Universidade Federal de Santa Maria

Ci. e Nat., Santa Maria, v. 43, Ed. Esp. X ERMAC RS, e8, 2021

DOI: 10.5902/2179460X66984

ISSN 2179460X

Recebido: 30/07/2021 • Aceito: 29/09/2021 • Publicado: 05/11/2021

Análise comparativa do desempenho numérico de técnicas de inversão da transformada de Laplace aproximada por série de Fourier

Comparative analysis of the numerical performance of Laplace transform inversion techniques approximated by Fourier series

Juciara Alves FerreiraI

Bárbara Denicol do Amaral RodriguezII

João Francisco Prolo FilhoIII

I Mestranda em Modelagem Computacional, Universidade Federal do Rio Grande, Rio Grande, RS, Brasil

https://orcid.org/0000-0002-3883-6917 – juciarappgmc@gmail.com

II Doutora em Engenharia Mecânica, Universidade Federal do Rio Grande, Rio Grande, RS, Brasil

https://orcid.org/0000-0001-8211-6418 – barbararodriguez@furg.br

III Doutor em Matemática Aplicada, Universidade Federal do Rio Grande, Rio Grande, RS, Brasil

https://orcid.org/0000-0002-5804-487X – joaoprolo@furg.br

RESUMO

Neste trabalho, um estudo comparativo entre três métodos numéricos para inversão da transformada de Laplace baseados na expansão por Série de Fourier é apresentado. No processo, analisou-se o desempenho dos métodos propostos por Dubner e Abate (1968), Durbin (1973) e Simon et al. (1972). Estes três métodos foram testados em um conjunto de funções elementares distintas, e o seu desempenho quanto à precisão e esforço computacional foi checado. Em um estudo preliminar, baseado nos resultados alcançados, pode-se concluir que os três métodos são capazes de inverter numericamente a transformada de Laplace para as classes de funções selecionadas.

Palavras-chave: Transformada de Laplace; Série de Fourier; Inversão numérica

ABSTRACT

In this work, a comparative study between three numerical methods for Laplace transform inversion based on Fourier series expansion is presented. In the process, the performance of the methods proposed by Dubner e Abate (1968), Durbin (1973) and Simon et al. (1972) was analyzed. These three methods were tested on a set of distinct elementary functions, and their performance in terms of precision and computational effort was checked. In a preliminary study, based on the results achieved, it can be concluded that the three methods are capable to invert numerically the Laplace transform for these classes of selected functions.

Keywords: Laplace transform; Fourier Series; Numerical inversion

1 INTRODUÇÃO

Quando se busca a resolução de equações diferenciais (ED’s), de problemas de valor inicial (PVI’s) ou problemas de valor no contorno (PVC’s), a transformada de Laplace (TL) surge como uma importante ferramenta para o seu tratamento. Esta técnica tem sido empregada na resolução de problemas em diferentes campos da ciência e tecnologia: Teoria de Controle, onde o conhecimento de uma função transferência do sistema é essencial (Stroud e Booth, 2003); na Química, pelo estudo dos fenômenos de difusão: como a difusão das moléculas de perfume no ar ou através do processo de descarga de baterias (Fransozi, 2015); na Física, através do estudo de fenômenos de transporte de partículas neutras em geometria cartesiana unidimensional (do Amaral, 2016); na dispersão de poluentes em meios porosos, com a resolução do problema de transporte de soluto (Pilatti, 2019); ou ainda, no tratamento do problema de condução de calor em regime transiente (Ferreira et al., 2021).

Resolver uma ED por transformada de Laplace consiste basicamente em, utilizando um operador integral, converter o problema original em um outro subsidiário, de resolução mais simples no espaço de Laplace. Por fim, para a obtenção da solução do problema original no espaço real, a reversão dessa transformada precisa ser feita. No entanto, nesta etapa de inversão analítica, dependendo do formato das expressões obtidas, uma série de dificuldades pode surgir. Nestes casos, a aplicação de métodos para o cálculo da transformada inversa numérica de Laplace tem ganho destaque, a julgar pela abundância de algoritmos disponíveis na literatura (Pilatti, 2019).

