Universidade Federal de Santa Maria

Ci. e Nat., Santa Maria, v. 43, Ed. Esp. UFV, e14, 2021

DOI: 10.5902/2179460X66842

ISSN 2179460X

Recebido: 22/07/2021 • Aceito: 29/09/2021 • Publicado: 05/11/2021

Simulação numérica de chamas difusivas de hidrogênio através das equações de Navier-Stokes

Numerical simulation of diffusion flames of hydrogen using Navier-Stokes equations

Evanildo Franco de JesusI

Régis Sperotto de QuadrosII

Daniela BuskeIII

I Mestre em Modelagem Matemática, Universidade Federal de Pelotas,Pelotas, RS, Brasil

http://orcid.org/0000-0002-0619-5377 – evanildofj@yahoo.com.br

II Doutor em Matemática Aplicada, Universidade Federal de Pelotas,Pelotas, RS, Brasil

https://orcid.org/0000-0002-9720-8013 – quadros99@gmail.com.br

III Doutora em Engenharia Mecânica, Universidade Federal de Pelotas,Pelotas, RS, Brasil

https://orcid.org/0000-0002-4573-9787 – danielabuske@gmail.com

RESUMO

A procura por novas fontes de combustíveis alternativos, para substituir o uso de combustíveis fósseis e diminuir a emissão de gases, tem aumentado nos últimos anos. O hidrogênio tem se tornado cada vez mais um combustível alternativo interessante, pois não produz gás de efeito estufa CO2 e oferece potencial de redução de poluentes NOX e pode aumentar a economia de combustível quando usado em misturas de hidrocarbonetos. Neste trabalho foi realizado a simulação numérica para chamas difusivas de hidrogênio no interior de uma câmara de combustão no formato retangular. Portanto, foram aplicadas as equações reativas de Navier-Stokes, fração de mistura para o fluxo e para a parte química o método Flamelet. Para a modelagem da turbulência, foram usados a técnica conhecida como simulação em grandes escalas (LES), e o método de diferenças finitas para discretizar as equações. Também foram realizadas simplificações e adimensionalizações nos termos das equações com a finalidade de diminuir a complexidade do problema. Os resultados numéricos obtidos foram comparados com dados encontrados na literatura, estão em concordância com estes.

Palavras-chave: Hidrogênio; Chamas Difusivas; Mecanismo Reduzido; Simulação Numérica

ABSTRACT

The demand for new sources of alternative fuels, to replace the use of fossil fuels and reduce gas emissions, has increased in recent years. Hydrogen has increasingly become an interesting alternative fuel as it does not produce greenhouse gas CO2 and can increase fuel economy when used in hydrocarbon mixtures. In this work, a numerical simulation was carried out for diffusion flames of hydrogen inside a rectangular burner. Therefore, Navier-Stokes reactive equations were applied, mixture fraction for the flow and for the chemical part the flamelet method. For the modeling of turbulence, the known technique was used as large-eddy simulation (LES), and the finite difference method to discretize the equations. Simplifications were also carried out in terms of the equations to reduce the complexity of the problem. The numerical results obtained were compared with data found in the literature.

Keywords: Hydrogen; Diffusion Flames; Mechanism Reduced; Numerical Simulation

1 INTRODUÇÃO

Com crescente preocupação com a escassez de combustíveis fósseis, a poluição do ar e aquecimento global, o estudo de combustíveis alternativos, visando a redução das emissões de gases, tem se tornado cada vez mais essencial (Liu et al., 2012), refletindo assim o aumento no interesse na combustão do hidrogênio para produção de energia mais limpa e sem produtos de reação como o carbono (Vaz e De Bortoli, 2014).

O hidrogênio é um combustível alternativo interessante, pois não produz gás de efeito estufa CO2, oferece potencial de redução de poluentes NOX, pode aumentar a economia de combustível quando usado em misturas de hidrocarbonetos, e é praticamente ilimitado no fornecimento (Marinov et al., 1995). Em relação a outros hidrocarbonetos, o hidrogênio é mais eficiente, pois tem maior grau de calor liberado por unidade de massa durante a combustão, difusividade de massa muito rápida, baixa densidade e velocidade de chama superior em relação à combustíveis como metano, metanol, etanol, etc (Dos Santos e Dos Santos, 2005).

