD, %

Rec., %

RSD, %

Quinclorac

104.994

4.019

85.178

4.333

92.814

6.743

Bentazon

109.736

3.203

89.234

2.254

91.077

6,782

2,4-D

86.296

9.681

87.563

3.516

94.408

7.856

Clomazone

100.136

5.734

83.074

3.064

86.194

9.182

Propanil

96.664

5.653

91.511

2.690

92.163

10.203

Tebuconazole

96.528

5.648

85.124

4.566

85.281

9.521

Source: Authors' private collection (November 2021)

Table 3 - Recovery (rec.) and RSD at 0.005, 0.05 and 0.1 mg/L spiked levels in hydroponic medium (n=3)

Pesticides

Spiked levels

0.005 mg/L

0.5 mg/L

0.1 mg/L

Rec., %

RSD, %

Rec., %

RSD, %

Rec., %

RSD, %

Quinclorac

84.520

5.679

78.666

3.100

77.622

1.721

Bentazon

nq

-

nq

-

nq

-

2,4-D

86.900

1.714

85.552

1.741

91.786

4.264

Clomazone

95.042

12.703

84.211

4.452

84.947

4.452

Propanil

95.813

10.696

89.564

4.358

90.146

3.956

Tebuconazole

102.076

10.039

85.862

4.804

95.671

7.057

Legend: nq - not quantified

Source: Authors' private collection (November 2021)

The recoveries obtained for all herbicides ranged from 83.074% to 109.736% for distilled water and 77.62% to 102.076% for hydroponic medium, and it is within acceptable recovery parameters (from 70% to 120%) (EUROPEAN COMMISSION, 2019). Similar results were reported in the literature using SPE (NTOMBELA; MAHLAMBI, 2019; PEČEK; PAVLOVIĆ; BABIĆ, 2013; WANG et al., 2019). The repeatability obtained in water was good with RSDs < 10.20% (Table 2) and in the hydroponic medium too with RSD < 12.70% (Table 3). These values agree with European Commission (2019) that establishes as acceptable RSD ≤ 20% for pesticides.

3.4 Phytoremediation by lettuce

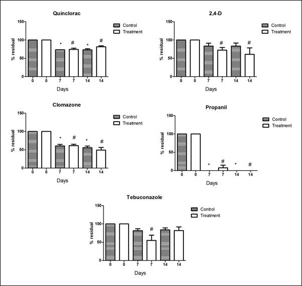
The optimized and validated method was then applied to phytoremediation processes using Lactuca sativa in the hydroponic medium with pesticides. The plant showed good development during the first ten days in the adaptation in the hydroponic medium. But, in the first week after spiked the pesticides, the lettuces stopped growing. Besides, on the 14th day of treatment, there were some dead plants or multiple sheets in the process of necrosis. For this reason, the phytoremediation tests were during this period. Research using lettuce showed that it could absorb Cadmium (Cd) (AZIZIAN; AMIN; MAFTOUN, 2011; HE et al., 2005), Copper (Cu), and Zinc (Zn) (KOMÍNKOVÁ et al., 2018), and other heavy metals (WANG et al., 2018). For the first time, it was verified the percentage of decrease of different pesticides in the hydroponic environment by Lactuca sativa. Figure 2 shows the plant's ability or inability to promote phytoremediation. These data are concerning the decreasing of each compound percentage in the 7th and 14th day.

Figure 2 - Residual percentage of each pesticide during phytoremediation treatment with Lactuca sativa in the hydroponic medium. The residual percentage are presented as means and standard deviation of pesticides during 14 days of treatment (n=3). P ≤ 0.05 were considered significant. * Significant difference concerning the control group on day zero. # Significant difference concerning the treatment group on day zero

Layout 1anderson

Legend: * Significant difference concerning the control group on day zero. # Significant difference concerning the treatment group on day zero. The residual percentage are presented as means and standard deviation of pesticides during 14 days of treatment (n=3). P ≤ 0.05 were considered significant

Source: Authors' private collection (November 2021)

In Figure 2, quinclorac had a significant decrease in residual percentage in both the control (73.45%) and treatment (74.44%) groups on the 7th day. But on the 14th, the control group obtained another decrease (73.18%), and the treatment group had a little increased (81.66%). This data showed that the plant did not improve or accelerate the quinclorac degradation because the control group also decrease in the residual percentage. Besides, the treatment group had a slight increase the 14th day. This increase may be due to the plant necrosis that allowed the pesticide to come back to the hydroponic medium. Quinclorac remediation studies hardly use phytoremediation to its decontamination. In general, the studies use bioremediation with fungi and bacteria or different technologies as photodegradation, hydrolysis, and catalysts with nanoparticles (LANG et al., 2018; NAVARRO et al., 2009; SHI et al., 2017; YANG et al., 2020).