A não existência de uma técnica “universal”, capaz de lidar com todas as classes de soluções existentes (ou, pelo com a maioria delas), tem justificado o investimento em pesquisas de novos métodos. Usando critérios como, por exemplo, precisão numérica e tempo de processamento, a literatura confirma que, até o momento, não há um método superior em todos os aspectos, para todas as classes de funções (Pilatti, 2019).

A metodologia padrão de teste dos métodos para inversão numérica da TL tem sido empregá-los em funções transformadas cujas inversas exatas são conhecidas (Duffy, 1993), e aspectos computacionais são observados para avaliação de performance. Estes estudos, possibilitam uma escolha racional do método a ser utilizado para cada caso, em especial quando se conhece a forma da solução procurada (Pilatti, 2019). Além disso, conforme Davies e Martin (1979), há muitos problemas para os quais inverter numericamente a transformada de Laplace requer ou pode ser facilitado pelo uso de um algoritmo específico.

Neste sentido, partindo do pressuposto que o emprego da TL pode favorecer o desenvolvimento/surgimento de novas pesquisas quanto a sua capacidade em solucionar problemas que advém dos ramos da física e engenharia, este trabalho apresenta uma análise comparativa entre três métodos de inversão numérica da transformada de Laplace, através de expansões por Séries de Fourier: os métodos propostos por Dubner e Abate (1968), Durbin (1973) e Simon et al. (1972), designados neste trabalho, respectivamente, por Fourier Real, Fourier Complexo e Fourier Rápido. A análise levará em consideração a precisão numérica e o esforço computacional destes algoritmos na inversão de um conjunto de funções teste de acordo com a variação dos parâmetros livres empregados ao longo do processo.

Usando compiladores de livre distribuição, os códigos foram implementados em linguagem Fortran 95, contribuindo para realização de operações com velocidade e precisão. Para alcançar os objetivos propostos, este artigo está organizado da seguinte forma: na seção dois são apresentados os algoritmos de inversão numérica da transformada de Laplace utilizando as expansões por Série de Fourier, na seção três, os resultados obtidos para a inversão de um conjunto de funções teste e, na seção quatro, algumas considerações finais são feitas segundo os resultados obtidos.

2 Métodos para a Inversão Numérica da Transformada de Laplace por Série de Fourier

Existem por volta de 40 métodos baseados na aproximação da transformada inversa de Laplace por Séries de Fourier (Abate e Valkó, 2004). Tal abordagem foi primeiramente proposta por Dubner e Abate (1968), ao desenvolverem um método de inversão numérica da transformada de Laplace em termos da Série de Fourier através de funções cossenos. O método, apesar de eficiente, apresentou restrições quanto ao domínio limitado e crescimento exponencial do erro com o valor temporal utilizado na análise. Com o objetivo de contornar o problema de lenta convergência, Simon et al. (1972) modificaram a versão do algoritmo de Dubner e Abate (1968) utilizando uma transformação de Euler, aumentando significativamente a velocidade de convergência da série e melhorando as aproximações da inversão numérica da transformada de Laplace.

Durbin (1973) também propôs uma forma alternativa ao adicionar à expressão de Dubner e Abate (1968) a Série de Fourier em termos de funções seno, eliminando o fator do erro que crescia exponencialmente com o tempo. O método melhorado, proposto por Durbin, expandiu consideravelmente o domínio da variável independente no plano físico. A partir do método de Dubner e Abate (1968), outros foram desenvolvidos, entre eles o proposto por Crump (1976), que aproxima a função inversa através de uma Série de Fourier em termos de funções cosseno aliada a algoritmos para aceleração da convergência: o algoritmo épsilon (Wynn, 1967) e o proposto por Hoog e Strokes (Hoog et al., 1982).

A seguir, é apresentada a fundamentação teórica acerca dos métodos: Fourier Real (Dubner e Abate, 1968), Fourier Complexo (Durbin, 1973) e Fourier Rápido (Simon et al., 1972).

2.1 Fourier Real

Segundo Cohen (2007), o método de inversão numérica da transformada de Laplace, proposto por Dubner e Abate (1968), relaciona a integral de Fourier à transformada de Fourier em termos de funções cosseno.

