Logotipo

Descrição gerada automaticamente

Desenho de personagem de desenhos animados com texto preto sobre fundo branco

Descrição gerada automaticamente com confiança média

 

Universidade Federal de Santa Maria

Ci. e Nat., Santa Maria, v. 44, e28, 2022

DOI: 10.5902/2179460X68140

ISSN 2179-460X

Submitted: 16/10/2021 • Approved:04/04/2022 • Published: 20/06/2022

1 INTRODUCTION.. 3

2 MATERIAL AND METHODS. 5

3 RESULTS AND DISCUSSIONS. 10

4 FINAL CONSIDERATIONS. 18

REFERENCES. 20

 

Environment

Spatio-temporal correlation between burn hotspots, pasture areas and cattle production at the state of rondônia between the years of 2002 and 2016

Análise espaço-temporal da correlação entre focos de queimada, áreas de pastagem e produção bovina no estado de rondônia entre os anos de 2002 e 2016

Weliton Teixeira da CruzIÍcone

Descrição gerada automaticamente

Rodrigo Martins MoreiraIIÍcone

Descrição gerada automaticamente

André Procópio Lima SilvaIIÍcone

Descrição gerada automaticamente

Gabriel Araújo Paes FreireIIÍcone

Descrição gerada automaticamente

Antônio Conceição Paranhos FilhoIIIÍcone

Descrição gerada automaticamente

Alisson André RibeiroIIIÍcone

Descrição gerada automaticamente

I Univeridade Federal de Campina Grande, Campina Grande, PB, Brazil

II Universidade Federal de Rondônia, Porto Velho, RO, Brazil

III Universidade Federal de Mato Grosso do Sul, Campo Grande, MS, Brazil

ABSTRACT

The unsustainable model of land use and occupation in the State of Rondônia is a threat to biodiversity balance, to the biological cycles and to the provision of ecosystem services provided by forests. In this sense, this article presents an analysis of correlation between burn hotspots, pasture areas and bovine production for the State of Rondônia. Research products were deployed such as maps to demonstrate spatial relationship, graphs to demonstrate the historical series and charts to demonstrate the correlation between the variables. Due to the non-adherence of data to normality, Spearman's correlation coefficient was used. Softwares ArcGis version 10.1 and Jamovi version 1.6 were used. The correlation between fires and bovine production in the State was significant, positive and with a week/moderate tendency, with evidence values ranging from 0.282 to 0.400; while for correlation between pasture areas and forest fires was significant with a trend ranging from 0.485 to 0.633; between bovine production and pasture areas, there is a strong correlation with a significative positive trend from 0.833 to 0.914. It is possible to verify an increase in the values of the variables throughout the time series, and correlation between them. In this scenario, it is urgent to adopt public policies for territorial planning and strengthening of fiscalization agencies.

Keywords: Deforestation; Geographic Information Systems; Spearman’s coefficient

RESUMO

O modelo insustentável de uso e ocupação do solo no Estado de Rondônia é uma ameaça ao equilíbrio da biodiversidade, ciclos biogeoquímicos e prestação de serviços ecossistêmicos proporcionados pela floresta. Neste sentido, este artigo apresenta análises de correlação entre focos de calor, áreas de pastagem e produção bovina para o Estado de Rondônia. Foram elaborados produtos cartográficos para demonstrar as correlações espaciais, gráficos para demonstrar a série histórica e gráficos para demonstrar a correlação entre as variáveis. Devido a não aderência dos dados à normalidade, foi utilizado o coeficiente de correlação de Spearman (rho). Foram utilizados os programas ArcGis versão 10.1 e Jamovi versão 1.6. A correlação entre os focos de calor e produção bovina no Estado foi significativa, positiva e com tendência para fraca/moderada, sendo os valores de correlação 0,282 a 0,400; enquanto a correlação para as áreas dedicadas a pastagem em relação a focos de calor foi significativa, positiva e com tendência moderada, variando entre 0,485 a 0,633; na correlação entre produção bovina e área de pastagem observa-se uma correlação significativa, e com tendência positiva forte de 0,833 a 0,914. Pode-se concluir um aumento dos valores das variáveis ao longo da série histórica, bem como, observa-se correlação entre as mesmas. Neste cenário, é urgente a adoção de políticas públicas de planejamento territorial e fortalecimento das agências de fiscalização.