The herbicide 2,4-D showed a significant decrease only in the treatment group. This decrease occurred both on the 7th (72.35%) and on the 14th day (60.99%). Then, the plant promoted the 2,4-D phytoremediation because this decrease did not occur in the control group (83.57% and 83.48%, on the 7th and 14th day, respectively). Reinhold et al. (2010), reported a rapid reduction to non-detectable concentrations of 2,4-D by 3 and 6 days but within active and macerated duckweed reactors. The present study had degradation of 2,4-D in a few days compared with (RAMBORGER et al., 2017, 2021) that used Plectranthus neochilus to promote the phytoremediation of 2,4-D in water in 60 and 30 days.

The clomazone had a significant decrease in both groups and days. However, the decrease percentage was higher with the plant on the 14th day (60.70% and 55.72% to the control and 61.47% and 49.22% to the treatment). Clomazone remediation studies in an aqueous environment obtained good phytoremediation data but in a longer time. For example, using Eichhornia crassipes and Pistia stratiotes, the reduction was 90 and 99% after 28 days (ALENCAR et al., 2020). Or using only Pistia stratiotes, the decrease was 90% after 24 days (ESCOTO et al., 2019).

The result with the propanil showed that the plant did not promote phytoremediation. In this case, propanil had a significant decrease in both groups on day 7. However, in the treatment group, it was still present (7.32%). A similar result was in the Mitsou et al. (2006) study, where Lemna minor promoted the degradation of propanil in 168h of the experiment. In other words, the degradation of this compound occurs very quickly.

The fungicide tebuconazole showed a reduction in residual percentage in the treatment group on day 7 (54.63%), and this did not occur in the control group. On the 14th day, there was an increase of tebuconazole in the hydroponic medium, and it can also be related to plant necrosis (like the quinclorac). Therefore, the best period to promote phytoremediation of tebuconazole with lettuce is in 7 days. In the Lv et al. (2017) study, the removal of tebuconazole from water using Phragmites australis reached 96.1%, but this percentage occurred only on the 24th day. Our result is relevant because it showed the lettuce phytoremediation of the tebuconazole (54%) in 7 days.

4 Conclusion

A sensitive and precise analytical method was developed for quinclorac, bentazon, 2,4-D, propanil, clomazone, and tebuconazole determination, simultaneously. The validation parameters were under regulatory agencies. This method was applied in a hydroponic medium for phytoremediation tests with Lactuca sativa in a short period (14 days). Bentazon was the only compound not used in phytoremediation testes due to matrix interference. The plant promoted phytoremediation of 2,4-D in 7 and 14 days. For the clomazone, L. sativa was more effective in 14 days. And the best period of tebuconazole phytoremediation was in 7 days. However, the plant did not promote phytoremediation of quinclorac or propanil.

Acknowledgements

Federal University of Pampa for the Research Groups' Aid. EDITAL FAPERGS 03/2012 NEWLY DOCTORAL AID - ARD. This study was financed in part by the Coordenação de Aperfeiçoamento de Pessoal de Nível Superior - Brasil (CAPES) - Finance Code 001.

References

ALENCAR, B. T. B. et al. Use of macrophytes to reduce the contamination of water resources by pesticides. Ecological Indicators, [s. l.], v. 109, n. September 2019, p. 105785, 2020. Disponível em: https://doi.org/10.1016/j.ecolind.2019.105785.

ANDERSON, B. et al. Pesticide and toxicity reduction using an integrated vegetated treatment system. Environmental Toxicology and Chemistry, [s. l.], v. 30, n. 5, p. 1036–1043, 2011.

ANVISA. RESOLUÇÃO RDC No 166, DE 24 DE JULHO DE 2017 - Imprensa Nacional. [S. l.: s. n.], 2017.  Disponível em: https://www.in.gov.br/materia/-/asset_publisher/Kujrw0TZC2Mb/content/id/19194581/do1-2017-07-25-resolucao-rdc-n-166-de-24-de-julho-de-2017-19194412%0Ahttps://www.in.gov.br/materia/-/asset_publisher/Kujrw0TZC2Mb/content/id/19194581.