Seja ℎ: ℝ → ℝ uma função real, tal que ℎ(𝑡) = 0 para 𝑡 < 0. A partir da função ℎ(𝑡), definem-se as funções periódicas pares 𝑔𝑛(𝑡) de período 2𝑇, conforme a Figura 1, para cada 𝑛 = 0,1,2,3 … como:

(1)

Figura 1 – Funções ℎ(𝑡) e 𝑔(𝑡) (Cohen, 2007)

Fonte: Autores (2021)

Para obter uma representação em Série de Fourier para cada 𝑔𝑛(𝑡), reescreve-se a equação (1) para redefinir as funções 𝑔𝑛(𝑡) no intervalo (−𝑇, 𝑇). Assim, tem-se

(2)

para cada 𝑛 = 0,2,4, … e

(3)

para cada 𝑛 = 1,3,5, ….

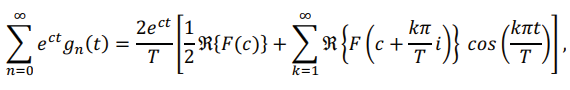
Logo, a representação de Fourier em termos de funções cosseno, para cada 𝑔𝑛(𝑡) com 𝑛 = 0,1,2, … é dada por

(4)

onde os coeficientes 𝐴𝑛,𝑘 são expressos como

(5)

e

(6)

Realizando-se a mudança de variável nas equações (5) e (6), obtém-se

(7)

Na sequência, substituindo as equações (5) e (6) na equação (4), e somando para todo 𝑛 tem-se

(8)

onde

(9)

é uma transformada de Fourier cosseno.

Introduzindo o fator de atenuação

ℎ(𝑡) = 𝑒−𝑐𝑡𝑓(𝑡),

(10)

nota-se que 𝐴(𝜔𝑘) é a representação da transformada de Laplace de uma função real 𝑓(𝑡) com a variável de transformação fazendo com que 𝐴(𝜔𝑘) represente a parte real de 𝐹(𝑠). Portanto, da equação (8) tem-se

(11)

onde ambos os lados da equação (11) são multiplicados pelo fator de atenuação 𝑒𝑐𝑡

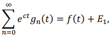
Por outro lado, a partir das equações (2) e (3), obtém-se

(12)

onde, separando adequadamente os termos, escreve-se

(13)

com o erro 𝐸1 definido como

(14)

Dubner e Abate (1968) mostraram que 𝐸1 pode ser feito suficientemente pequeno apenas para 𝑡 ≤ 𝑇/2. Além disso, concluíram que no intervalo (0, 𝑇/2) a aproximação da transformada inversa de Laplace pode ser obtida com o grau de exatidão desejado através da fórmula

(15)

onde 𝑇 = 4𝑡 é o período de tempo, ℜ[𝐹(𝑠)] representa a parte real da função transformada e 𝑐 é um parâmetro livre.

2.2 Fourier Complexo

O método Fourier Complexo, também conhecido na literatura por método de Crump (Crump, 1976), é uma modificação do algoritmo proposto por Dubner e Abate (1968), que apresenta como vantagens o limite do erro ser independe da variável 𝑡 (diferente do crescimento exponencial em 𝑡 observado no método Fourier Real, apresentado na subseção 2.1) e a expansão em termos de 𝐹(𝑠) ser válida para todo o período 2𝑇 da série.

O método modificado por Crump (1976) é definido como,

(16)

Note que este método considera não só a Série de Fourier em termos de funções cossenos, mas também em termos de funções senos. Uma vez que o método propõe considerar também a parte imaginária da função transformada, ℑ[𝐹(𝑠)] espera-se que o erro cometido nesta aproximação seja menor do que o encontrado segundo o método Fourier Real, proposto por Dubner e Abate (1968).

2.3 Fourier Rápido

Simon et al. (1972) fizeram uma modificação do método proposto por Dubner e Abate (1968) para a inversão numérica da transformada de Laplace na expectativa de acelerar a convergência do método. Utilizando e expandindo o somatório da equação (15) chegou-se na expressão

(17)

3 análise e resultados

Esta seção é dedicada à discussão dos resultados numéricos obtidos pela inversão numérica da transformada de Laplace utilizando os métodos baseados em aproximações por Séries de Fourier. Para a realização dos teste e análise dos métodos foram escolhidas três funções teste elementares, apresentadas na Tabela 1.