Palavras-chave: Desmatamento; Sistemas de Informações Geográficas; Coeficiente Spearman

1 INTRODUCTION

The traditional production model in the Amazon is aimed at an increasing reduction of the Legal Amazon’s vegetation area. Environmental factors have affected the balance of the planet. Variables such as temperature, rainfall and climatic conditions have been rapidly altered by human interference.

In this sense, Brazilian Amazon forest is seen as the new agricultural frontier (ARVOR et al., 2017). Deforestation caused by the unsustainable model of land use and occupation has threatened Amazon’s key role in the stability of several biogeochemical cycles on a planetary scale, such as carbon (FREITAS et al., 2017).

Fires, in parallel with deforestation, are one of the greatest threats to the integrity of ecosystem services in the Amazon rainforest (BRALOW; PERES, 2008). As main effect, the native forest has been fragmented, causing impacts such as: gene flow loss, biodiversity loss, invasive plants overpopulation and greenhouse gases increasing emission due to fires.

The topic has been the subject of many discussions and debates in recent years, especially in the State of Rondônia, which is part of the Legal Amazon, and has a high agricultural production. Rondônia, in turn, has shown an agricultural expansion driven by the Government since the 1970s, with significant anthropogenic pressures on the vegetation cover until the current dates (ESCADA et al., 2005).

The deforestation rate in Rondônia has been increasing in recent decades. As an example, since 1985 there has been a 38% reduction in the state’s entire forest. It only remains 13.7 million hectares of native forest (MAPBIOMAS, 2019). Extensive and low productivity livestock is responsible for one of the main causes of deforestation in Rondônia (DINIZ; NETO, 2009). This practice is directly associated with land tenure and speculation (CARVALHO; DOMINGUES, 2016).

In this way, there is a gap regarding multi-spatial and multi-temporal analyzes for the State of Rondônia and also on statistical correlation between burn hotspots (BH), cattle production and pasture area. Therefore, this paper’s aim is to evaluate the correlation degree between livestock, pasture area and forest fires between 2002 and 2016.

2 MATERIAL AND METHODS

2.1 Study area

The State of Rondônia is located in the north of Brazil, and represents the southwest region of Brazilian Legal Amazon. It has 52 municipalities and in its borders are the States of Mato Grosso, Amazonas and Acre. Rondônia occupies an area of 237.590 km² (IBGE, 2021) (Figure 1).

Figure 1 — Rondônia’s location map

Source: Authors, 2021.

Source of vectorial data: Geographical Coordinate System, DATUM – SIRGAS 2000. Source: IBGE, 2021.

2.2 Analysis methodology

2.2.1 Data acquisition

Table 1 lists the information in vector format used in this research, the projection used, and collected data last update.

Table 1 — Information on the used shapefile data

Information (shapefiles)

Source

Projection

Information date

Burn hotspots

INPE (2021)

SIRGAS 2000

15/01/2021

Cattle production

IBGE (2020)

SIRGAS 2000

10/12/2020

Municipal division

IBGE (2020)

SIRGAS 2000

16/08/2020

Pasture Area

PASTAGEM.ORG (2021)

SIRGAS 2000

25/02/2021

Source: Authors (2021)

2.2.2 Burn hotspots

Data on burn hotspots (BH) are in the public domain, thus full-time available on the National Institute for Space Research (INPE) online platform, which can be accessed at: https://queimadas.dgi.inpe.br/queimadas/bdqueimadas. The data is Queimadas Program’s research result and aims to uphold the various audiences interested in evaluating and/or proposing actions through the BH.

According to Brazilian Institute of Environment and Renewable Natural Resources (IBAMA) (IBAMA, 2017), there is no direct relationship between burn hotspot and wildfire seen in satellite images. A burn hotspot indicates fire existence in an image resolution element (pixel), which varies from 1 km x 1 km to 5 km x 4 km. The active outbreaks of vegetation burning detection by satellite images has been carried out at INPE (2012) since the mid-1980s (SETZER, et al. 2013).

INPE’s algorithm for spot identification in Advanced Very High-Resolution Radiometer (AVHRR) images from National Oceanic and Atmospheric Administration (NOAA) series satellites, in use until late 2012, was essentially the same as 25 years ago (SETZER et al., 1992).

INPE also started to detect fire outbreaks in images of the polar orbiting satellites Aqua Project Science (AQUA), TERRA-Earth Observing System (EOS), and Tropical Rainfall Measuring Mission (TRMM); also in images of the Geostationary Operational Environmental Satellite (GOES), and Meteosat Second Generation (MSG); and finally by new sensors such as the Visible Infrared Imaging Radiometer Suite (VIIRS) from the Suomi-National Polar-orbiting Partnership (S-NPP) satellite, launched in September/2011 (SETZER, et al. 2013).

