Universidade Federal de Santa Maria

Ci. e Nat., Santa Maria, v. 43, Ed. Esp. UFV, e17, 2021

DOI: 10.5902/2179460X66995

ISSN 2179460X

Recebido: 21/07/2021 • Aceito: 29/09/2021 • Publicado: 05/11/2021

Dispersão de odor em confinamento bovino

Odor dispersion in bovine confinement

Dominiki Ribas SantosI

Glênio GonçalvesII

I Mestrado em Modelagem Matemática, Universidade Federal de Pelotas, Pelotas, RS, Brasil

https://orcid.org/0000-0003-3253-4317 – dominikiribas@gmail.com

II Professor associado da UFPel, Universidade Federal de Pelotas, Pelotas, RS, Brasil

https://orcid.org/0000-0001-7321-3742 – gleniogoncalves@yahoo.com.br

RESUMO

As emissões de odores têm provocado desconforto e possíveis danos à saúde em populações que residem em torno de áreas industriais ou de produção de animais. O mau cheiro pode causar efeitos à saúde humana como náuseas, dores de cabeça e prejudicar a saúde mental dos que ali residem. Este trabalho aborda um estudo de caso de uma área de confinamento de bovinos na parte rural do minicípio de Capão do Leão, Rio Grande do Sul, Brasil, em que alguns moradores têm relatado a presença constante de odores. Desta forma, utilizando a equação de advecção-difusão, calculamos a dispersão de poluentes na atmosfera, em condições meterológicas diversas a fim de obter resultados condizentes com o relato dos moradores.

Palavras-chave: Modelagem matemática; Advecção-difusão; Odores, Estudo de caso

ABSTRACT

Odor emissions have caused discomfort and possible damage to health in populations that living around industrial areas or animal production. The bad smell can cause effects to human health such as nausea, headaches and harm the mental health of those who live there. This work addresses a case study of a bovine confinement area in the rural part of the county of Capão do Leão, Rio Grande do Sul, Brazil, in which some residents have reported the constant presence of odors. Thus, using the advection-diffusion equation, we calculated the dispersion of pollutants in the atmosphere, in different meteorological conditions in order to obtain results befitting with the residents’ reports.

Keywords: Mathematical modeling; Advection-diffusion; Odors; Case study

1 INTRODUÇÃO

A intensificação das indústrias ao longo dos anos, a apropriação das áreas rurais em urbanas e o crescimento do desmatamento levantam questionamentos a respeito da qualidade do ar que respiramos. Os estudos referentes ao assunto expõem que, a cada ano, encontram-se um número maior de organismos nocivos na atmosfera. Portanto o ar está ficando impróprio à população, causando principalmente aumento nos casos de doenças respiratórias. Entre as reclamações referentes à qualidade do ar, as mais comuns possuem relato de mau cheiro, devido sua fácil constatação.

Devido à complexidade envolvida em fenômenos atmosféricos, para melhor compreender o movimento da dispersão e transporte dos poluentes faz-se necessário o emprego de modelos matemáticos. Os modelos podem estimar as incidências de odor, a localização de fontes emissoras do mau cheiro e até estimas os picos de máximo odor (Moreira e Tirabessi, 2004). O objetivo deste estudo é investigar o desempenho de um método que utiliza a equação de advecção-difusão tridimensional, transiente e com componente de vento estocástica por meio de um método que associa o método de separação de variáveis e transformadas integrais (GILTT).

O modelo proposto possui carácter estocástico devido à dispersão de poluentes na camada limite planetária que varia de forma imprevisível em certos períodos de tempo, sobretudo em condições de vento fraco. Levando em consideração as condições de vento fraco, foram avaliados parâmetros difusivos nas direções x, y e z, além de flutuações na velocidade de vento longitudinal e transversal.

2 Metodologia

Os fenômenos atmosféricos que governam a disposição de poluentes são, basicamente, o transporte advectivo e a difusão. A equação descrita por Businger (1974), que possui caráter advectivo nas direções horizontais e difusiva nas direções verticais, representa a Concentração C de poluentes que são liberados por uma fonte fixa Q, no instante em que t = 0.

(1)

Em que C(x,y,z) representa a função da concentração (Kg/m3), o coeficiente de difusão é dado por Kz(m2/s) na direção vertical do transporte turbulento, u é a velocidade média na direção longitudinal e v na direção transversal.