Tabela 1 – Funções e suas inversas

Os resultados foram organizados na forma de figuras e tabelas. Nas Tabelas 2 – 16 são apresentados os erros absolutos obtidos no emprego dos três métodos de inversão no conjunto de funções teste elementares. Explorou-se o parâmetro 𝑁, atribuindo os valores 𝑁 = 20, 𝑁 = 50 𝑒 𝑁 = 100, com o objetivo de avaliar sua influência sob o ponto de vista precisão numérica no processo de inversão. Também levou-se em conta a influência do parâmetro 𝑎, a fim de representar certos efeitos nas funções, e do parâmetro 𝑡, na expectativa de observar possíveis influências da posição em relação ao período 𝑇. As Figuras 2 – 6 mostram um comparativo entre os melhores resultados numéricos e a transformada inversa obtida analiticamente, para cada um dos métodos propostos, considerando-se 𝑁 = 100.

3.1 Inversão para 𝑭𝟏(𝒔)

Para a inversão de 𝐹1(𝑠), além dos valores de 𝑁 elencados, utilizou-se os valores dos coeficientes 𝑎 = 0,5 e 𝑎 = 2, a fim de verificar se as técnicas são capazes de inverter satisfatoriamente transformadas de funções com taxas de decrescimento distintas. Isso indicaria, por exemplo, se os métodos mantêm sua eficiência no tratamento de funções de mesma classe.

As Tabelas 2 – 4 apresentam os erros absolutos obtidos na comparação entre os resultados numéricos e analítico gerados na inversão de 𝐹1(𝑠) usando 𝑎 = 0,5 e diferentes valores de 𝑁. Já as Tabelas 5 – 7 estão relacionadas ao emprego do coeficiente 𝑎 = 2. Nas Figuras 2 e 3, faz-se o comparativo entre a solução numérica e a analítica para 𝐹1(𝑠), 𝑁 = 100, 𝑎 = 0,5 e 𝑎 = 2, respectivamente.

Tabela 2 – Erro absoluto da inversão para 𝐹1(𝑠), com 𝑎 = 0,5 e 𝑁 = 20

Tabela 3 – Erro absoluto da inversão para 𝐹1(𝑠), com 𝑎 = 0,5 e 𝑁 = 50

Tabela 4 – Erro absoluto da inversão para 𝐹1(𝑠), com 𝑎 = 0,5 e 𝑁 = 100

Figura 2 – Comparação dos métodos para inversão de 𝐹1(𝑠), com 𝑎 = 0,5 e 𝑁 = 100

Fonte: Autores (2021)

Tabela 5 – Erro absoluto da inversão para 𝐹1(𝑠), com 𝑎 = 2 e 𝑁 = 20

Tabela 6 – Erro absoluto da inversão para 𝐹1(𝑠), com 𝑎 = 2 e 𝑁 = 50

Tabela 7 – Erro absoluto da inversão para 𝐹1(𝑠), com 𝑎 = 2 e 𝑁 = 100

Figura 3 – Comparação dos métodos para inversão de 𝐹1(𝑠), com 𝑎 = 2 e 𝑁 = 100

Fonte: Autores (2021)

3.2 Inversão de 𝑭𝟐 (𝒔)

Para a inversão de 𝐹2(𝑠), foram utilizados os mesmos valores de 𝑁 (20, 50 e 100) para análise de convergência, e escolheu-se os coeficientes 𝑎 = 0,5 e 𝑎 = 2, a fim de verificar se as técnicas são capazes de inverter satisfatoriamente transformadas de funções com padrão oscilatório distinto. Essa verificação auxiliará na avaliação da eficiência dos métodos no tratamento de funções desta classe.

Os erros absolutos obtidos na comparação dos resultados gerados para 𝐹2(𝑠), usando 𝑎 = 0,5 e diferentes valores de 𝑁, podem ser vistos nas Tabelas 8 – 10.

As Tabelas 11 – 13 correspondem ao cálculo dos erros absolutos para o coeficiente 𝑎 = 2. Os comparativos entre as soluções analítica e numéricas para 𝐹2(𝑠), com 𝑁 = 100, usando 𝑎 = 0,5 e 𝑎 = 2 podem ser vistos, respectivamente, nas Figuras 4 e 5.