The burn hotspots used in this study, in shapefile format, come directly from INPE on the DBQueimadas platform from 2002 to 2016. According to Nogueira (2019), due to technical limitations, the sensors only capture fire fronts with more than 30 meters. In addition, factors such as the presence of clouds and shading of trees can interfere with the detection of BH.

2.2.3 Cattle production

Bovine production data are available at IBGE website, more specifically in the municipal livestock research area, which provides the number of animals registered (cattle, goats, buffaloes, birds and others) from 2002 to 2016. The cattle number can be established by animal unit (AU). Data was collected in a table format and then combined to the vector file, in ESRI shapefile format, of the municipal boundaries, using the "Join" tool in ArcMap of the ArcGIS 10.1 Student Trial platform. (ESRI, 2021).

2.2.4 Pasture area

The cattle production system in Rondônia is of paramount importance for the economic and social sector. As most of Brazilian cattle herd is pasture-fed, these areas are relevant to the country's livestock activity. The data was acquired from the website www.pastagem.org, and this variable is very relevant with regard to the discussion of cattle in the state of Rondônia.

Data acquisition was performed in vector format with ESRI shapefile extension. Only the pasture category was acquired for this study purpose. The data is available in shape files model, then they are processed and the Datum is changed when necessary to avoid errors caused by projections. In addition, this variable will be analysed on in the unit of hectares (ha).

2.3 Data processing and analysis

The information collected was acquired and later processed in Geographic Information Systems platform (SIG) ArcGis 10.1 Student Trial (ESRI, 2021).

Statistical analyzes were performed using the Jamovi 1.6 (2021) software. All tests assumed α = 0.05. The set of values for the years was tested for normality using the Shapiro-Wilk test, where:

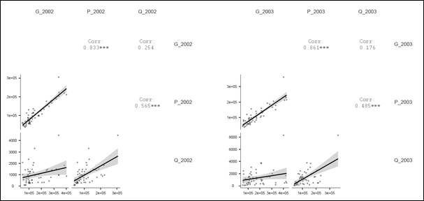
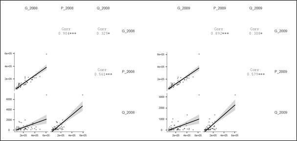
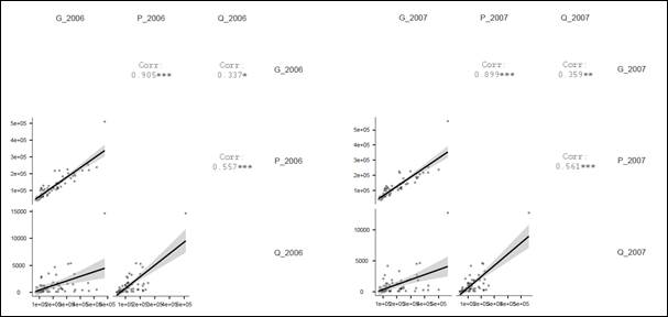
Once the non-adherence to the normality test was proven, the non-parametric test was applied to analyze the correlation between the variables, using Spearman's correlation coefficient for non-parametric data. Also, the lower and upper confidence intervals were calculated using bootstrap with 1000 repetitions. The graphs are presented in Appendix C.

Figure 2 illustrates the technical procedure adopted for the processing of data referring to the variables analyzed in this research.

Figure 2 — Data processing flowchart

Source: Authors (2021)

2.4 DASHBOARD

ArcGIS Dashboards is one of the most used applications of the entire ArcGIS® platform by customers from various industries such as governments, telecommunications, sanitation and agribusiness, who use it to monitor, track and access their daily operations (ESRI, 2021). In addition to being a configurable application, it provides visualization and analysis of data, charts, indicators and maps (ESRI, 2021). The platform interface can be seen in general in appendices 1 and 2 at the end of this article.

3 RESULTS AND DISCUSSIONS

The variables pasture, cattle production and fire outbreaks were studied for the State of Rondônia in order to identify correlations between them.

As for burn hotspots, as seen in Figure 3, in the State, considering the years 2002 to 2016, there was a growth peak of about 145.96% in 2015 compared to 2002, and 132.9% in 2016 compared to 2002.