Processos de estudos cinéticos, mecanismos reduzidos começaram a serem estudados a fim de entender melhor como acontece a interação entre combustível e oxidante, com o intuito de compreender o fenômeno da combustão e assim contribuir para aprimorar a eficiência térmica em motores, controlar a redução das emissões de poluentes e aperfeiçoar a eficácia dos combustíveis em uso (Turns, 2013).

A combustão é um processo complexo que ocorre através de reações químicas entre combustível e oxidante. A combustão pode ser com ou sem chamas, laminar ou turbulenta, lenta ou rápida, dependendo das condições usadas e como a mistura dos reagentes ocorre (De Bortoli, 2009; Hoerlle et al., 2017).

A combustão sem chamas geralmente ocorre nos organismos dos seres vivos, e a com chamas são usadas nas indústrias, fábricas, motores, etc (Turns, 2013). Se a combustão for com chamas, esta é classificada como pré-misturada ou difusiva, de acordo como o combustível e o oxidante são misturado na zona de reação ou combustão (Peters, 1992). Têm-se chamas pré-misturadas quando combustível e oxidante são misturados antes da zona de combustão. Essas chamas são utilizadas em fornos de aquecimento por condução ou convecção de calor, fogões domésticos e motores do tipo otto (onde a combustão ocorre com ignição por centelha).

Quando os reagentes são misturados dentro da zona de combustão, as chamas são denominadas como difusivas. Nessas a difusão dos reagentes é mais lento que as reações químicas, então, a taxa de mistura entre reagentes é que controla o processo químico. Em relação as chamas pré-misturadas, as chamas difusivas são mais seguras, estáveis e melhores de controlar durante a combustão (Gaydon e Wolfhard, 1979), por isso são aplicadas para diferentes finalidades nas indústrias, como em queimadores, motores a diesel e lamparinas.

Chamas laminares ou turbulentas dependem da velocidade com que o combustível é injetado na zona de combustão (Peters, 1992). Atualmente a maior parte dos processos de combustão envolvem fluxos difusivos e turbulentos (Lorenzetti et al., 2012), no qual a turbulência provoca, como consequência no escoamento, aceleração, aumento da taxa de difusão e troca de calor.

A modelagem de problemas envolvendo combustão não é fácil, pois tem-se diversos fatores envolvidos, como reações químicas, transferência de energia, de massa das espécies químicas, de temperatura, e também, a presença da radiação, da pressão, entre outras variáveis. E para resolvê-lo é necessário utilizar um conjunto de Equações Diferenciais Parcias (EDP’s) acopladas e não-lineares (Vaz e De Bortoli, 2014), que são as equações de Navier-Stokes e as equações difusivas-convectivas para a fração de mistura e espécies químicas.

Para resolver essas equações numericamente, muitas vezes, são utilizadas simplificações e hipóteses, que desconsideram algumas variáveis contidas nos seus termos, e a adimensionalização (técnica utilizada para adimensionalizar os termos das equações e reduzir o número de parâmetros envolvidos no problema). Também, são usados algumas técnicas ou métodos numéricos, que tem como principal função de auxiliar na obtenção de análises mais eficazes da estrutura da chama e seu comportamento durante a simulação numérica do escoamento químico ou combustão.

As simulações numéricas são ferramentas importantes para o desenvolvimento de pesquisas científicas e otimizações indústriais, em que são empregadas técnicas numéricas comuns como a DNS (Direct Numerical Simulation), LES (Large Eddy Simulation) e RANS (Reynolds Averaged Navier-Stokes), com a finalidade de tratar a turbulência. Por isso, na simulação numérica da combustão, as escalas de tempo e comprimento devem ser consideradas para se obter uma solução apropriada do processo (Vaz e De Bortoli, 2014).

A técnica DNS exige um custo computacional muito grande, pois a malha do domínio deve ser refinada o suficiente para obter a solução do problema em relação as pequenas escalas do fluxo e a estrutura interna das chamas (De Bortoli et al., 2015). A técnica RANS determina uma solução para as equações de Navier-Stokes, na qual as variáveis dependentes dessas equações são decompostas em uma componente média mais uma parte flutuante, onde apenas as variáveis médias são resolvidas (Law, 2006). Como restrição esta técnica não pode ser empregada para análise de estruturas mais finas, pois resolve apenas a média da equações de balanço instantâneas, levando a resultados poucos precisos para estes casos.

