Universidade Federal de Santa Maria

Ci. e Nat., Santa Maria, v. 43, Ed. Esp. UFV, e12, 2021

DOI: 10.5902/2179460X66996

ISSN 2179460X

Recebido: 31/07/2021 • Aceito: 29/09/2021 • Publicado: 05/11/2021

Impacto do distanciamento social em um modelo discreto para COVID-19

Social distancing impact in a discrete model for COVID-19

Diomar Cristina MistroI

Luiz Alberto Díaz RodriguesII

I Professora do Departamento de Matemática, Universidade Federal de Santa Maria, Santa Maria, RS, Brasil

https://orcid.org/0000-0003-1869-9350 – dcmistro@gmail.com

II Professor do Departamento de Matemática, Universidade Federal de Santa Maria, Santa Maria, RS, Brasil

https://orcid.org/0000-0001-9909-5254 – ladiazrodrigues@gmail.com

RESUMO

O objetivo deste trabalho é apresentar um modelo SEIR discreto para analisar os efeitos qualitativos do distanciamento social na dinâmica da epidemia de COVID-19. Nossos resultados indicam que a eficiência desta medida não farmacêutica depende de sua duração e da adesão da população.

Palavras-chave: COVID-19; Modelos discretos; SEIR; Distanciamento social

ABSTRACT

The main goal of this paper is to present a discrete SEIR model to analyse the effects of social distancing in the COVID-19 epidemics. Our results indicate that the efficiency of this nonpharmaceutical intervention depends on people engagement and on the duration of the control.

Keywords: COVID-19; Discrete models; SEIR; Social distancing

1 INTRODUÇÃO

A importância da Matemática para a tomada de decisões de contenção e mitigação do espalhamento de epidemias é cada vez mais reconhecida. Há registros de que a modelagem matemática influencia políticas sanitárias desde o século XVIII quando Daniel Bernoulli escreveu um artigo analisando as mortes em decorrência da varíola em 1760 (BRITTON, 2003). No entanto, a modelagem matemática de epidemias se notabilizou a partir do trabalho de Kermack e McKendrick (1927), que descobriram a condição limiar para o espalhamento de uma doença e mostraram como estimar o número de pessoas que podem ser afetadas em uma epidemia.

Recentemente, a análise matemática desenvolvida por Neil Ferguson e colaboradores (FERGUSON et al., 2020), do Imperial College de Londres, mudou a direção da política sanitária adotada no Reino Unido com relação à epidemia de COVID-19, que desistiu de utilizar a chamada “imunidade de rebanho” e decidiu pelo distanciamento social dos cidadãos para evitar o colapso do sistema de saúde.

De fato, pouco tempo após o início da epidemia, em meados de dezembro de 2019 em Wuhan, na China, começaram a surgir os primeiros modelos matemáticos para analisar não só a dinâmica da doença como também para estudar medidas de mitigação do impacto e do espalhamento da doença. Pouco mais de um ano se passou e hoje é muito difícil acompanhar todos os estudos sobre a COVID-19 que, diariamente, são publicados às centenas em periódicos nacionais e internacionais. Pesquisadores de todo o mundo, desde biomatemáticos, passando por físicos e matemáticos puros até engenheiros e cientistas da computação têm se dedicado a formular modelos para estudar a evolução da epidemia e os efeitos de possíveis medidas de controle da doença.

Muitas abordagens, tipos de modelos e técnicas de análise têm sido utilizados. Muitos trabalhos buscam fazer uma previsão de números de casos a partir de dados de cidades, regiões ou países. As autoridades, por um lado, necessitam de informações que ajudem a tomada de decisões sobre as medidas de controle da doença no sentido de não sobrecarregar o sistema de saúde e assim salvar vidas. Por outro lado, as dificuldades que medidas como o isolamento social têm imposto às pessoas fazem com que o público em geral, espere por modelos que prevejam não só o número de pessoas que serão acometidas como também a data provável para o “pico” da doença. Assim como os modelos para a previsão do tempo, as previsões sobre número de casos exigem dados de boa qualidade e devem ser de curto prazo. No caso de uma pandemia como a que enfrentamos atualmente, devemos ainda considerar que o comportamento das pessoas é dinâmico e varia, influenciado pelos mais diversos estímulos. Somado a isto, há que se considerar que estamos enfrentando uma doença ainda pouco conhecida sob muitos aspectos o que torna as previsões ainda mais suscetíveis a erros.

Apesar da importância das previsões, acreditamos não ser aí que reside o real “poder” dos modelos matemáticos. Mais do que prever número e data, os modelos podem ser usados como ferramenta de experimentação para testar hipóteses e estratégias e mostrar as tendências da evolução do fenômeno em estudo. Ao invés de perguntar “Quantas pessoas serão acometidas?” ou “Quando será o pico da epidemia?”, podemos perguntar “Como achatar a curva de infecciosos?” ou “Como retardar o pico epidêmico?”.