In 2005, INPE launched Queimadas Program aiming fire outbreaks reduction, which may justify the decrease in the aforementioned year, since inspections were performed. A report released by Protection System of the Amazon (SIPAM) records a 50% reduction in fires in 2008 compared to previous years (INPE, 2009).

Figure 3 — Burn hotspots in the State of Rondônia between 2002 and 2016

Source: INPE, 2021

The second variable, cattle production, as seen in Figure 4, had a brief increase over the years, which may be associated with population growth and the demand for food of animal origin. In relation to the year 2002 to 2016, there is a significant increase in production: from 8,039,890 AU in the year 2002 to 13,682,200 for the year 2016, with an increase of 70.18% in bovine production in the state, as shown in Figure 4.

Figure 4 — Cattle production in the State of Rondônia from 2002 to 2016

Source: IBGE, 2020

The third variable, the area occupied by pasture in the State of Rondônia, is defined in hectare (ha). It is possible to notice in Figure 5 the increase: in 2002, there were 5,543,762.98 ha of anthropized area dedicated to pasture, whereas in 2016 the same variable occupied 7,589,051.51 ha, corresponding to an increase of 36.89 % in 2016 compared to 2002.

Figure 5 — Pasture area in the State of Rondônia from 2002 to 2016

Source: Pastagem.org, 2021

The correlations between the variables analyzed by the Spearman coefficient are presented in table 2, where the correlation values of the variables between the years 2002 and 2016 are verified.

Table 2 — Spearman coefficient for the correlation between variables in Rondônia for years 2002 to 2016

 

Correlation between variables

 

Year

Burn hotsposts vs Animal Unit

p-value

Burn hotsposts vs Pasture

p-value

Animal Unit vs Pasture

p-value

 

2002

0.254

0.069

0.565

<0.001

0.833

<0.001

2003

0.176

0.210

0.485

<0.001

0.861

<0.001

2004

0.223

0.112

0.510

<0.001

0.883

<0.001

2005

0.283

0.042

0.573

<0.001

0.891

<0.001

2006

0.337

0.015

0.557

<0.001

0.905

<0.001

2007

0.359

0.009

0.561

<0.001

0.899

<0.001

2008

0.329

0.017

0.561

<0.001

0.904

<0.001

2009

0.308

0.027

0.579

<0.001

0.892

<0.001

2010

0.319

0.022

0.548

<0.001

0.903

<0.001

2011

0.285

0.040

0.533

<0.001

0.894

<0.001

2012

0.362

0.008

0.624

<0.001

0.886

<0.001

2013

0.319

0.021

0.618

<0.001

0.878

<0.001

2014

0.282

0.043

0.556

<0.001

0.905

<0.001

2015

0.400

0.003

0.633

<0.001

0.914

<0.001

2016

0.343

0.013

0.601

<0.001

0.903

<0.001

Source: Authors (2021)

Table 2 presents the p-value significance values. The maps referring to the distribution of variables can be found in Appendix B. The correlation graphs between the variables can be found in Appendix C. Between the years 2002 and 2004, non-significant values for p-value are noted, these being 0.254, 0.176 and 0.233 respectively, with no significant relationship between the data for these years regarding the analysis between the variables burn hotspots and bovine production. For the others, values of p<0.05 and p<0.01 are observed, demonstrating that there is a significant relationship between the data.

In the relationship between burn hotspots (BH) and pasture (P), and bovine production (AU) and pasture (P), it can be observed that all p-values are less than 0.001, demonstrating significance between the relationships. Regarding burn hotspots with bovine production, an average value of 0.327 was obtained for the Spearman’s coefficient, with a minimum value of 0.282 for the year 2014 and 0.400 for the year 2015. Therefore, it may be understood as a weak/moderate correlation (AKOGLU, 2018). Despite finding low values for this relationship, the hotspots are still directly related to the increase in bovine production in the state.

Approaching the analysis of hotspots and pasture areas, an average value of 0.566 for the Spearman coefficient was noted, with a minimum value of 0.485 for the year 2003 and the maximum value of 0.633 for the year 2015. In this way, the correlation is characterized as moderate for the entire timeseries, showing that the fires are directly linked to the opening of new anthropized areas dedicated to pasture and cattle production.

The third analysis was given by the variables of bovine production in relation to pasture areas in the State of Rondônia. The average value for the years studied was 0.890, which the minimum value of 0.833 was obtained for the year 2002 and the maximum value referred to the year 2015. There is a strong correlation between the variables: when an increase in pasture areas is noted, there is also an increase in the number of animal units in the state. All correlations were positive.