A técnica LES é um método intermediário entre DNS e RANS que consiste em separar as grandes escalas das menores por meio do processo de filtragem espacial ou temporal das equações de Navier-Stokes. Na qual as maiores estruturas são resolvidas pela filtragem das equações, e as pequenas estruturas são modeladas fisicamente (Poinsot e Veynante, 2001). Como as grandes escalas são resolvidas diretamente e as pequenas modeladas, os erros obtidos são menores, devido a transferência de energia ocorrer das grandes para as pequenas escalas (Corrêa et al., 2018).

Entender os princípios que regem os processos de combustão é importante para obter avanços tecnológicos em processos industriais, para minimizar a formação de subprodutos e poluentes decorrentes de processos químicos. Para desenvolver combustíveis com mais qualidade, melhorar a eficiência térmica em motores, oferecer mais segurança e prevenção em plataformas e fábricas que trabalham com produtos inflamáveis.

Neste trabalho apresenta-se os resultados da simulação numérica de chamas difusivas de hidrogênio no interior de uma câmara de combustão no formato retangular. Onde são utilizadas as equações reativas de Navier-Stokes e a equação da fração de mistura para o escoamento. São usadas também a técnica LES, para a modelagem da turbulência, e o método de diferenças finitas (MDF), na discretização das equações governantes. Os resultados numéricos obtidos estão de acordo com os resultados experimentais encontrados na literatura.

2 formulação do problema

Todos os escoamentos são regidos por equações básicas denominadas de equações governantes que determinam o comportamento do fluxo em relação à variáveis como velocidade, densidade, pressão, temperatura, entre outras. A modelagem da chama difusiva e turbulenta utilizada neste trabalho é descrita pela equação da quantidade de movimento 1, fração de mistura 2 e conservação da massa das espécies químicas 3, sendo todas essas descritas nesta seção.

2.1 Formulação do problema

Em muitos problemas é necessário realizar algumas simplificações nas equações governantes, desconsiderando-se algumas variáveis que não são necessárias para obter a solução. As equações apresentadas a seguir estão em sua forma simplificada. Assim as equações são:

onde 𝜌(𝐾𝑔/𝑚3) é a densidade, 𝑣𝑖(𝑚/𝑠2) é vetor velocidade, 𝑥𝑖 a coordenada cartesiana espacial, 𝑡 (𝑠) o tempo, 𝜏𝑖𝑗(𝐾𝑔/𝑚 ∙ 𝑠2) o tensor viscoso, 𝑝 (𝑃𝑎) a pressão, 𝑍 a fração de mistura, 𝐷𝑘(𝑚2/𝑠) coeficiente de difusão da espécie química 𝑘, 𝑌𝑘 a fração mássica da espécie 𝑘 e 𝜔𝑘 (𝑚𝑜𝑙/𝑚 ∙ 𝑠3) a taxa de reação da espécie.

As variações da quantidade de movimento e das forças presentes no escoamento químico são definidas pela equação da quantidade de movimento 1, na qual foram desconsiderados os efeitos das forças externas. O fluxo de combustível durante a combustão é determinado por meio da equação da fração de mistura 2, e o fluxo da massa das espécies químicas pela equação da conservação da massa 3, sendo que nessa o termo da taxa de reação é determinado como:

em que 𝜈𝑘 é o coeficiente estequiométrico da espécie, 𝑀𝑊𝑘 (𝐾𝑔/𝑚𝑜𝑙) a massa molar da espécie, A o fator de frequência, 𝐸 (𝐽/𝑚𝑜𝑙) a energia de ativação, 𝑅 (𝐽 = 𝑚𝑜𝑙 · 𝐾) é a constante dos gases e 𝑇 (𝐾) a temperatura.

2.2 Modelagem da Turbulência

A turbulência é uma propriedade do escoamento que é descrita por inúmeras características como difusão, irregularidade, rotacionalidade, tridimensionalidade, números de Reynolds elevados e multiplicidade de escalas (Schiestel, 2008). Essas escalas são classificadas em pequenas e grandes escalas.