ARMAS, I.; POGREBNYAK, N.; RASKIN, I. A rapid and efficient in vitro regeneration system for lettuce (Lactuca sativa L.). Plant Methods, [s. l.], v. 13, n. 1, p. 1–9, 2017.

ARORA, K. et al. Review of Pesticide retention processes occurring in buffer strips receiving agricultural runoff1. Journal of the American Water Resources Association, [s. l.], v. 46, n. 3, p. 618–647, 2010.

AZIZIAN, A.; AMIN, S.; MAFTOUN, M. Response of lettuce to Cd-enriched water and irrigation frequencies. African Journal of …, [s. l.], v. 5, n. October, p. 884–893, 2011. Disponível em: http://www.ajol.info/index.php/ajest/article/view/72095.

CALDAS, S. S. et al. Pesticide residue determination in groundwater using solid-phase extraction and high-performance liquid chromatography with diode array detector and liquid chromatography-tandem mass spectrometry. Journal of the Brazilian Chemical Society, [s. l.], v. 21, n. 4, p. 642–650, 2010.

CAMESELLE, C.; GOUVEIA, S.; URRÉJOLA, S. Benefits of phytoremediation amended with DC electric field. Application to soils contaminated with heavy metals. Chemosphere, [s. l.], v. 229, p. 481–488, 2019. Disponível em: https://linkinghub.elsevier.com/retrieve/pii/S0045653519308847.

CARVALHO, P. N. et al. A review of plant–pharmaceutical interactions: from uptake and effects in crop plants to phytoremediation in constructed wetlands. Environmental Science and Pollution Research, [s. l.], v. 21, n. 20, p. 11729–11763, 2014.

DE SOUZA, R. M. et al. Occurrence, impacts and general aspects of pesticides in surface water: A review. Process Safety and Environmental Protection, [s. l.], v. 135, p. 22–37, 2020.

DOSNON-OLETTE, R.; COUDERCHET, M.; EULLAFFROY, P. Phytoremediation of fungicides by aquatic macrophytes: Toxicity and removal rate. Ecotoxicology and Environmental Safety, [s. l.], v. 72, n. 8, p. 2096–2101, 2009. Disponível em: http://dx.doi.org/10.1016/j.ecoenv.2009.08.010.

ELSAESSER, D. et al. Assessing the influence of vegetation on reduction of pesticide concentration in experimental surface flow constructed wetlands: Application of the toxic units approach. Ecological Engineering, [s. l.], v. 37, n. 6, p. 955–962, 2011. Disponível em: http://dx.doi.org/10.1016/j.ecoleng.2011.02.003.

ESCOTO, D. F. et al. Use of Pistia stratiotes for phytoremediation of water resources contaminated by clomazone. Chemosphere, [s. l.], v. 227, p. 299–304, 2019.

EUROPEAN COMMISSION. Analytical Quality Control and Method Validation for Pesticide Residues Analysis in Food and Feed (SANTE/12682/2019). Sante/12682/2019, [s. l.], p. 1–48, 2019. Disponível em: https://www.eurl-pesticides.eu/userfiles/file/EurlALL/AqcGuidance_SANTE_2019_12682.pdf.

GLOBO RURAL. 4 dicas sobre a alface: do plantio ao consumo. [S. l.], 2014. Disponível em: http://revistagloborural.globo.com/GloboRural/0,6993,EEC1228441-4529-2,00.html.

HE, Z. et al. Different effects of calcium and lanthanum on the expression of phytochelatin synthase gene and cadmium absorption in Lactuca sativa. Plant Science, [s. l.], v. 168, n. 2, p. 309–318, 2005.

INSTITUTO NACIONAL DE METROLOGIA QUALIDADE E TECNOLOGIA (INMETRO). Orientação sobre validação de métodos analíticos DOQ-CGCRE-008, revisão 08. 2020, [s. l.], p. 30, 2020. Disponível em: http://www.inmetro.gov.br/Sidoq/pesquisa_link.asp?seq_tipo_documento=5&cod_uo_numeracao=00774&num_documento=008%0Ahttp://www.inmetro.gov.br/Sidoq/Arquivos/CGCRE/DOQ/DOQ-CGCRE-8_08.pdf.