A variation can be observed between the data of burn hotspots in the State of Rondônia, which can be justified by some factors. Carvalho and Domingues (2016) quote some studies in which it is possible to notice that the decrease in deforestation from 2004 to 2012 is associated with the influence of economic factors, such as soy and meat international prices reduction, which discouraged exports.

Nogueira (2019) shows that until 2004 the monitoring of BH suffered from technical limitations. It was only in 2005, with the launch of the Queimadas Program by INPE, that fire events began to be monitored more effectively, portraying the BH in a more accurate state. Considering the use of this program, we noticed a reduction in hotspots by 2012 with a slight increase in 2010.

However, in the following years, Nogueira (2019) elucidates that the policy and intervention related to the use of fire became more flexible, resulting in an increase of fires in the State of Rondônia. A factor that deserves to be highlighted is the inclusion on the agenda in 2010 of Law n. 1876 of October 18, 1999, which dealt with a reformulation of the 1965 Forest Code, which was later transformed into Ordinary Law n. 12,651 of May 25, 2012 (BRASIL, 2012).

In this way, it is worth mentioning that the low correlation of data may be due to these annual and municipal variations, since the correlation matrix is given from the values for the 52 municipalities in the state, a variation in the proportion of hotspot values may be seen. Silva Filho et al. (2009) show that in 2007 the occurrences of hotspots in the State of Rondônia, 33% were inside settlements, conservation units and indigenous lands.

It can be considered a dynamic in which the fire occurs in any year, not specified, then the management for pasture is carried out and only then cattle production is introduced. That may be one of the hypotheses for the low correlation between heat sources and cattle production.

It is worth mentioning that the hotspots were collected punctually for the State and analyzed in a general way for the State of Rondônia. It is worth considering that part of these outbreaks can occur in pasture areas, Cerrado, private forests and reserves, for various reasons, whether criminal or natural. Some municipalities had small and others higher values for hotspots. Depending on the region and the year, in some cases, bovine production does not vary, always tending to grow quickly or slowly, which may explain the low relationship between heat sources and pasture areas.

Another important aspect is that many estates adopt the wood removal for use or sale, and the remaining forest is also removed afterwards in order to carry the so-called “leiras” out with the residual material. Then, manual removal by machinery of this residue or strategic burning at certain times of the year can be carried out. This actions aim to prevent the fire from spreading within the estate, and consequently reach neighbors and camouflage the fact of environmental inspections.

The inspection and monitoring of hotspots and deforestation in the Amazon has been efficient and part of the rural producers already know it. Law 9.605/98 deals with environmental crimes, preventing and reducing illegal occurrences (BRASIL, 1998).

The renovation burning of pasture areas is quite common in agricultural systems, because it reduces the use of fertilizers and insecticides. Considering the relationship between the variables of pasture area and hotspots, the variation between the minimum and maximum results was from 0.485 to 0.633, a moderate correlation between the variables. Thus, the heat sources have a greater influence on the increase of pasture areas when compared to the increase of bovine production in the state. Bustamante et al. (2009) bring results stating that, even with the decrease in deforestation rates from 2005 onwards, there is a possibility that pasture areas are the pillar responsible for the alteration of native vegetation. Previously deforested areas may consider adding pasture regions.

Regarding the analysis between variables of bovine production and pasture area that were found, the minimum and maximum values are from 0.833 to 0.914, indicating strong correlations.

This increase in areas without forest cover is characterized by agricultural expansion, logging and expansion of infrastructure, where one of the factors that contributed to this increase is the growing demand for meat and grains. EMBRAPA (2018) addresses the issue in its study about the increase in these products exportation and the increase in Brazilian GDP, proving the country’s highlighted place in global agricultural business.

In recent years, intensive livestock farming has become a reality, which is an alternative to traditional livestock farming or extensive livestock farming. Within intensive livestock farming, we have sustainable livestock farming that addresses the integration of other cultures into the environment, the so-called Crop-Livestock-Forestry Systems (ICLF).

It is worth mentioning that it is relevant to economic interests because it has not stood out for environmental purposes yet. The importance of these methods and its dissemination among producers favors adherence to new technologies, especially Crop-Livestock-Forestry System.

This method main objective is to increase production in small areas and favor the producer's profit by production diversification and pasture cost reduction. EMBRAPA (2020) confirms it through studies carried out in its experimental fields in Brazil and more specifically in Rondônia. There was a 36.84% increase in pasture areas between 2002 and 2016, whereas bovine production grew by 70.18%, showing efficiency in the state's production.