As grandes escalas contém um nível maior de energia cinética turbulenta, também têm baixa frequência e apresentam tamanho comparáveis à dimensão característica do sistema no qual ocorre o escoamento (Peters, 2004). Nas pequenas escalas predominam as forças da viscosidade responsáveis pelos efeitos de dissipação da energia no fluido.

Para tratar a turbulência contida nos termos das equações é utilizada uma das ferramentas numéricas mais viável e promissora para simular fluxos realistas de turbulência denominada de simulação em grandes escalas (LES). Nesta, os movimentos das grandes escalas do fluxo turbulento são calculados diretamente e apenas os movimentos das pequenas escalas são modelados.

A simulação em grandes escalas consiste em separar as grandes escalas das menores pelo processo de filtragem das equações do balanço, onde as variáveis dependentes são expressas como a soma entre uma componente média e uma flutuação. No processo de filtragem normalmente são utilizadas as médias de Reynolds e de Favre para decompor uma variável dependente (Pitsch, 2006).

Considerando uma variável 𝑓, pela média de Reynolds esta é decomposta em uma parte filtrada ou média 𝑓̅ e uma flutuação 𝑓′, como:

A média de Favre é aplicada com a finalidade de separar as flutuações turbulentas do fluxo médio. Como na combustão costuma ocorrer grandes mudanças na densidade é comum introduzir uma média ponderada pela densidade 𝑓̃ e uma flutuação 𝑓".

A variável f é decomposta assim:

Empregando a média de Reynolds e Favre nas equações da quantidade de movimento (1), da fração mássica das espécies (3) e da fração de mistura (2), o conjunto dessas equações é dado por:

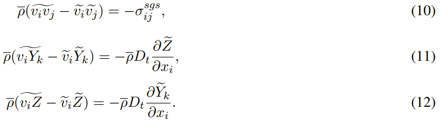
As equações anteriores precisam de modelos de fechamento para as quantidades indefinidas como o tensor de Reynolds 𝜌̅(𝑣̃𝑖𝑣̃𝑗 − 𝑣̃𝑖𝑣̃𝑗), o fluxo das espécies 𝜌̅(𝑣̃𝑖𝑌̃𝑘 − 𝑣̃𝑖𝑌̃𝑘) e mistura 𝜌̅(𝑣̃𝑖𝑍̃ − 𝑣̃𝑖𝑍̃). Esses termos são modelados usando modelos de viscosidade turbulenta (Lorenzetti et al., 2012). Assim:

sendo 𝐷𝑡 a difusividade turbulenta.

Uma das primeiras medidas a ser adotada é aplicar a hipótese de Boussinesq que expressa o tensor de Reynolds em função da viscosidade turbulenta, como segue:

sendo 𝜈𝑡 a viscosidade turbulenta e 𝑆̃𝑖𝑗 o tensor de deformação do campo filtrado, dado por:

Para modelar a viscosidade turbulenta é utilizado o modelo submalha de Smagorinsky. Este modelo tem a função de acrescentar os efeitos das pequenas escalas nas equações filtradas, sendo também um dos modelos mais usados (Corrêa et al., 2018). Portanto, a viscosidade turbulenta é determinada como:

em que 𝐶𝑠 é a constante de Smagorinsky, ∆ = 3√𝑑𝑥𝑑𝑦𝑑𝑧 é o tamanho do filtro e |𝑆̃𝑖𝑗| =√2𝑆̃𝑖𝑗𝑆̃𝑖𝑗 a norma de Frobenius. A constante de Smagorinsky depende muito do tipo de escoamento, normalmente seu valor é estabelecido entre 0,1 e 0,3 para que os resultados sejam satisfatórios (Pitsch, 2006; Lorenzetti et al., 2012).

De acordo com Peters (2004), a viscosidade dinâmica é muito menor se comparada com a viscosidade turbulenta, por isto, ela pode ser desconsiderada. Portanto as equações governantes tornam-se:

2.3 Modelo Flamelet

O modelo flamelet é aplicado na área da combustão especificamente para chamas turbulentas. Para isso, considera-se que cada elemento da superfície de uma chama difusiva envolvido pelo fluxo turbulento apresenta a estrutura e a característica de uma pequena chama laminar (Peters, 1986). Portanto, o modelo flamelet consiste em abordar uma chama turbulenta como um conjunto de pequenas chamas laminares. Isso é possível porque em chamas turbulentas, as escalas de comprimento de difusão turbulenta são maiores do que as escalas de comprimento das reações químicas. Assim o modelo flamelet permite tratar separadamente a estrutura química da chama da estrutura do fluxo turbulento.

