Universidade Federal de Santa Maria

Ci. e Nat., Santa Maria, v. 43, Ed. Esp. X ERMAC RS, e5, 2021

DOI: 10.5902/2179460X66677

ISSN 2179460X

Recebido: 13/07/2021 • Aceito: 29/09/2021 • Publicado: 05/11/2021

Estudo numérico de desempenho de trocadores de calor solo-ar em cidades do Rio Grande do Sul

Lucas Costa VictoriaI

Igor Silva VazII

Juliana CostiIII

Luiz Alberto Oliveira RochaIV

Elizaldo Domingues dos SantosV

Michel Kepes RodriguesVI

Liércio André IsoldiVII

I B. Eng., Universidade Federal do Rio Grande, Rio Grande, RS, Brasil

https://orcid.org/0000-0003-3533-4804 – lucasvitoria@furg.br

II Graduando, Universidade Federal do Rio Grande, Rio Grande, RS, Brasil

https://orcid.org/0000-0003-3533-4804 – lucasvitoria@furg.br

III D.Sc., Universidade Federal do Rio Grande, Rio Grande, RS, Brasil

https://orcid.org/0000-0001-6220-2343 – ju.costi@gmail.com

IV D.Sc, Universidade Federal do Rio Grande, Rio Grande, RS, Brasil

https://orcid.org/0000-0003-2409-3152 – luizor@unisinos.br

V D.Sc, Universidade Federal do Rio Grande, Rio Grande, RS, Brasil

https://orcid.org/0000-0003-4566-2350 – elizaldosantos@furg.br

VI D.Sc, Universidade Federal do Rio Grande, Rio Grande, RS, Brasil

https://orcid.org/0000-0001-9368-9000 – michelkrodrigues@gmail.com

VII D.Sc, Universidade Federal do Rio Grande, Rio Grande, RS, Brasil

https://orcid.org/0000-0002-9337-3169 – liercioisoldi@furg.br

RESUMO

Trocadores de Calor Solo-Ar (TCSA) são equipamentos instalados em edificações com o intuito de redução no consumo de energia elétrica com sistemas tradicionais de condicionamento de ar. Seu princípio de operação é simples e consiste em dutos enterrados por onde o ar é forçado a escoar, sendo o solo o responsável por propiciar as trocas térmicas e amenizar a temperatura no ambiente edificado. No presente trabalho é estudado o comportamento de um TCSA em duto reto para três localidades distintas no estado brasileiro do Rio Grande do Sul: Rio Grande, Novo Hamburgo e Ibirubá. Ao final da análise, chegou-se à conclusão que o melhor desempenho foi para a cidade do Rio Grande, com um potencial térmico de aquecimento de 6,51 °C e de resfriamento de 5,95 °C. Além disso, foi possível observar que todas regiões apresentaram resultados considerados satisfatórios quanto ao desempenho térmico.

Palavras-chave: Trocador de Calor Solo-Ar (TCSA); Modelagem computacional; Simulação numérica; Método dos Volumes Finitos (MVF)

ABSTRACT

Earth-Air Heat Exchangers (EAHE) are equipment installed in buildings aiming the electrical energy consumption reduction of traditional air conditioners systems. Its operation principle is simple and consists of buried ducts where the air is forced to flow, being the soil responsible for providing thermal exchanges and making the built environment temperature milder. This study shows the behaviour of a straight duct EAHE installed in three different cities of the Brazilian state of Rio Grande do Sul: Rio Grande, Novo Hamburgo and Ibirubá. By the end of the analysis, it was possible to infer that the best performance was reached at the location of Rio Grande, with a heating thermal potential (TP) of 6.51 °C and cooling TP of 5.95 °C. Besides that, one could notice that all regions were able to presented good thermal performance, justifying the EAHE use.