Burn hotsposts are annual events. When trying to establish a correlation between it and cattle production and pasture areas, the relation between the variables is clear. It is also no table that there is a need for more studies on the subject for the State of Rondônia.

One of this paper goal was the creation of an interactive Web Mapping, so that any user could have access to graphics and information obtained by this research. The site can be accessed by the link or QRcode below.

Figure 6 — QR code to the data dashboard [1]

Código QR

Descrição gerada automaticamente

Source: Authors (2021)

4 FINAL CONSIDERATIONS

The State of Rondônia is in constant economic evolution and suffers from a lack of supervision. The results presented by this study, referring to the timeline from 2002 to 2016, there was a variation in burn hotspots outbreaks starting from 52,736 in 2002, with fluctuations and an increase in the years 2015 and 2016 with 129,711 and 122,823 hotspots, respectively.

Pasture area data shows a growth of 2,045,288 ha from 2002 to 2016, due to the demand for area for both livestock and crop production. Bovine production had a relevant increase if we consider the relationship between the initial and final pasture area of this study, with an increase of 5,642,310 AU, which shows a production intensification.

Statistical analyzes show a strong correlation between bovine production and areas dedicated to pasture, a moderate correlation between hotspots and pasture areas and a weak and moderate correlation between hotspots and bovine production.

In light of this, measures and solutions must emerge to mitigate impacts and improve development, aiming the lowest possible environmental impact. Thus, the rotating forest system and intensive farming systems, in addition to the Rural Environmental Registry (CAR) and the Environmental Regularization Program (PRA), are measures that can help reduce impacts with the regularization of rural properties. Environmental regularization will then take place through recovery, recomposition, regeneration or compensation (exclusive for Legal Reserves) (LIMA, 2021).

Lima (2021) states that the regularization of the PRA will be carried out by the owner of the area adhering to the established attributions, specific by property, in which fines and sanctions can be reversed in services of preservation, improvement and recovery of the quality of the environment.

This work aims to encourage future research, emphasizing the need for a deep knowledge of local characteristics and the possibility of increasing the variables studied to better interpret the dynamics that occur in the region of the State of Rondônia.

REFERENCES

AKOGLU, H. User's guide to correlation coefficients. Turkish journal of emergency medicine, v. 18, n. 3, p. 91-93, 2018.

ALENCAR, A., NEPSTAD, D., McGRATH, D., MOUTINHO, P., PACHECO, P., DIAZ, M. D. C.V., FILHO, B. S. Desmatamento na Amazônia: indo além da emergência crônica. 1. ed. Belém. Editora Instituto de Pesquisa Ambiental da Amazônia-IPAM, 2004. Disponível em: < https://livroaberto.ufpa.br/jspui/handle/prefix/859>. Acesso: 16 fev. 2021.

ARVOR, D.; TRITSCH, I.; BARCELLOS, C.; JÉGOU, N.; & DUBREUIL, V. Land use sustainability on the South-Eastern Amazon agricultural frontier: Recent progress and the challenges ahead. Applied Geography, [s.l], v. 80, p. 86-97, ISSN 0143-6228, Disponível em: https://doi.org/10.1016/j.apgeog.2017.02.003.2017.

BRASIL. Lei Federal Nº 9.605, de 12 de fevereiro de 1998. Dispõe sobre as sanções penais e administrativas derivadas de condutas e atividades lesivas ao meio ambiente, e dá outras providências. Disponível em http://www.planalto.gov.br/ccivil_03/leis/L9605.htm. Acesso em ago. 2021.


 

BRASIL. Lei Federal Nº 12.651 de 25 de maio de 2012. Dispõe sobre a proteção da vegetação nativa; altera as Leis nºs 6.938, de 31 de agosto de 1981, 9.393, de 19 de dezembro de 1996, e 11.428, de 22 de dezembro de 2006; revoga as Leis nºs 4.771, de 15 de setembro de 1965, e 7.754, de 14 de abril de 1989, e a Medida Provisória nº 2.166-67, de 24 de agosto de 2001; e dá outras providências. Disponível em http://www.planalto.gov.br/ccivil_03/_ato2011-2014/2012/lei/l12651compilado.htm. Acesso em ago. 2021.