Este modelo utiliza transformações de coordenadas em relação ao espaço e ao tempo para expressar a equação da conservação da massa das espécies químicas em função da fração de mistura, porque essa consegue descrever adequadamente a estrutura da chama na superfície.

A transformação de coordenadas é aplicada na superfície da chama na qual assume-se que a camada de consumo de combustível está em condições estequiométricas (Lorenzetti et al., 2012), sendo assim a fração de mistura é considerada estequiométrica 𝑍𝑠𝑡.

A equação flamelet é obtida considerando as transformações a seguir:

e aplicando esta na equação citada anteriormente teremos um sistema de equações baseado na fração de mistura.

A equação da conservação das espécies químicas no sistema de coordenadas da fração de mistura é dada por:

Os efeitos causados pela difusão e convecção são expressos pela taxa de dissipação escalar definida como:

2.4 Adimensionalização das equações

A escrita das equações governantes na forma adimensional ajuda na compreensão dos fundamentos dos fenômenos físicos e na identificação de forças dominantes (Fox et al., 2010), como também, diminuem as diferenças de ordem de magnitude das escalas temporais e espaciais presentes.

A adimensionalização consiste em substituir cada termo da equação por um conjunto de variáveis e constantes com as mesmas dimensões, resultando em uma equação adimensional. Portanto, as equações governantes escrita na forma adimensional ficam da seguinte forma:

onde 𝑅𝑒 é o número de Reynolds e 𝑆𝑐 o número de Schmidt, 𝑀𝑎 é o número de Mach, 𝐷𝑎 é o número de Damköhler e 𝑍𝑒 o número de Zel’dovich.

3 MODELAGEM COMPUTACIONAL

As equações deste trabalho foram discretizadas por meio do método de diferenças finitas, que usa expansões em série de Taylor para aproximar as derivadas contidas nas equações diferenciais por aproximações de diferenças finitas e a seguir obter a solução do problema para cada ponto do domínio discretizado (Fortuna, 2000).

Para isso, utilizou-se esquemas de diferenças finitas progressivas e centrais de primeira e segunda ordem, em relação a cada termo específico das equações. Para as derivadas temporais são utilizadas aproximações por diferenças progressivas de primeira ordem, definidas como:

Diferenças centrais são empregadas para os termos das derivadas espaciais de primeira ordem nas equações, assim:

Para as derivadas espaciais de segunda ordem, aproximações por diferenças centrais de segunda ordem são aplicadas, dadas por:

4 Geometria do Problema e Condições Auxiliares

Para a simulação numérica da chama difusiva de hidrogênio, considera-se a geometria da câmara de combustão apresentada na Figura 1. O sistema de combustão é constituído por uma câmara retangular de dimensões 𝐻 = 1 e 𝐿 = 11 no qual, em seu centro, na extremidade inferior, contém dois cilindros concêntricos de raio interno 0,05 e raio externo 0,075. O combustível é ejetado no cilindro de diâmetro menor e no de diâmetro maior tem-se o pilot, no qual são posicionadas pequenas chamas com a finalidade de estabilizar a chama do jato.

O uso do pilot é uma das muitas técnicas existentes para estabilizações de chamas difusivas turbulentas, pois ele ajuda a manter a chama fixada perto do bocal do injetor do combustível, evitando assim que possíveis instabilidades possam acontecer durante o processo de combustão. A corrente de combustível percorre uma distância 𝑙 = 0,5 até a saída do injetor, onde se encontra com o oxidante que é injetado na parte exterior ao pilot, ocorrendo a reação química.

As condições auxiliares utilizadas são as condições de contornos e iniciais. As condições iniciais estabelecem os valores das variáveis dependentes em um determinado instante de tempo, geralmente em 𝑡 = 0. Já as condições de contorno determinam os valores das variáveis nas fronteiras do domínio e também o fluxo da variável. Por existir diversos tipos de condições de contorno, a escolha adequada dessas é um fator determinante para se obter uma solução numérica adequada (Fortuna, 2000).