Keywords: Earth-Air Heat Exchanger (EAHE); Computational Modelling; Numerical Simulation; Finite Volume Method (FVM)

1 INTRODUÇÃO

Estudos indicam que de 20 a 40% de toda energia elétrica consumida em países desenvolvidos é em decorrência da utilização de aparelhos para climatização utilizados em residências (OSTERMAN et al., 2012; SOARES et al., 2013). Com a crescente preocupação acerca dos impactos ambientais causados por matrizes energéticas de fontes não renováveis, a indústria da Construção Civil volta-se para desenvolver tecnologias para possibilitar o melhor aproveitamento de energias consideradas limpas, visando o conforto térmico. Essas novas técnicas buscam atender critérios de eficiência energética estipulados por programas de etiquetagem de edificações, classificando-as conforme a necessidade do uso de energia elétrica para suprir as demandas de conforto dos usuários.

Nesse sentido, os Trocadores de Calor Solo-Ar (TCSA) apresentam-se como alternativa ao uso contínuo de sistemas de ar condicionado tradicionais. Segundo Sen (2008), a principal fonte de energia renovável é a radiação emitida pelo Sol e, conforme apresentado por Vaz et al. (2014), é possível realizar a instalação do TCSA com o intuito de utilizar o solo como um reservatório de energia térmica O princípio de operação destes dispositivos consiste em um escoamento forçado de ar através de dutos enterrados, possibilitando trocas térmicas entre o ar e o solo circundante. A intenção é que a temperatura na saída do duto seja mais amena quando comparada com a temperatura na entrada, possibilitando um aquecimento do ar escoado durante o inverno e o oposto durante o verão. Com isso, torna-se a temperatura em ambientes edificados mais agradável, reduzindo, ou até mesmo dispensando, o uso de equipamentos de ar condicionado.

Estudos acerca de TCSA podem ser encontrados de diversas maneiras na literatura, como: experimentais (VAZ et al., 2014 e AGRAWAL et al., 2018); analíticos (MIHALAKAKOU et al., 1997 e BISONIYA et al., 2015); e numéricos (BRUM et al., 2013 e RODRIGUES et al., 2015). As análises numéricas se tornaram grandes aliadas no desenvolvimento de estudos de TCSA, uma vez que estudos experimentais deverão ter acompanhamento com duração mínima de um ano; além dos equipamentos necessários para monitoramento constante. Com a computação, torna-se viável a realização de otimizações geométricas e operacionais, bem como avaliação de comportamento em diferentes localidades e profundidades em poucos dias.

Este trabalho, portanto, visa realizar a análise de comportamento de um TCSA em duto reto, instalado em uma mesma profundidade em 3 diferentes localidades no estado do Rio Grande do Sul.

2 METODOLOGIA

Como mencionado, o objeto de estudo é um TCSA em duto reto, com comprimento de 30 m de tubulação e instalado a 2 m de profundidade (HERMES et al., 2020). O diâmetro do duto é de 110 mm, como adotado na instalação experimental de Vaz et al. (2014). O ar na entrada da tubulação tem sua velocidade prescrita como sendo 3,3 m/s e na saída é considerado somente pressão atmosférica (VAZ et al., 2014), sendo monitorada a temperatura a cada hora para fins de comparação. Com relação às propriedades do solo e às prescrições de temperatura, adotou-se a metodologia proposta por Victoria et al. (2020), aliando a utilização do conjunto de dados ERA-Interim, para as prescrições de temperatura, de boletins de sondagem SPT, para a estratificação do solo, e de propriedades termofísicas das camadas de solo disponíveis na literatura, tendo sido adotado valores de Oke (1987). Foi empregado um modelo computacional previamente validado em Rodrigues et al. (2015), sendo o domínio computacional considerado no presente estudo mostrado na Fig. 1.

Figura 1 – Esquema simplificado do domínio computacional

Fonte: Autores (2021)

As regiões abrangidas pelo presente trabalho compreendem 3 diferentes cidades gaúchas: Rio Grande, Ibirubá e Novo Hamburgo. A estratificação do solo de cada local analisado é apresentada na Fig. 2. A escolha das regiões se deu em função dos diferentes tipos de solo, sendo um arenoso, um com camada de argila e areia, e o último argiloso.

