Universidade Federal de Santa Maria

Ci. e Nat., Santa Maria, v. 43, Ed. Esp. UFV, e13, 2021

DOI: 10.5902/2179460X66992

ISSN 2179460X

Recebido: 31/07/2021 • Aceito: 29/09/2021 • Publicado: 05/11/2021

Padrões espaciais de agregação populacional em modelos discretos

Spatial patterns of population aggregation in discrete models

Marcelo Cargnelutti RossatoI

Luiz Alberto Díaz RodriguesII

Diomar Cristina MistroIII

I Doutorando em Matemática Aplicada, Universidade Estadual de Campinas, Campinas, SP, Brasil

https://orcid.org/0000-0001-8317-4628 – marcelocrossato@gmail.com

II Doutor em Matemática Aplicada, Universidade Federal de Santa Maria, Santa Maria, RS, Brasil

https://orcid.org/0000-0001-9909-5254 – ladiazrodrigues@gmail.com

III Doutora em Matemática Aplicada, Universidade Federal de Santa Maria, Santa Maria, RS, Brasil

https://orcid.org/0000-0003-1869-9350 – dcmistro@gmail.com

RESUMO

Diversos modelos matemáticos são utilizados para tentar descrever a formação de distribuições heterogêneas de indivíduos de muitas espécies. Com este intuito, são propostos neste trabalho dois modelos de redes de mapas acoplados com movimentação dependente da densidade. O primeiro modelo considera que os indivíduos possuem apenas uma percepção local enquanto o segundo pressupõe uma percepção não local. Em ambos os modelos, é adotada uma preferência dos indivíduos por densidades intermediárias, protegendo-se dos riscos gerados pela superpopulação ou pela dificuldade de manter a espécie em locais pouco povoados. Foram realizadas simulações dos dois modelos, obtendo distribuições espaciais homogêneas, heterogêneas estáveis, heterogêneas oscilatórias e instáveis. Foi possível concluir que ambos os modelos representam mecanismos de agregação e que os modelos com percepção não local possibilitaram a formação de padrões mais extensos.

Palavras-chave: Agregação; Formação de padrões espaciais; Movimentação dependente da densidade; Redes de mapas acoplados

ABSTRACT

Several mathematical models are used to try to describe the formation of heterogeneous distributions of individuals of many species. With this in mind, two models of coupled maps networks with density-dependent movement are proposed in this work. The first model considers that individuals have only a local perception while the second presupposes a non-local perception. In both models, an individual preference for intermediate densities is adopted, protecting themselves from the risks generated by overpopulation or by the difficulty of keeping the species in sparsely populated places. Simulations of the two models were performed, obtaining homogeneous, stable heterogeneous, oscillatory heterogeneous and unstable spatial distributions. It was possible to conclude that both models represent aggregation mechanisms and that models with non-local perception enabled the formation of more extensive patterns.

Keywords: Aggregation; Spatial pattern formation; Density-dependent movement; Coupled map networks

1 INTRODUÇÃO

Muitas espécies biológicas, desde bactérias até mamíferos, apresentam mecanismos de agregação que levam a distribuições espaciais heterogêneas. Diversos modelos matemáticos foram criados com o objetivo de compreender e descrever esses processos. Neste trabalho, são formulados dois modelos de redes de mapas acoplados com movimentação dependente da densidade.

Consideramos que os indivíduos possuem uma preferência por densidades intermediárias uma vez que em sítios superpovoados há muita competição por recursos enquanto sítios com densidades baixas exigem um esforço maior para manter a espécie devido a dificuldade de encontrar parceiros para reprodução ou se defender de predadores (Liu et al., 2016; Turchin, 1989).

O primeiro modelo assume que os indivíduos possuem apenas uma percepção local, analisando as condições no próprio sítio para determinar a fração que deixa o local e migra equitativamente para os sítios vizinhos.

O segundo modelo considera uma capacidade de percepção não local, analisando as condições no próprio sítio e nos vizinhos, fazendo com que os indivíduos migrem com mais intensidade para os sítios em que a densidade se encontra mais próxima da desejada. Foram também realizadas simulações de ambos os modelos propostos.

2 Metodologia

Nesta seção, é abordado o modelo de redes de mapas acoplados e sua utilização para a formulação de dois modelos de movimentação dependente da densidade.

2.1 Rede de mapas acoplados

Uma rede de mapas acoplados é um modelo matemático de tempo e espaço discretos e densidade contínua (Comins et al., 1992). Nesse trabalho, o espaço bidimensional é dividido em regiões retangulares denominadas sítios e a densidade corresponde a densidade média no sítio.