Na entrada do domínio da câmara, são empregadas condição de fronteira Dirichlet para as componentes do campo de velocidade, fração mássica, fração de mistura, etc. Já na saída da câmara de combustão são usadas condições de Neumann nula para as variáveis mencionadas anteriormente.

Figura 1 – Representação tridimensional da câmara de combustão (Vaz e De Bortoli, 2014)

Fonte: Autores (2021)

5 Resultados e Discussão

Os resultados numéricos são comparados com os resultados experimentais para uma chama difusiva de hidrogênio/nitrogênio (H2/N2), disponível no Sandia National Laboratories (SANDIA) (Laboratories, 1996), para validar e analisar o comportamento da solução numérica do problema.

A chama Sandia tem forma de jato, é não confinada e composta por uma mistura de 50% de hidrogênio e 50% de nitrogênio. O comprimento da chama, em geral, é dado na forma adimensionalizada, e as distâncias são normalizadas em relação ao diâmetro da saída do jato de combustível 𝑑 (Vaz e De Bortoli, 2014).

A malha usada na simulação tem o formato tridimensional e 387:549 pontos, sendo essa refinada na direção longitudinal, vertical e transversal. O fator de refinamento utilizado na direção longitudinal (x) é 0,08 e para as direções vertical e transversal são usados fatores iguais a 0,9. O fator de refinamento menor em x é devido ao fato que na região próxima à saída do combustível e no eixo central acontecem os efeitos principais causados pela reação química, observado na Figura 2, onde a cor vermelha representa o combustível, a azul o oxigênio e as cores intermediárias a reação química.

Figura 2 – Fração de mistura em relação ao eixo axial

Fonte: Autores (2021)

O início do processo químico ocorre quando o combustível é injetado na câmara, por meio da fração mássica 𝑌𝐻2 = 0,067 e o oxidante por meio da fração mássica 𝑌𝑂2 = 0,2329. Então, quando o combustível entra em contato com o oxidante no interior da câmara, o processo de combustão começa pela reação química dos elementos presentes na mistura.

Os valores para alguns parâmetros e variáveis são: número de Reynolds no valor de 104, passo de tempo ∆𝑡 = 10−4, componentes das velocidades 𝑣1 = 1,5 e 𝑣2 = 𝑣3 = 0, número de Schmidt 𝑆𝑐 = 0,89 e fração de mistura estequiométrica 𝑍𝑠𝑡 = 0,3. Por meio desses valores são apresentados os resultados numéricos obtidos para a fração de mistura e o hidrogênio em relação ao eixo axial e radial.

Ao longo do eixo central da câmara, a fração de mistura apresenta um decaimento tanto para a solução experimental, como para a numérica. Diferenças entre as duas soluções aparecem para 𝑥⁄𝑑 > 45, pois a partir deste ponto o refinamento da malha é menor e o nível de combustível é mais baixo que o do oxigênio, por tanto ele é consumido mais rápido, conforme verificado na Figura 3.

Na Figura 4, tem-se a fração de mistura na secção radial para 𝑥⁄𝑑 = 20. O resultado numérico apresenta uma pequena diferença em relação ao experimental, tanto no início e no final da curva. O decréscimo da fração de mistura está adequado, pois o nível de combustível tende a diminuir conforme vai sendo consumido, e quanto maior o valor do raio, menor o volume do combustível.

Para 𝑥⁄𝑑 = 40, a fração de mistura começa com 21% decaindo ao longo da seção radial, conforme mostra a Figura 5, na qual os resultados apresentam maior discrepância entre 𝑥⁄𝑑 = 1 e 𝑥⁄𝑑 = 5. O comportamento de decrescimento da solução numérica para a fração de mistura é devido a presença da viscosidade turbulenta, pois esta aumenta em relação ao eixo radial, onde seus efeitos são significativos e o refinamento da malha é menor. Conforme (Vaz e De Bortoli, 2014) nas regiões onde a malha é mais grossa os efeitos da viscosidade turbulenta tendem a serem maiores, gerando um erro maior nesta aproximação.