As condições iniciais e de fonte são partes fundamentais para o desenvolvimento do modelo e são dadas conforme equações abaixo em que Hs(m) representa a altura da fonte, Q(g/m2s) a intensidade da fonte e F (y) a concentração média do poluente no eixo y.

(2)

(3)

(4)

Para obter a solução da equação de dispersão tridimensional transiente, foi usada a combinação da técnica de separação de variáveis e a técnica GILTT (Generalized Integral Laplace Transform Technique). Maiores informações podem ser encontradas em Gonçalves et al. (2018). Consequentemente, a concentração C é dada pela seguinte equação:

(5)

em que a função ξ(x,z) representa a solução do termo difusivo na Equação (1) utilizando a técnica GILTT. Ao supormos que F e Q sejam funções de Delta de Dirac, a concentração será descrita da seguinte forma:

(6)

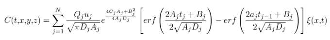
Neste momento, a pluma pode ser decomposta em N segmentos de concentração Cj, cada um destes segmentos j possui intervalo de tempo arbitrário. Dessa forma, a concentração está sujeita às condições meteorológicas do segmento emitido da fonte no intervalo de tempo. Os ventos nas direções horizontais são representados por seus componentes médios juntamente com os componentes estpcásticos. Assim:

(7)

no qual 𝐴 = 𝑢 + 𝑣, 𝐵 = 2𝑢(𝑥 − 𝑢𝑡) + 2𝑣(𝑦 − 𝑣𝑡), 𝐶 = (𝑥 − 𝑢𝑡)2 + (𝑦 − 𝑣𝑡)2 e 𝐷 = 16 (𝑥⁄𝑢)𝐾𝑥𝐾𝑦 O índice j representa o jésimo intervalo. O u (vento médio), é determinado pela equação:

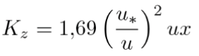
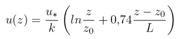
(8)

onde z0 representa a rugosidade do solo, L é o comprimento de Monin- Obukhov, u é a velocidade de fricção e k representa a constante de Von Karman. Considerando as condições de vento fraco nas direções horizontais, foi usado um sistema de duas equações acopladas de Langevin para representar a flutuação no vento.

(9)

(10)

Nas equações (9) e (10) p e q são os parâmetros teóricos e ξ representam variáveis estocásticas que obedecem a uma probabilidade normal da função distribuição. Sharan (1996) e Sharan (2002) representam os coeficientes de difusão Kx, Ky e Kz da seguinte maneira:

(11)

(12)

(13)

em que x é a distância da fonte e σθ é o desvio padrão na direção da velocidade do vento.

3 Resultados e discussões

Após a ocorrência de constatação de odores entre moradores e estudantes da Universidade Federal de Pelotas, do Campus de Capão do Leão, no estado de Rio Grande do Sul, Brasil, foi possível compreender o problema relatado pela população que ali reside. Por meio desta motivação, utilizando os recursos disponíveis na modelagem matemática voltada para a dispersão de poluentes na atmosfera, consideramos inicialmente se a solução obtida era coerente com os relatos observados.

Em sequência desta verificação, a proposta de modelagem foi de obtermos os maiores índices de constatação de odores, a fim de que se tivermos estes valores poderemos compreender fe forma mais completa a situação em sua máxima capacidade. Desta forma foi estabelecido medições em três arcos de distâncias de raio de 500m, 1000m e 2000m, com centro no emissor do mau cheiro, conforme figura 1. Os dados meteorológicos da região foram disponibilizados pelo Instituto Nacional de Meteorologia - INMET, que se localiza próxima a área afetada o que contribui de forma significativa para a resolução da equação.

A análise foi realizada com informações meteorológicas do dia 20 de junho de 2020, que houve episódio de mau cheiro durante certo período de tempo, neste período a velocidade do vento foi de 1,1m/s que é considerado baixo. Na ocorrência de vento fraco acontece a formação de meandros, que são oscilações horizontais do vento na pluma de poluentes tornando a dispersão irregular e indefinida. Para as primeiras simulações consideramos uma fonte baixa por se tratar de resíduos que ficam em contato com o chão, e consideramos a rugosidade do solo de 0,78m por ser uma área plana.

Ao considerarmos o odor como uma forma de poluição na atmosfera, constata-se na literatura que alguns estudos colocam como solução para a poluição em áreas residenciais o plantio de vegetação rasteira e plantio de árvores em volta de rodovias e vias de tráfego, como o estudo de Al- Daddous et al.(2015). Neste sentido, esse trabalho considera o plantio de vegetações, em volta da área de confinamento de animais, com altura de vegetação de aproximadamente 40 metros.