Tabela 8 – Erro absoluto da inversão para , com e

3.3 Inversão de 𝑭𝟑(𝒔)

Para esta função, analisou-se os erros absolutos apenas considerando os parâmetro 𝑁 (20, 50 e 100) e 𝑡, registrados nas Tabelas 14 – 16. O objetivo foi verificar se os métodos seriam capazes de reproduzir numericamente os efeitos de uma transformada inversa que resultasse no produto de funções exponencial e seno.

Ainda, na Figura 6, o comportamento da função analítica pode ser comparado com os resultados obtidos pelos três métodos numéricos neste trabalho analisados.

3.4 Discussão dos Resultados

Em uma análise inicial, as três técnicas de inversão da TL baseadas nas aproximações por Séries de Fourier produziram bons resultados, com perfis comparáveis ao perfil analítico, e erros absolutos relativamente baixos. Nesse sentido, estabeleceu-se como critério a influência dos parâmetros 𝑁, 𝑎 e 𝑡 no erro absoluto Eabs obtido.

Sob o ponto de vista da precisão numérica, considerando que as simulações realizadas com 𝑁 = 100 produzem os melhores resultados, utilizou-se como critério de escolha do melhor método, para cada função teste, o cálculo do erro absoluto médio 𝐸̅𝑎𝑏𝑠, equacionado por

(18)

Tabela 9 – Erro absoluto da inversão para 𝐹2(𝑠), com 𝑎 = 0,5 e 𝑁 = 50

Tabela 10 – Erro absoluto da inversão para 𝐹2(𝑠), com 𝑎 = 0,5 e 𝑁 = 100

Figura 4 – Comparação entre os métodos para inversão de 𝐹2(𝑠), com 𝑎 = 0,5 e 𝑁 = 100

Fonte: Autores (2021)

Tabela 11 – Erro absoluto da inversão para 𝐹2(𝑠), com 𝑎 = 2 e 𝑁 = 20

Tabela 12 – Erro absoluto da inversão para 𝐹2(𝑠), com 𝑎 = 2 e 𝑁 = 50

Tabela 13 – Erro absoluto da inversão para 𝐹2(𝑠), com 𝑎 = 2 e 𝑁 = 100

Figura 5 – Comparação entre os métodos para inversão de 𝐹2(𝑠), com 𝑎 = 2 e 𝑁 = 100

Fonte: Autores (2021)

Tabela 14 – Erro absoluto da inversão para 𝐹3(𝑠) e 𝑁 = 20

Tabela 15 – Erro absoluto da inversão para 𝐹3(𝑠) e 𝑁 = 50

Tabela 16 – Erro absoluto da inversão para 𝐹3(𝑠) e 𝑁 = 100

Figura 6 – Comparação entre os métodos para inversão de 𝐹3(𝑠), e 𝑁 = 100

Fonte: Autores (2021)

onde 𝑁𝑡 representa o número de valores de 𝑡 em que o erro foi medido e 𝐸𝑎𝑏𝑠 representa o valor do erro absoluto em cada um desses pontos 𝑡.

A partir da aplicação da equação (18), produziu-se a Tabela 17, na qual foi possível concluir que para as funções testes escolhidas, o melhor desempenho foi obtido pelo método de Fourier Rápido, fornecendo resultados com um 𝐸̅𝑎𝑏𝑠 de ordem de 10−3 ou 10-4, dependendo da função ou parâmetros utilizados.

Tabela 17 – Mapeamento dos melhores resultados para todas as funções teste usando 𝑁 = 100

Em relação a inversão da função 𝐹1(𝑠), na análise dos parâmetros, os três métodos mostraram maior dificuldade de convergência nos primeiros instantes de 𝑡, independente do valor de 𝑎 e de 𝑁. A convergência mostrou-se mais rápida para o maior valor de 𝑎, independentemente do método e do valor de 𝑁, para todos os instantes 𝑡. Isso sugere que estes métodos apresentam maior dificuldade em representar numericamente funções com decrescimento exponencial mais lento, em especial para os menores valores de 𝑡. Ainda, para esta função, ao observar as Figuras 2 e 3, o método com comportamento menos satisfatório no processo de inversão é o Fourier Complexo, dadas as perturbações ou descompasso com a solução analítica encontradas nos primeiros instantes de 𝑡.