Outro aspecto importante diz respeito à complexidade dos modelos. Modelos chamados “big data” utilizando grande volume de informações de localização via celulares ou acessos às redes têm sido publicados (BUCKEE, 2020). A divisão em faixas etárias e em vários compartimentos também tem sido considerada em muitos trabalhos, o que leva a sistemas complexos com muitas equações e parâmetros (PREM et al., 2020). Modelos simples, por outro lado, muitas vezes fornecem as mesmas conclusões que modelos demasiadamente complexos. Além disso, a simplicidade pode ser até uma aliada da análise e interpretação.

Neste trabalho, apresentamos um modelo discreto simples para analisar os efeitos do distanciamento social sobre a evolução da epidemia de COVID-19. Nossa pretensão é fornecer informações qualitativas, ao invés de quantitativas, sobre as consequências da adoção do distanciamento social sobre a evolução da epidemia.

2 Modelo

Assumindo que os recuperados de COVID-19 não voltem a ficar suscetíveis, vamos considerar um modelo clássico SEIR discreto no qual uma etapa de tempo corresponde a um dia (BRAUER et al., 2010). Este tipo de modelo tem sido amplamente utilizado para o estudo de COVID-19, principalmente em sua formulação contínua. A escolha da versão discreta se deve, por um lado, à coleta diária de dados e, por outro, à facilidade com que este tipo de formulação nos permitirá, em trabalhos futuros, incluir explicitamente o espaço. Outros compartimentos como hospitalizados ou hospitalizados em UTI também poderiam ser utilizados. Porém, introduziriam complexidade ao modelo e não trariam informações adicionais aos nossos propósitos.

As seguintes equações descrevem a dinâmica temporal de uma epidemia em que os suscetíveis, após o contágio pelo contato direto com indivíduos infecciosos, passam por um período de latência durante o qual consideramos que não contagiem outros indivíduos. Passado este período, os indivíduos tornam-se infectantes até que deixem a classe de infecciosos por recuperação ou morte, quando então fazem parte da classe dos removidos. Como já mencionamos, apesar de casos de reinfecção terem sido reportados, consideramos que os recuperados não voltam a ficar suscetíveis. O sistema pode ser expresso na forma:

st+1 = st exp (−δit)

et+1 = (1 − κ)et + (1 − exp (−δit)) st

it+1 = κet + (1 − γ)it

rt+1 = γit + rt,

(1)

onde st representa o número de suscetíveis, et o número de expostos, it o número de infecciosos e rt o número de removidos no tempo t. A taxa de contato δ = −ln(1 − p) onde p é a probabilidade de um contato efetivo entre um suscetível e um infeccioso; representa a fração que deixa a classe dos expostos por unidade de tempo onde τ1 é o tempo médio de incubação; a fração de indivíduos que deixa a classe dos infecciosos é onde τ2 é o tempo médio de duração da infecção (PREM et al., 2020).

Introduzindo as variáveis adimensionais , onde N é o total da população, obtemos as equações:

St+1 =St exp (−βIt)

Et+1 = (1 − κ)Et + (1 − exp (−βIt)) St

It+1 = κEt + (1 − γ)It

Rt+1 = γIt + Rt,

(2)

onde β = δN.

3 Resultados

Uma solução típica do sistema (2) é ilustrada na Figura 1 para os seguintes valores dos parâmetros: β = 0,15, κ = 0,181269 considerando que o tempo de incubação seja τ1 = 5 dias e, γ = 0,062479 considerando τ2 = 15, o tempo médio de duração da doença.

Figura 1 – Azul indica suscetíveis; rosa, removidos; verde claro, expostos e verde escuro, infecciosos, para o seguinte conjunto de parâmetros: β = 0,15, γ = 0,062479 e κ = 0,181269

Fonte: Autores (2020)

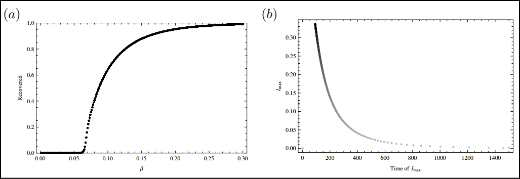
O diagrama de bifurcação da população de removidos em função da taxa de contato β, ilustrado na Figura 2(a), mostra como este parâmetro afeta a fração da população que é acometida pela doença. Vemos que quanto maior a taxa de contato, maior será a fração da população atingida pela infecção.

Na Figura 2(b), mostramos a fração máxima de infecciosos e o tempo em que ocorre o pico da infecção à medida que β varia.