KHANDARE, R. V.; GOVINDWAR, S. P. Phytoremediation of textile dyes and effluents: Current scenario and future prospects. Biotechnology Advances, [s. l.], v. 33, n. 8, p. 1697–1714, 2015. Disponível em: http://dx.doi.org/10.1016/j.biotechadv.2015.09.003.

KOMÍNKOVÁ, D. et al. Sequential application of soil washing and phytoremediation in the land of fires. Journal of Environmental Management, [s. l.], v. 206, p. 1081–1089, 2018.

KUMAR, V. et al. Potential of water fern (Azolla pinnata R.Br.) in phytoremediation of integrated industrial effluent of SIIDCUL, Haridwar, India: removal of physicochemical and heavy metal pollutants. International Journal of Phytoremediation, [s. l.], v. 22, n. 4, p. 392–403, 2020. Disponível em: https://doi.org/10.1080/15226514.2019.1667950.

LANG, Z. et al. Isolation and characterization of a quinclorac-degrading Actinobacteria Streptomyces sp. strain AH-B and its implication on microecology in contaminated soil. Chemosphere, [s. l.], v. 199, p. 210–217, 2018. Disponível em: https://doi.org/10.1016/j.chemosphere.2018.01.133.

LOCKE, M. A. et al. Constructed wetlands as a component of the agricultural landscape: Mitigation of herbicides in simulated runoff from upland drainage areas. Chemosphere, [s. l.], v. 83, n. 11, p. 1532–1538, 2011. Disponível em: http://dx.doi.org/10.1016/j.chemosphere.2011.01.034.

LV, T. et al. Dynamics of nitrobenzene degradation and interactions with nitrogen transformations in laboratory-scale constructed wetlands. Bioresource Technology, [s. l.], v. 133, p. 529–536, 2013. Disponível em: http://dx.doi.org/10.1016/j.biortech.2013.02.003.

LV, T. et al. Enantioselective uptake, translocation and degradation of the chiral pesticides tebuconazole and imazalil by Phragmites australis. Environmental Pollution, [s. l.], v. 229, p. 362–370, 2017

MITSOU, K. et al. Growth rate effects, responses of antioxidant enzymes and metabolic fate of the herbicide Propanil in the aquatic plant Lemna minor. Chemosphere, [s. l.], v. 62, n. 2, p. 275–284, 2006.

: NAVARRO, S. et al. Photocatalytic degradation of eight pesticides in leaching water by use of ZnO under natural sunlight. Journal of Hazardous Materials, [s. l.], v. 172, n. 2–3, p. 1303–1310, 2009.

NTOMBELA, S. C.; MAHLAMBI, P. N. Method development and application for triazine herbicides analysis in water, soil and sediment samples from KwaZulu-Natal. Journal of Environmental Science and Health - Part B Pesticides, Food Contaminants, and Agricultural Wastes, [s. l.], v. 54, n. 7, p. 569–579, 2019. Disponível em: https://doi.org/10.1080/03601234.2019.1621113.

PEČEK, G.; PAVLOVIĆ, D. M.; BABIĆ, S. Development and validation of a SPE-GC-MS method for the determination of pesticides in surface water. International Journal of Environmental Analytical Chemistry, [s. l.], v. 93, n. 12, p. 1311–1328, 2013.

POPP, J.; PETŐ, K.; NAGY, J. Pesticide productivity and food security. A review. Agronomy for Sustainable Development, [s. l.], v. 33, n. 1, p. 243–255, 2013.

RAMBORGER, B. P. et al. The phytoremediation potential of Plectranthus neochilus on 2,4-dichlorophenoxyacetic acid and the role of antioxidant capacity in herbicide tolerance. Chemosphere, [s. l.], v. 188, 2017.

RAMBORGER, B. P. et al. Toxicological parameters of aqueous residue after using Plectranthus neochilus for 2,4-D phytoremediation. Chemosphere, [s. l.], v. 270, 2021.

REINHOLD, D. et al. Assessment of plant-driven removal of emerging organic pollutants by duckweed. Chemosphere, [s. l.], v. 80, n. 7, p. 687–692, 2010. Disponível em: http://dx.doi.org/10.1016/j.chemosphere.2010.05.045.