Para a inversão das funções 𝐹2(𝑠) e 𝐹3(𝑠), os métodos de Fourier Real e Complexo também demonstraram dificuldade de convergência nos primeiros instantes de 𝑡, enquanto que o método de Fourier Rápido convergiu mais lentamente nos últimos instantes de 𝑡. Particularmente, no caso da função 𝐹2(𝑠), quando analisado o parâmetro 𝑎, os três métodos mostraram uma convergência sensivelmente mais rápida para 𝑎 = 0,5. Isto indica que estes métodos conseguem tratar melhor as funções com menor frequência oscilatória.

Em se tratando da inversão numérica da função 𝐹3(𝑠), apesar de ser definida como um produto entre funções exponencial e seno, a convergência pelo método de Fourier Rápido parece ocorrer de forma mais rápida em relação aos outros métodos, atingindo erros absolutos médios da ordem de 10-4, já com 𝑁 = 50.

É importante ressaltar que a implementação dos algoritmos para os três métodos, por não necessitar de ferramentas matriciais e não utilizar esquemas iterativos, são de fácil execução e geram perfis inteiros a um custo computacional muito baixo. Destaca-se, ainda, que resultados melhores podem ser obtidos, independentemente do método desejado, apenas aumentando o valor do parâmetro .

4 CONCLUSÕES

De um modo geral, as três técnicas de inversão numérica da TL apresentadas aqui mostraram um bom desempenho na obtenção de perfis comparáveis com as expressões analíticas das funções testes escolhidas. Entre os métodos, o de Fourier Rápido ganhou destaque pela sua regularidade, rapidez na execução e por fornecer resultados com um Erro Absoluto Médio (𝐸̅𝑎𝑏𝑠) na faixa de a dependendo das funções e parâmetros envolvidos.

Durante as simulações, a precisão numérica demonstrou ter uma dependência mais forte do número de termos usados nas séries do que dos valores dos demais parâmetros propriamente ditos. A expectativa de que o desempenho dos métodos, quando aplicados em funções oscilatórias/periódicas (𝐹2(𝑠) e 𝐹3(𝑠)), fosse melhor do que quando usados em funções não-oscilatórias (𝐹1(𝑠)) não se confirmou. O mesmo ocorreu com a crença de que o método Fourier Complexo, por não descartar a parte imaginária das expressões, forneceria melhores resultados.

Apesar das expansões por séries de Fourier empregadas serem de simples implementação e rápida execução, o número de termos nos somatórios necessários para obtenção de bons resultados foi considerado grande em relação a outras técnicas já estudadas (Pilatti, 2019), (Pillati et al., 2019).

Cabe enfatizar que, ao invés de apontar qual o melhor método para inversão numérica da TL, este trabalho tem o interesse de apresentar recomendações ao emprego dos métodos, discutindo as particularidades de cada formulação e as características das classes de funções em que se pretende aplicá-los. Ainda, espera-se que os testes apresentados, aqui, possam servir de base para a aplicação destas técnicas na inversão de outras funções de mesmas classes, cujas transformadas inversas não possam ser determinadas analiticamente ou sejam de difícil obtenção.

Diante do exposto, entende-se que os objetivos do trabalho foram alcançados, visto que foi possível explorar o emprego de três métodos, baseados em expansões da Série de Fourier, aplicados a funções testes com características distintas (exponencial, oscilatória/periódica). Além disso, resultados compatíveis com a formulação analítica foram obtidos, a influência dos parâmetros envolvidos foi estudada, sendo possível, inclusive, a indicação de um algoritmo mais adequado para a inversão destas classes de funções.

Como proposta de trabalho futuro pretende-se: verificar a performance dos métodos estudados neste trabalho quando empregados em problemas aplicados, cujas soluções apresentam as mesmas características das funções teste; realizar o estudo de outros algoritmos dedicados a inversão numérica da TL; aumentar a abrangência de classes do conjunto de funções elementares para o teste dos métodos investigados pelo grupo.

Referências

ABATE, J., VALKÓ, P. P. (2004). Multi-precision Laplace transform inversion. International Journal for Numerical Methods in Engineering, 60, 979–993.