BUSTAMANTE, M. M. C.; NOBRE, C. A.; SMERALDI, R.; PINTO, A. DE S.; AGUIAR, A. P. D. DE.; OMETTO, J. P. H. B.; LONGO, K., FERREIRA, L.G., BARIONI, G., MAY, P. Estimativa de emissões recentes de gases de efeito estufa pela pecuária no Brasil. 2009.

CARVALHO, T. S.; DOMINGUES, E. P. Projeção de um cenário econômico e de desmatamento para a Amazônia Legal Brasileira entre 2006 e 2030. Nova Economia, Belo Horizonte, v. 26, n. 2, p. 585–621, maio / ago. 2016.

DINIZ, M. B.; JUNIOR, J. N. O.; NETO, N. T.; DINIZ, M. J. T. Causas do desmatamento da Amazônia: uma aplicação do teste de causalidade de Granger acerca das principais fontes de desmatamento nos municípios da Amazônia Legal brasileira.  Nova Economia, Belo Horizonte, v. 19, n. 1, p. 121–151, abr. 2009.

EMPRESA BRASILEIRA DE PESQUISA AGROPECUÁRIA - EMBRAPA. Visão 2030: o futuro da agricultura brasileira. Brasília, DF, 212 p. 2018. Disponível em: https://www.embrapa.br/visao/o-futuro-da-agricultura-brasileira. Acesso em: 24 maio 2021.

EMPRESA BRASILEIRA DE PESQUISA AGROPECUÁRIA - EMBRAPA. rede ilpf. Embrapa, NOTA TECNICA. 2020.

ENVIRONMENTAL SYSTEMS RESEARCH INSTITUTE – ESRI. ArcGIS Dashboard. EUA, 2021. Disponível em: https://doc.arcgis.com/en/dashboards/get-started/what-is-a-dashboard.htm. Acesso em: 01 abr. 2021.

ESCADA, M. I. S.; MONTEIRO, A. M. V.; AGUIAR, A. P. D.; CARNEIRO, T. G. S.; CAMARA, G. Análise de padrões e processos de ocupação para a construção de modelos na Amazônia: experimentos em Rondônia. In: SIMPÓSIO BRASILEIRO DE SENSORIAMENTO REMOTO, 12, 2005. Anais […] Goiânia: INPE, 2005. p. 2973-2983.

FREITAS, M.; FREITAS, M.C.S.; IORIS, A. A.R.; JUNIOR, W.E.C. Amazônia. Lisboa; Chiado, p. 347, 2017

INSTITUTO BRASILEIRO DE GEOGRAFIA E ESTATISTICA – IBGE.  Pesquisa de Pecuária Municipal – PPM. Local: Brasília, DF, c2017. Disponível em: https://www.ibge.gov.br/estatisticas/economicas/agricultura-e-pecuaria/9107-producao-da-pecuaria-municipal.html?=&t=downloads. Acesso em:  10 de abr. 2021.

INSTITUTO BRASILEIRO DE GEOGRAFIA E ESTATISTÍCA – IBGE. Amazônia Legal. Local: Brasília, DF, c2017. https://www.ibge.gov.br/geociencias/cartas-e-mapas/mapas-regionais/15819-amazonia-legal.html?=&t=o-que-e.  Acesso em: 16 fev. 2021.

INSTITUTO BRASILEIRO DE GEOGRAFIA E ESTATISTÍCA – IBGE. IBGE cidades. Local: Brasília, DF, 2017. Disponível em: https://cidades.ibge.gov.br/brasil/ro/panorama. Acesso em: 14 abr. 2021.

INSTITUTO BRASILEIRO DO MEIO AMBIENTE E DOS RECURSOS NATURAIS RENOVÁVEIS – IBAMA. Monitoramento de queimadas em imagens de satélites. Local: Brasília, DF, 2017.

INSTITUTO NACIONAL DE PESQUISAS ESPACIAIS – INPE. DBQueimadas. Local: São José dos Campos, SP, 2020. Disponível em: https://queimadas.dgi.inpe.br/queimadas/bdqueimadas#sobre-o-bdqueimadas. Acesso em: 12 fev. 2021.

INSTITUTO NACIONAL DE PESQUISAS ESPACIAIS – INPE. Relatório do SIPAM constata redução das queimadas em Mato Grosso, Rondônia e Acre. Portal EcoDebate, página online, São José dos Campos, SP, 2009. Disponível em:< http://www.inpe.br/noticias/namidia/?pag=523>.  Acesso em: 10 abr. 2021.