ROEHRS, R. et al. Biodegradation of Herbicide Propanil and Its Subproduct 3,4-Dichloroaniline in Water. Clean - Soil, Air, Water, [s. l.], v. 40, n. 9, p. 958–964, 2012.

ROMEH, A. A. Phytoremediation of cyanophos insecticide by Plantago major L in water. Journal of Environmental Health Science and Engineering, [s. l.], v. 12, n. 1, p. 2–9, 2014.

: SADOWSKI, A.; BAER-NAWROCKA, A. Food and environmental function in world agriculture—Interdependence or competition?. Land Use Policy, [s. l.], v. 71, n. November, p. 578–583, 2018. Disponível em: http://dx.doi.org/10.1016/j.landusepol.2017.11.005

SHI, G. et al. Rapid green synthesis of gold nanocatalyst for high-efficiency degradation of quinclorac. Journal of Hazardous Materials, [s. l.], v. 335, p. 170–177, 2017. Disponível em: http://dx.doi.org/10.1016/j.jhazmat.2017.04.042.

SINGH, A. et al. Advances in controlled release pesticide formulations: Prospects to safer integrated pest management and sustainable agriculture. Journal of Hazardous Materials, [s. l.], v. 385, p. 121525, 2020. Disponível em: https://doi.org/10.1016/j.jhazmat.2019.121525.

WANG, X. et al. Determination of pesticides and their degradation products in water samples by solid-phase extraction coupled with liquid chromatography-mass spectrometry. Microchemical Journal, [s. l.], v. 149, n. June, p. 104013, 2019. Disponível em: https://doi.org/10.1016/j.microc.2019.104013.

WANG, G. et al. Feasibility of Chinese cabbage (Brassica bara) and lettuce (Lactuca sativa) cultivation in heavily metals−contaminated soil after washing with biodegradable chelators. Journal of Cleaner Production, [s. l.], v. 197, p. 479–490, 2018. Disponível em: https://doi.org/10.1016/j.jclepro.2018.06.225.

YANG, Y. et al. Synergistic effect of Pseudomonas putida II-2 and Achromobacter sp. QC36 for the effective biodegradation of the herbicide quinclorac. Ecotoxicology and Environmental Safety, [s. l.], v. 188, n. October, 2020.

ZHANG, X. et al. A Review of Vegetated Buffers and a Meta-analysis of Their Mitigation Efficacy in Reducing Nonpoint Source Pollution. Journal of Environmental Quality, [s. l.], v. 39, n. 1, p. 76–84, 2010.

Authorship contributions

1 – Anderson da Silva Rosa

PhD student at PPG Science Education, Master in Biochemistry

https://orcid.org/0000-0002-4612-6587• andersonqmc@gmail.com

Contribution: Conceptualization, Data curation, Formal Analysis, Investigation, Methodology, Writing – original draft.

2 – Bruna Piaia Ramborger (Corresponding Author)

Biochemistry, PhD in Biochemistry

https://orcid.org/0000-0002-8538-5530 • bruna-pr@hotmail.com

Contribution: Formal Analysis, Investigation, Methodology, Visualization, Writing – review & editing.

3 – Maria Luisa Candido Zago

Pharmacy resident, Graduated in Pharmacy

https://orcid.org/0000-0003-3393-2990 • maluzago@hotmail.com

Contribution: Methodology

4 – Dandara Fidélis Escoto

Natural scientist, Science and religious teaching teacher

https://orcid.org/0000-0001-9044-4876 • dandaraescoto@gmail.com

Contribution: Writing – review & editing

5 – Elton Luis Gasparotto Denardin

Associate Professor IV at the Federal University of Pampa, PhD in chemistry

https://orcid.org/0000-0003-4768-2216 • eltondenardin@unipampa.edu.br

Contribution: Formal Analysis, Visualization

6 – Rafael Roehrs

Professor in the course of Natural Sciences - Licentiate of the Federal University of Pampa, PhD in Analytical Chemistry

https://orcid.org/0000-0003-2825-2560 • rafaelroehrs@unipampa.edu.br

Contribution: Conceptualization, Formal Analysis, Funding acquisition, Project administration, Resources.

How to quote this article

ROSA, A. S.; et al. Determination of pesticides in hydroponic water for environmental phytoremediation. Ciência e Natura, Santa Maria, v. 44, e27, 2022. DOI: https://doi.org/10.5902/2179460X68460.