AMARAL, G. C. M. (2016). Análise comparativa do desempenho numérico de técnicas de inversão da transformada de Laplace. Dissertação (Mestrado), Universidade Federal do Rio Grande, Rio Grande, Programa de Pós-Graduação em Modelagem Computacional.

COHEN, A. M. (2007). Numerical methods for Laplace transform inversion. Springer Science+Business Media, LLC, New York.

CRUMP, K. S. (1976). Numerical inversion of the Laplace transform using a Fourier series approximation. Journal ACM, 23(1), 89 – 96.

DAVIES, B., MARTIN, B. (1979). Numerical inversion of the Laplace transform: a survey and comparison of methods. Journal of Computacional Physics, 33, 1 – 32.

DUBNER, H., ABATE, J. (1968). Numerical inversion of Laplace transform by relating them to the finite Fourier cosine transform. Journal ACM, 15, 115 – 123.

DUFFY, D. G. (1993). On the numerical inversion of Laplace transform: comparison of three new methods on characteristic problems from applications. Transactions on Mathematical Software, 19, 333–359.

DURBIN, F. (1973). Numerical inversion of Laplace transforms: an efficient improvement to Dubner and Abate’s method. The Computer Journal, 17(14), 371 – 376.

FERREIRA, J., CALIXTO, G. R. L., KONFLANZ, E., DO AMARAL RODRIGUEZ, B. D., FILHO, J. F. P. (2021). Aspectos computacionais da inversão numérica da transformada de Laplace aplicada a um problema de transporte. Revista Interdisciplinar de Pesquisa em Engenharia, 1, 1–18.

FRANSOZI, L. (2015). Modelagem matemática do tempo de vida de baterias de Lítio íon polímero através de modelos híbridos. Dissertação (Mestrado), Universidade Regional do Noroeste do Estado do Rio Grande do Sul, Ijuí, Departamento de Ciências Exatas e Engenharias.

HOOG, F. R. D., KNIGHT, J. H., STOKES, A. N. (1982). An Improved Method for Numerical Inversion of Laplace Transforms. SIAM Journal on Scientific and Statistical Computing, 3(3), 357 – 366.

PILATTI, C. (2019). Análise comparativa do desempenho numérico de técnicas de inversão da transformada de Laplace aplicados a um problema de transporte de soluto em um meio poroso. Dissertação (Mestrado), Universidade Federal do Rio Grande, Rio Grande, Programa de Pós-Graduação em Modelagem Computacional.

PILLATI, C., DO AMARAL RODRIGUEZ, B. D., FILHO, J. F. P. (2019). Performance analysis of Stehfest and power series expansion methods for solution to diffusive and advective transport problems. Defect and Diffusion Forum, 396, 99 – 108.

SIMON, R. M., STROOT, M. T., WEISS, G. H. (1972). Numerical inversion of Laplace transform with application to percetage labeled mitoses experiments. Computers and Biomedical Research, 5, 596 – 607.

STROUD, K., BOOTH, D. J. (2003). Advanced Engineering Mathematics, 4º edn. Palgrave Macmilan, New York.

WYNN, P. (1967). Transformations to accelerate the convergence of Fourier series. Em: Gertrude Blanch Anniversary Volume, pp. 333 – 379.

CONTRIBUIÇÃO DE AUTORIA

1 – Juciara Alves Ferreira

Validação| Visualização [de dados (infográfico, fluxograma, tabela, gráfico)] | Escrita – primeira redação.

2 – Bárbara Denicol do Amaral Rodriguez

Conceituação | Análise Formal | Metodologia | Escrita – revisão e edição.

3 – João Francisco Prolo Filho

Conceituação | Análise Formal | Validação| Visualização [de dados (infográfico, fluxograma, tabela, gráfico)] | Escrita – revisão e edição.

Como citar este artigo

Ferreira, J.A.; Rodriguez, B.D.A.; Prolo Filho, J.F. Análise Comparativa do Desempenho Numérico de Técnicas de Inversão da Transformada de Laplace aproximada por Série de Fourier. Ciência e Natura, Santa Maria, v. 43, Ed. Esp. X ERMAC RS, e8, p. 1-26, 2021. DOI 10.5902/2179460X66984. Disponível em: https://doi.org/10.5902/2179460X66984. Acesso em: 5 nov. 2021.