Como queremos descrever processos de agregação, que ocorrem numa escala de tempo mais rápida que os de reprodução, será considerado apenas o estágio de movimentação. Considerando Ntx a densidade de indivíduos em um sítio x no tempo t e que uma fração constante µ de indivíduos deixa o sítio e se distribui igualmente entre os sítios vizinhos, a movimentação pode ser descrita pela equação:

(1)

onde Vx representa a vizinhança de x e ||Vy||, o número de sítios da vizinhança de y. A vizinhança adotada nesse trabalho é a vizinhança de Von Neumann, que considera os quatro sítios mais próximos como vizinhos.

2.2 Modelos propostos

Nesta seção, são apresentados os dois modelos propostos.

2.2.1 Modelo 1

O primeiro modelo considera que os indivíduos possuem apenas uma percepção local, analisando a densidade no sítio que se encontram para determinar a fração que deixa o sítio e migra equitativamente para os seus vizinhos. Assim, a densidade , no sítio x no instante t + 1 é definida por:

(2)

onde µ(Nxt) é uma função dependente da densidade que estabelece a fração de indivíduos que deixa o sítio x no instante t.

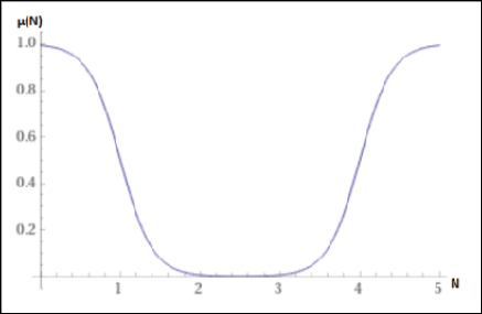
Considerando que os indivíduos buscam locais com densidades intermediárias, a função µ(N) deve assumir valores baixos apenas nessas densidades intermediárias, indicando que os indivíduos preferem permanecer nesses locais e não se movimentar. Nos sítios em que a densidade for muito alta ou muito baixa, os indivíduos se movimentam com mais intensidade e µ(N) deve assumir valores mais altos. Uma função com essas características é dada por:

(3)

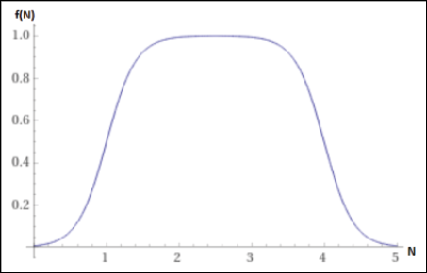
onde 𝑘1 e 𝑘2 são as densidades dos extremos do intervalo em que a mobilidade é considerada baixa, uma vez que para 𝛽 suficientemente grande e para . 𝛽 determina a taxa de variação da função em torno de 𝑘1 e de 𝑘2. Quanto maior o valor de 𝛽, mais rapidamente varia a função. A função µ(N) é ilustrada na Figura 1 para β = 5, k1 = 1 e k2 = 4.

Figura 1 – Gráfico da função

Fonte: Autores (2020)

É importante salientar que, nesse modelo, os indivíduos possuem apenas percepção local e migram equitativamente para os sítios vizinhos, podendo se mover para sítios com condições mais desfavoráveis do que o sítio em que se encontravam.

2.2.2 Modelo 2

Este segundo modelo considera que os indivíduos têm uma percepção mais aguçada, podendo perceber também as densidades dos seus coespecíficos nos sítios vizinhos. Assim, os indivíduos primeiramente analisam a densidade no próprio sítio para determinar a fração que deixa a região e então migram preferencialmente para locais com uma densidade mais adequada, de acordo com a seguinte equação:

(4)

onde é a fração de indivíduos que migra de y para x. Da fração µ(Ny ) que deixa o sítio migra para o sítio x.

A função representa a preferência dos indivíduos por sítios com densidades intermediárias e é apresentada na Figura 2 para β = 5, k1 = 1 e k2 = 4.

Figura 2 – Gráfico da função

Fonte: Autores (2020)

3 Resultados e discussões

Nesta seção, são apresentadas algumas das simulações realizadas com os modelos propostos. Os parâmetros das funções f e µ são β, k1 e k2. Foram realizados testes com β = 3,5 e 10, mas aqui serão apresentados apenas com β = 5. A região foi dividida em 40 linhas e 36 colunas, resultando em 1440 sítios.

Para reunir os resultados das simulações, adotamos a densidade ótima 𝑁𝑜𝑡 como o ponto médio do intervalo (𝑘1, 𝑘2) e 𝜖 como o raio desse intervalo, assim 𝑘1 = 𝑁𝑜𝑡 − 𝜖 e 𝑘2 = 𝑁𝑜𝑡 + 𝜖. Não foram considerados casos em que 𝑘1 < 0.

A distribuição inicial da população em cada simulação é aproximadamente homogênea, com densidade média de 0,5 e uma perturbação de no máximo 10% desse valor. São considerados Not = 0,5; 0,7; 1,0 e 1,2 e ϵ = 0,2; 0,4; 0,6 e 0,8.