A intensidade dos tons de cinza representam valores crescentes de β no intervalo 0 < β < 0,35.

Os resultados apresentados na Figura 2 indicam o papel relevante da taxa de contato sobre a dinâmica da epidemia e sugerem que uma forma de diminuir o pico e “achatar” a curva de infecciosos é fazer com que o valor de β seja diminuído. Isto é, devemos reduzir o contato entre suscetíveis e infecciosos, o que tem sido amplamente preconizado pelo mundo como isolamento social ou distanciamento social.

3.1 Distanciamento social

Vamos então introduzir o distanciamento social considerando β variável com o tempo (NEVES, 2020), da seguinte forma:

(3)

onde ti e tf correspondem, respectivamente, ao tempo inicial e final do isolamento, β1 é a taxa de contato fora do período de distanciamento e β2 < β1 é a taxa de contato durante o período de distanciamento.

Podemos verificar que reduzir β1 a uma fração β2 = (1 q)β1 é equivalente a considerar uma fração q da população de suscetíveis em distanciamento. Isto é, reduzir β, durante o período de distanciamento, é o mesmo que considerar a equação

Figura 2 – (a) Fração final de removidos em função da taxa de contato β. (b) Fração máxima de infecciosos e o tempo em que ocorrem para diferentes valores de β. A intensidade crescente de tons de cinza indica o valor de β no intervalo 0 < β < 0,35. Os demais parâmetros foram fixados em γ = 0,062479 e κ = 0,181269

Fonte: Autores (2020)

St+1 = (1 − q)St exp (−βIt) + qSt

(4)

para os suscetíveis no sistema (2).

Como veremos a seguir, não só o valor da taxa de contato como também a duração do período de isolamento social é importante para a dinâmica da epidemia. A Figura 3(a) compara a fração de infecciosos na evolução natural de uma epidemia (isto é, sem a adoção de nenhuma medida de controle) com a evolução para diferentes frações de suscetíveis em um distanciamento que inicia no dia ti = 50 e termina no dia tf = 150. A curva contínua indica a evolução natural da epidemia. A curva tracejada representa os resultados com distanciamento em que 25% da população de suscetíveis se mantém reclusa, enquanto a curva pontilhada corresponde a um distanciamento de 50% dos suscetíveis.

A Figura 3(a) sugere que quanto mais indivíduos aderirem à medida de distanciamento, menor será o pico de infecciosos. No entanto, isto não é completamente verdadeiro, como podemos observar na Figura 3(b). Se 80% da população de suscetíveis se mantiver em distanciamento (β2 = 0,04) por um período de 100 dias (com ti = 50 e tf = 150), o pico de infecciosos após o final do período de distanciamento é maior do que se uma porcentagem menor de indivíduos tivesse aderido.

Figura 3 – Evolução da fração de infecciosos em uma epidemia para diferentes intensidades de distanciamento social. A curva em preto (em (a) e (b)) representa a evolução da epidemia sem a adoção de medidas de controle. A curva tracejada (em (a)) corresponde a β2 = 0,15, a curva pontilhada (em (a) e (b)) representa β2 = 0,1 e a curva cinza (em (b)) representa β2 = 0,04. Os demais parâmetros foram fixados em γ = 0,062479, κ = 0,181269, β1 = 0,2, ti = 50 e tf = 150

Fonte: Autores (2020)

Na epidemia de COVID-19 interessa conhecer os fatores que promovam uma redução do pico de infecciosos bem como os fatores que retardem a sua ocorrência. A primeira informação impacta na capacidade do sistema de saúde pois quanto mais indivíduos adquirirem a infecção ao mesmo tempo, mais sobrecarregado ficam os hospitais e UTIs. A segunda informação é relevante para a preparação de infraestrutura e de pessoal de saúde para atender a alta demanda.

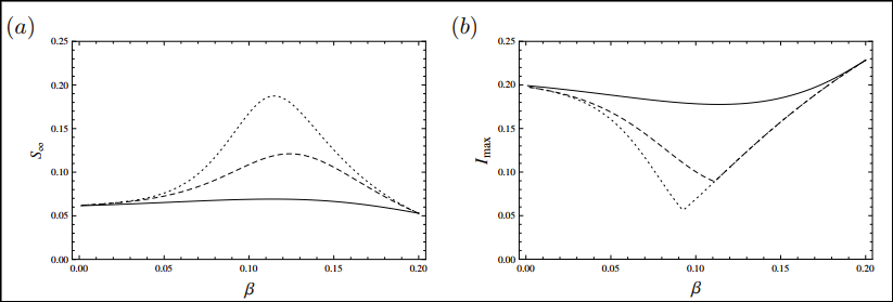
Na Figura 4 vemos que a fração de suscetíveis que não é acometida pela infecção bem como a fração máxima de infecciosos depende de β e de tf . Fixada a duração da quarentena, há um β ótimo para o qual S∞, a população final de suscetíveis, atinge o máximo e a fração de infecciosos máxima atinge o mínimo. Quanto mais durar o isolamento social, menor será o pico de infecciosos. Por outro lado, um distanciamento muito rígido (no sentido de que muitas pessoas fiquem em isolamento), porém curto, pode levar a um pico maior de infecciosos. Este resultado contraintuitivo, que pode dar a ideia enganosa de que isolamentos sociais muito rígidos não são efetivos, se deve ao fato de que, neste caso, resta uma fração muito grande suscetíveis após o fim da medida. Poderia ser mais eficaz se perdurasse por mais tempo.