LIMA, A. PROGRAMA DE REGULARIZAÇÃO AMBIENTAL (PRA). [s.l.], 2021. Disponível em: https://www.projetasustentavel.com/pra-programa-de-regularizacao-ambiental. Acesso em: 21 maio 2021.

NOGUEIRA, D. W. R. Geoprocessamento Aplicado Aos Focos De Calor No Estado De Rondônia. 2019. 67 f. Monografia (Bacharel em Engenharia Ambiental e Sanitária) - Fundação Universidade Federal de Rondônia, Ji-Paraná, 2019.

NOGUEIRA, D. W. R.; AMORIM, S. V.; OLIVEIRA, H. S. de.; AGUIAR, R. G. Índice de focos de calor na reserva biológica do Jaru durante o período de 2005 a 2015.  in: IX SBEA, XV ENEEAmb e III FLES. Belo Horizonte, [Anais IX Simpósio Brasileiro de Engenharia Ambiental] São Paulo: Blucher, jul. 2017, vol. 4 n. 2, p. 1757-1767. ISSN 2357-7592, DOI 10.5151/xveneeamb-176

PROJETO MAPBIOMAS – Coleção v. 30 da série anual de mapas de cobertura e uso de solo do Brasil - Estatística. [s.l.], sem data. Disponível em: http://plataforma.mapbiomas.org/stats. 2019.

SETZER, A. W.; SOUZA, P. A. L.; MORELLI, F. modificação do algoritmo de focos de queima avhrr do inpe e sua avaliação com um método dinâmico. In: [Anais XVI Simpósio Brasileiro de Sensoriamento Remoto] SBSR XVI, Foz do Iguaçu. Foz do Iguaçu: p. 6395-6400. 2013.

SILVA FILHO, E. B.; TELES, L. J. S.; NETO, L. A. S. Ocorrências De Focos De Calor No Estado De Rondônia em 2007. Revista Sociedade & Natureza, [s.l.], vol. 21, n. 2, p. 123-140, 2009. <https://doi.org/10.1590/S1982-45132009000200009.>.

APENDIX a – Arcgis Online Platform

Interface gráfica do usuário

Descrição gerada automaticamente

APENDIX B – Maps regarding burn hotspots, cattle production and pasture area for Years 2002 to 2016.

APENDIX C – Charts with Spearman’s Correlation for Burn Hotsposts (Q) and Cattle Production (G), Burn Hostspots (Q) and Pasture (P) and Pasture (P) and Cattle Production (G) for years 2002 to 2016.

 

Authorship contributions

1 – Weliton Teixeira da Cruz

Environmental and Sanitary Engineer, Graduated in Environmental Engineering.

https://orcid.org/0000-0003-1258-0797 • welitonteixeira.eng@gmail.com

Contribution: Conceptualization | Writing – original draft | Data curation | Writing – review & editing

2 – Rodrigo Martins Moreira (Corresponding Author)

Adjunct Professor at the Environmental Engineering Department at the Federal University of Rondônia, PhD in Environmental Engineering Sciences

https://orcid.org/0000-0001-6794-6026 • rodrigo.moreira@unir.br

Contribution: Conceptualization | Data curation | Writing – review & editing | Supervision

3 – André Procópio Lima Silva

Environment Engineer, Graduated in Environmental Engineering

https://orcid.org/0000-0001-9153-0311 • andreprocopio.ea@gmail.com

Contribution: Data curation | Writing – review & editing

4 – Gabriel Araújo Paes Freire

Environmental scientist, Master's in Environmental Sciences

https://orcid.org/0000-0003-4678-9126 • paesfreire@gmail.com

Contribution: Writing – review & editing

5 – Antônio Conceição Paranhos Filho

Titular Professor at UFMS, PhD in Environmental Geology

https://orcid.org/0000-0002-9838-5337 • antonio.paranhos@ufms.br

Contribution: Writing – review & editing

6 – Alisson André Ribeiro

Professor at the Graduate Program in Natural Resources, PhD in Environmental Sanitation and Water Resources

https://orcid.org/0000-0002-0478-977X • geotec.ribeiro@gmail.com

Contribution: Writing – review & editing

How to quote this article

CRUZ, W. T.; et al. Spatio-temporal correlation between burn hotspots, pasture areas and cattle production at the state of rondônia between the years of 2002 and 2016. Ciência e Natura, Santa Maria, v. 44, e28, 2022. DOI: https://doi.org/10.5902/2179460X68140.

 



[1] Available at: https://www.arcgis.com/apps/dashboards/216c505fd9d24BH29641fefe114486c8.