Foram realizadas até 17000 etapas de tempo em cada simulação e as distribuições espaciais obtidas podem ser classificadas como homogêneas, heterogêneas estáveis, heterogêneas oscilatórias ou instáveis.

3.1 Modelo 1

Nesse primeiro modelo, os casos em que o raio 𝜖 = 0,2 foram todos homogêneos, assim como quando 𝜖 = 0,4 e 𝑁𝑜𝑡 = 0,5 ou 1,2 , uma vez que a variação na densidade na distribuição espacial final é menor do que . Nos casos em que o raio 𝜖 = 0,4 e a densidade ótima 𝑁𝑜𝑡 = 1,0 ou 𝜖 = 0,6 e 𝑁𝑜𝑡 = 1,2, ou seja, quando , temos alguns sítios isolados com alta densidade.

Nos demais casos, quando a densidade ótima desejada não é igual a média da população (0,5) e k1 < 0,5 < k2, são obtidos padrões heterogêneos estáveis na forma de labirinto ou de hotspots, com vários sítios com densidades altas e baixas.

Figura 3 – Simulação do modelo I com vizinhança de Von Neumann e β = 5

Fonte: Autores (2020)

3.2 Modelo 2

Para esse segundo modelo, temos novamente padrões com hotspots e na forma de labirinto, mas é possível notar que os padrões formados são bem mais extensos e conectados, como se nota especialmente quando Not = 0,7. No que se refere a estabilidade, foram encontrados diversos resultados diferentes.

Para densidade ótima 𝑁𝑜𝑡 = 0,5, as distribuições espaciais são homogêneas. Para 𝑁𝑜𝑡 = 0,7 e 𝜖 = 0,2 e 𝑁𝑜𝑡 = 1,0 e 𝜖 = 0,6, a distribuição resultante é heterogênea oscilatória, oscilando com um período definido. Quando 𝑘1 ≥ 0,6, ou seja, quando 𝑁𝑜𝑡 =1,0 e 𝜖 ≤ 0,4 ou 𝑁𝑜𝑡 = 1,2 e 𝜖 ≤ 0,6, são obtidas distribuições instáveis, que oscilam sem nenhuma regularidade. Nos demais casos, os padrões são heterogêneos estáveis. Na Figura 5, é apresentada a variação em um sítio em uma distribuição heterogênea oscilatória e em uma distribuição instável.

Figura 4 – Simulação do modelo II com vizinhança de Von Neumann e β = 5

Fonte: Autores (2020)

Figura 5 – Densidade em um sítio para (a) Not = 0,7 e ϵ = 0,2 e (b) Not = 1,2 e ϵ = 0,4

Fonte: Autores (2020)

4 Conclusões

Foram formulados dois modelos de redes de mapas acoplados com movimentação dependente da densidade para descrever mecanismos de agregação de indivíduos, considerando uma preferência por locais com densidades intermediárias.

Com o primeiro modelo, ao considerar apenas uma percepção local, foram obtidos padrões pouco conectados, formados principalmente por hotspots. Ao assumir a capacidade dos indivíduos de observar as condições nos sítios vizinhos, no modelo II, foram obtidos mais padrões na forma de labirinto e com algumas ramificações, apresentando um processo de agregação mais intenso do que no modelo inicial. Observou-se ainda uma forte relação entre os valores de k1 e k2 com a estabilidade da distribuição espacial final.

Dessa forma, pode-se concluir que ambos os modelos conseguiram representar mecanismos de agregação e de formação de padrões, cada um com as suas singularidades e limitações.

Referências

Comins, H. N., Hassell, M. P., May, R. M. (1992). The spatial dynamics of host-parasitoid systems. Journal of Animal Ecology, pp. 735–748.

Liu, Q. X., Doelman, A., Rottschäfer, V., Jager, M., Herman, h. e. p. e. e. d. h. M. J., Rietkerk, M., van de Koppel, J. (2016). Phase separation driven by density-dependent movement: a novel mechanism for ecological patterns. Physics of life reviews, 19, 107–121.

Turchin, P. (1989). Population consequences of aggregative movement. Journal of Animal Ecology, 58, 75–100.

CONTRIBUIÇÃO DE AUTORIA

1 – Marcelo Cargnelutti Rossato

Conceituação, Software, Escrita – revisão e edição

2 – Luiz Alberto Díaz Rodrigues

Conceituação, Supervisão, Escrita – revisão e edição

3 – Diomar Cristina Mistro

Conceituação, Supervisão, Escrita – revisão e edição

Como citar este artigo

ROSSATO, M. C. Padrões espaciais de agregação populacional em modelos discretos. Ciência e Natura, Santa Maria, v. 43, Ed. Esp. X ERMAC, e13, p.1-11, 2021. DOI 10.5902/2179460X66992. Disponível em: https://doi.org/10.5902/2179460X66992. Acesso em: 5 nov. 2021.