Para a obtenção dos resultados foram medidas as concentrações do poluente dados em OU −1 encontradas nos raios de emissão ditos anteriormente. Pelo caráter estocástico da solução, analisa-se a simulação de 40 eventos, considerando os valores de máximo em cada evento.

Com a tabela apresentada acima é possível constatar que os resultados são coerentes com os relatos obtidos pelos moradores da região. Observa-se também que quanto mais perto da área de confinamento maior é a concentração. Acrescentamos que também é possível verificar que o plantio de árvores e vegetação seria de excelente contribuição para a diminuição da percepção do odor para a população vizinha ao confinamento de animais.

Figura 1 – Ilustração das áreas afetadas em raios de 500m, 1000m e 2000m

Fonte: Autores (2020)

Tabela 1 – Valores de comparação entre áreas de com e sem vegetação em distintas distâncias de raio

Raio

Sem Vegetação

Com Vegetação

500m

12,09090628

4,944757694

1000m

5,639488456

3,138569528

2000m

2,582576767

1;256609408

Fonte: Autores (2020)

Vale ressaltar que esta análise foi realizada em condições de vento fraco (1,1m/s), podendo ter resultados diferentes com condições meteorológicas distintas.

4 Conclusões

O modelo apresentou resultados que refletem satisfatoriamente a dispersão de odor em situação de vento fraco. A introdução da forma segmentada da pluma permite que sejam inseridas as mudanças meteorológicas dentro do modelo. Isso permite que apareçam o fenômeno de meandro que é relevante na dispersão em vento fraco. Os resultados, como motivação do trabalho, mostram que o uso de vegetação, como forma de barreira, atenua a presença de odor nas vizinhanças do confinamento. Deve ser destacado que há escassez de material na literatura com a abordagem de dispersão de odores. Assim, esse trabalho também tem como objetivo ampliar o interesse e o levar como fonte de estudo uma possibilidade real e de custo relativamente baixo para mitigar os efeitos da dispersão de odor.

Agradecimentos

Os autores agradecem a Coordenação de Aperfeiçoamento de Pessoal de Ensino Superior (CAPES) pelo apoio financeiro parcial para o desenvolvimento desta pesquisa.

Referências bibliográficas

AL- DADDOUS, A., KUMAR, P., ROBINS, A. Influence of roadside vegetation barriers on concentration of traffic-spewed ultrafine particles. In: International Conference on Harmonisation with in atmospheric dispersion modeling for regulatory purposes, 15, Madrid, Espanha, 2013.

BUSINGER, J., WYNGAARD, C., YZUMI, Y., BRADLEY, E. F., Flux-profile relationships in the atmospheric surface layer. Jornal of the Atmospheric Sciences, 28:181-189, 1974.

GONÇALVES, G., BUSKE, D., QUADROS, R., WEYMAR, G., A new approach to solve time dependent three- dimensional advection- diffusion equation applied to model air pollution dispersion in the planetary boundary layer. Int. J. DEv, Res, 8 (5): 20535-20543, 2018.

MOREIRA, D., TIRABASSI, T., Modelo matemático de dispersão de poluentes na atmosfera: um Instrumento tècnico para a gestão ambiental. Revista Ambiente e Sociedade, 7, 2004.

SHARAN, M., SING, M., YADAV, A., Simulation of short-range diffusion experiment in low-wind convective conditions. Atmospheric Environment, 36: 1901-1906, 2002.

SHARAN, M., SING, M., MONDANI, M. A mathematical model for the dispersion in low winds with eddy diffusivities as linear functions of downwind distance. Atmospheric Environment, 30: 1137-1145, 1996.

CONTRIBUIÇÃO DE AUTORIA

1 – Dominiki Ribas Santos

Escrita (Rascunho Original), Conceitualização, investigação e Validação.

2 – Glênio Aguiar Gonçalves

Escrita (Revisão e edição), Metodologia e administração do projeto.

Como citar este artigo

SANTOS, D. R; GONÇALVES, G. A. Dispersão de odor em confinamento bovino. Ciência e Natura, Santa Maria, v. 43, Ed. Esp. X ERMAC, e12, p. 1-x, 2021. DOI 10.5902/2179460X66995. Disponível em: https://doi.org/10.5902/2179460X66995. Acesso em: 5 nov. 2021.