Figura 3 – Perfil da fração de mistura experimental e numérica em relação ao eixo central da câmara de combustão

Fonte: Autores (2021)

Figura 4 – Fração de mistura em 𝑥⁄𝑑 = 20

Fonte: Autores (2021)

Figura 5 – Fração de mistura em 𝑥/𝑑 = 40

Fonte: Autores (2021)

A fração mássica do combustível inicial é apresentada na Figura 6. Observa-se que à medida que o combustível vai sendo consumido durante a reação, a fração mássica do combustível decresce até ser quase que totalmente consumida, ficando apenas uma quantidade mínima. É notável que o fluxo do combustível da solução numérica decai mais lentamente do que a solução experimental ao longo do eixo axial; logo o comportamento da fração mássica numérica está adequado com o resultado numérico da fração de mistura.

Já para 𝑥⁄𝑑 = 20 a fração mássica da solução numérica é um pouco maior do que a experimental, sendo que seus valores apresentam uma discrepância entre 𝑟⁄𝑑 = 0 e 𝑟⁄𝑑 = 2; a partir deste ponto a diferença entre os resultados começa a diminuir conforme mostra a Figura 7.

Na Figura 8 entre 𝑟⁄𝑑 = 0 e 𝑟⁄𝑑 = 2 o nível da fração mássica experimental é menor em relação ao numérico, concluindo-se que o combustível está sendo consumido nesse intervalo mais lentamente na solução numérica.

Uma análise de erro é realizada através do desvio padrão (Tabela 1), nos permitindo obter uma medida de dispersão para o conjunto dos dados numéricos obtidos, e ter uma estimativa do erro quando a solução numérica é comparada com a experimental. Pode-se verificar na Tabela 1 que tanto a fração de mistura e a fração mássica apresentam um valor pequeno para o erro, conforme o esperado, devido as simplificações realizadas nas equações governantes para obter a solução numérica do problema. É importante considerar que os dados experimentais são estatísticos e a faixa de erro da ordem de 10%, pois o processo de queima da chama é transiente (Vaz e De Bortoli, 2014)).

Tabela 1 – Análise de erro usando desvio padrão

Posição

Função de mistura (Z)

Fração mássica do hidrogênio

𝑥⁄𝑑 = 20

0,08787

0,00290

𝑥⁄𝑑 = 40

0,07451

0,00012

𝑥⁄𝑑 = 0,5

0,08068

0,01051

Figura 6 – Fração mássica do combustível H2 ao longo do eixo central da câmara de combustão em 𝑥⁄𝑑 = 0,5

Fonte: Autores (2021)

Figura 7 – Fração mássica do combustível H2 em 𝑥⁄𝑑 = 20

Fonte: Autores (2021)

Figura 8 – Fração mássica do combustível H2 em 𝑥⁄𝑑 = 40

Fonte: Autores (2021)

6 Conclusão

As equações governantes de Navier-Stokes, em conjunto com as equações da fração de mistura e conservação da massa das espécies químicas, possibilitaram analisar o processo da combustão por meio do escoamento químico, no interior da câmara de combustível, para diferentes variáveis durante a simulação numérica. Simplificações foram realizadas no problema com o intuito de diminuir sua complexidade, já que o sistema das equações utilizadas é considerado rígido, devido a diferença entre as escalas temporais envolvidas no escoamento.

Por causa do alto grau de turbulência presente no escoamento, foram necessários métodos para tratar as flutuações contidas no fluxo, como o LES. Também, as equações foram adimensionalizadas para reduzir o número de parâmetros envolvidos no processo da combustão e auxiliar na identificação das forças dominantes. Outro método aplicado foi o de diferença finitas, para discretizar o domínio do problema e obter a solução numérica. Todas essas técnicas utilizadas para modelar o problema da chama difusiva contribuíram para obter os resultados numéricos com menos custo computacional.

Ao serem comparados, os resultados numéricos e experimentais apresentaram diferenças em certas posições da chama. É importante salientar que essas diferenças são causadas pelo uso de métodos numéricos e técnicas de simplificações, como também o formato do refinamento da malha, pois a medida que o valor do eixo axial aumenta, o grau do refinamento diminui, aumentando assim os gradientes de viscosidade presente no fluxo.

A partir de chamas comuns, como a do hidrogênio, é possível entender melhor como ocorre o processo de combustão em diversos combustíveis, e portanto, este trabalho contribui para assimilar como acontece o fenômeno da combustão em chamas difusivas para combustíveis de grande relevância, desde os que apresentam cadeias simples até as mais complexas.