Figura 4 – (a) Fração de suscetíveis remanescentes S após o final da epidemia e (b) fração máxima de infecciosos em função de β2 para diferentes durações de um isolamento que inicia no dia ti = 50. A curva contínua corresponde a tf = 100; a curva tracejada ilustra os resultados para tf = 150 enquanto a curva pontilhada mostra tf = 200. Os demais parâmetros foram tomados como anteriormente

Fonte: Autores (2020)

4 Conclusões

Neste trabalho, apresentamos um modelo discreto simples a fim de analisar os efeitos da adesão e da duração do isolamento social na dinâmica da epidemia de COVID-19. Consideramos uma dinâmica SEIR e introduzimos o distanciamento através de uma taxa de contato variável no tempo com objetivo de averiguar quais fatores podem reduzir e retardar o pico de infecciosos.

Nossos resultados sugerem que a eficiência do distanciamento social depende da fração de suscetíveis que aderem à medida bem como do tempo de duração destas medidas. Um distanciamento com alta adesão por um período curto de tempo pode apresentar, após o término do isolamento, um pico de infecciosos maior do que se a adesão for moderada. Este tipo de fenômeno foi observado, por exemplo, na cidade de São Paulo, que apresentou um pico mais elevado de casos após o abandono das medidas de distanciamento social por grande parte da população. Com baixo número de pessoas aderindo às medidas, o pico da epidemia ocorre rapidamente, ainda durante o distanciamento. Será tanto menor, à medida que a adesão aumentar. Por outro lado, se o número de pessoas em isolamento ultrapassar um certo limiar, o pico de infecciosos ocorrerá após o término da medida. Esse resultado também mostra que é falaciosa a mensagem de que o distanciamento social não produz resultados ou mesmo de que é pior adotar o isolamento. Na verdade, o modelo mostra que para cada período de duração do distanciamento, há uma fração ótima da população que deve aderir às medidas para que o pico epidêmico seja minimizado.

Apesar de termos adotado uma abordagem qualitativa, acreditamos que todos os tipos e formas de modelagem podem contribuir no enfrentamento da crise sanitária que atravessamos. As diversas formas de encarar o problema podem trazer informações que se complementem e assim, fornecer resultados relevantes para planejarmos medidas de mitigação dos efeitos da pandemia.

Referências

BRAUER, F., FENG, Z., CASTILLO-CHAVEZ, C. Discrete epidemic models. Math Biosci Eng, 7(1), 1–15, 2010. BRITTON, N. F. Essential Mathematical Biology, Springer-Verlag, London, 2003.

BUCKEE, C.O. et al. Aggregated mobility data could help fight COVID-19. Science, 10, 368(6487), 145-146, 2020. doi: 10.1126/science.abb8021. Epub 2020 Mar 23. PMID: 32205458.

FERGUSON, N. M. et al. Impact of non-pharmaceutical interventions (NPIs) to reduce COVID-19 mortality and healthcare demand. Imperial College Report, 2020. DOI: https://doi.org/10.25561/77482.

KERMACK, W. and MCKENDRICK, A. A contribution to the mathematical theory of epidemics. Proceedings of the Royal Society of London, Series A, 115, 700-721, 1927.

NEVES, A. G. M. Quarentena para o COVID-19: início, intensidade e término. Preprint, 2020.

PREM, K. et al. The effect of control strategies to reduce social mixing on outcomes of the COVID-19 epidemic in Wuhan, China: a modelling study. Lancet Public Health., 2020. doi.org/10.1016/S2468-2667(20)30073-6.

Como citar este artigo

MISTRO, D. C.; RODRIGUES, L. A. D. Impacto do distanciamento social em um modelo discreto para COVID-19. Ciência e Natura, Santa Maria, v. 43, Ed. Esp. X ERMAC, e12, p. 1-12, 2021. DOI 10.5902/2179460X66996. Disponível em: https://doi.org/10.5902/2179460X66996. Acesso em: 5 nov. 2021.