Referências

CORRÊA, L., MOMPEAN, G., KUROKAWA, F. A., SOUSA, F. S. (2018). Temporal large-eddy simulations of the lid-driven cavity by finite volume method. Journal of the Brazilian Society of Mechanical Sciences and Engineering, 40, 1–17.

DE BORTOLI, A. L. (2009). Analitical/numerical solution for confined jet diffusion flame (sandia flame c). Latin American Applied Research, 39, 157–163.

DE BORTOLI, A. L., ANDREIS, G. S. L., PEREIRA, F. (2015). Modeling and Simulation of Reactive Flows. Elsevier.

DOS SANTOS, F. M. S. M., DOS SANTOS, F. A. C. M. (2005). O combustivel hidrogenio. Revista Educação, Ciência e Tecnologia, 31, 252–270.

FORTUNA (2000). Tecnicas computacionais para dinâmica dos fluidos: conceitos e aplicações. Edusp, São Paulo.

FOX, MCDONALD, PRITCHARD (2010). Introdução à dinâmica dos fluidos, 8o edn. LTC.

GAYDON, A. G., WOLFHARD, H. G. (1979). Flames: Their Structure, Radiation and Temperature, 4o edn. Chapman and hall.

HOERLLE, C. A., ZIMMER, L., PEREIRA, F. M. (2017). Numerical study of CO2 effects on laminar non-premixed biogas flames employing a global kinetic mechanism and the flamelet-generated manifold technique. Fuel, 203, 671–685.

LABORATORIES, S. N. (1996). Proceedings of the international workshop on measurement and computation of turbulent nonpremixed flames. https://public.ca.sandia.gov/TNF/inc/TNF1_Proceedings.pdf?,acessed 20 May 2019.

LAW, C. K. (2006). Combustion Physics. Cambridge University Press, USA.

LIU, J., FUYUAN, Y., HEWU, W., MINGGAO, O. (2012). Numerical study of hydrogen addition to DME/CH4 dual fuel RCGI engine. International Journal of Hydrogen Energy, 37, 8688–8697.

LORENZETTI, G. S., DE BORTOLI, A. L., MARCZAC, L. D. F. (2012). A numerical method for the solution of confined co-flowing jet diffusion flames. Latin American Applied Research, 42, 27–32.

MARINOV, N. M., WESTBROOK, C. K., PITZ, W. J. (1995). Detailed and global chemical kinetics model for hydrogen. Lawrence Livermore National Laboratory, pp. 1–32.

PETERS, N. (1986). Laminar flamelet concepts in turbulent combustion. Twenty-First Symposium on Combustion, pp.1250–1251.

PETERS, N. (1992). Fifteen Lectures on Laminar and Turbulent Combustion. Ercoftac Summer School.

PETERS, N. (2004). Turbulent Combustion. Cambridge University Press.

PITSCH, H. (2006). Large-eddy simulation of turbulent combustion. Annu Rev Fluid Mech, 38, 453–482.

POINSOT, T., VEYNANTE, D. (2001). Theoretical and Numerical Combustion. R. T. Edwards, Inc..

SCHIESTEL, R. (2008). Modeling and Simulation of Turbulent Flows. Jonh Wiley & Sons, Inc.

TURNS, S. R. (2013). An introduction to combustion, 3o edn. McGraw Hill, Boston.

VAZ, F. A., DE BORTOLI, A. L. (2014). A new reduced kinetic mechanism for turbulent jet diffusion flames of bioethanol. Applied Mathematics and Computation, 247, 918–929.

CONTRIBUIÇÃO DE AUTORIA

1 – Evanildo Franco de Jesus

Conceituação, análise formal, metodologia, software, validação, visualização de dados, escrita – primeira redação, escrita – revisão e edição

2 – Régis Sperotto de Quadros

Análise formal, software, supervisão, validação, escrita – revisão e edição

3 – Daniela Buske

Supervisão, escrita – revisão e edição

Como citar este artigo

Jesus, E.F.; Quadros, R.S.; Buske, D. Simulação Numérica De Chamas Difusivas De Hidrogênio Através Das Equações de Navier-Stokes. Ciência e Natura, Santa Maria, v. 43, Ed. Esp. X ERMAC RS, e14, p. 1-23, 2021. DOI 10.5902/2179460X66842. Disponível em: https://doi.org/10.5902/2179460X66842. Acesso em: 5 nov. 2021.