Figura 2 – Estratificação do solo para: (a) Rio Grande; (b) Ibirubá; e (c) Novo Hamburgo

Fonte: Autores (2021)

As propriedades termofísicas do solo (massa específica - ρ; calor específico – cρ; e condutividade térmica - k) para as diferentes localidades estão dispostas na Tab. 1.

Tabela 1 – Propriedades termofísicas dos solos conforme Oke (1987)

Tipo de Solo

ρ (kg/m3)

cρ [J/(kg.K)]

k [W/(m.K)]

Areia

1600

800

0.30

Areia Saturada

2000

1480

2.20

Argila

1600

890

0.25

Fonte: Autores (2021)

O ar, por não apresentar variações significativas em suas propriedades, foi considerado como tendo os mesmos valores medidos experimentalmente por Vaz et al. (2014) para a cidade de Viamão/RS, ou seja, ρ = 1,16 kg/m3; cρ= 1010 J/(kg·K); κ = 0,0242 W/(m·K); e viscosidade absoluta (ν) de 1,7894×10-5 kg/(m·s).

A modelagem matemática desenvolvida no estudo de TCSA consistiu no princípio da conservação da massa, da quantidade de movimento e da energia. Por não haver mudanças de peso específico durante o escoamento, é possível classificá-lo como incompressível. Por se tratar de um escoamento turbulento, determinado através do elevado número de Reynolds, se faz necessária a modelagem desta turbulência e, dentre as opções disponíveis, utilizando-se critério de diminuição de esforço computacional, sem perda de acurácia, optou-se pelo modelo κ-ε, que resolve o problema com a solução de duas equações adicionais: da energia cinética turbulenta (κ) e da dissipação viscosa turbulenta (ε). Este método é amplamente utilizado para problemas de engenharia e é adotado para a solução de TCSA em Rodrigues et al. (2015).

Já com relação à modelagem computacional, foram utilizados três softwares da ANSYS, sendo eles o DesignModeler, para a criação da geometria, o Meshing, para a geração da malha, e o Fluent para o processamento. A malha, de elementos tetraédricos, foi gerada seguindo estudos de convergência desenvolvidos em Rodrigues et al. (2015), onde utilizou-se 3d para a região do solo e d/3 para a região do duto, sendo d o diâmetro do duto do TCSA. Já para o acoplamento pressão-velocidade foi utilizado o algoritmo SIMPLE, conforme estudo de Rodrigues et al. (2015). A solução dos problemas no ANSYS Fluent foi feita através do Método dos Volumes Finitos (MVF). Para obtenção dos resultados, foi monitorada a cada hora a temperatura média na face de saída do ar do duto.

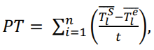
Para realizar a comparação dos diferentes casos, foi utilizado um parâmetro que avalia o desempenho térmico do TCSA para cada localidade. Conforme definido em Rodrigues et al. (2015), o Potencial Térmico (PT) foi calculado considerando a temperatura média nas faces de entrada e de saída do duto do TCSA, através da equação:

(1)

onde são, respectivamente a temperatura média na saída e na entrada do duto.

3 RESULTADOS E DISCUSSÃO

Conforme já mostrado (vide Fig. 2a), o TCSA para a cidade do Rio Grande está instalado em uma região de solo arenoso, com camada seca e saturada. A variação anual de temperatura medida como a média da face na entrada e na saída do duto é apresentada na Fig. 3.

Figura 3 – Variação anual de temperatura na entrada e na saída do TCSA para Rio Grande

Fonte: Autores (2021)

É possível observar um comportamento dentro da proposta do TCSA e compatível com resultados disponíveis na literatura (HERMES et al., 2020; RODRIGUES et al., 2015), ou seja, apresentando temperatura mais amena na saída, após trocas térmicas com o solo.

Diferentemente de Rio Grande, o solo de Novo Hamburgo é estratificado com uma camada de argila próximo à superfície e outra de areia logo abaixo e ambas secas (vide Fig. 2b). Na Fig. 4 está apresentada a variação anual de temperatura da temperatura do ar na entrada e na saída do TCSA em Novo Hamburgo.

Figura 4 – Variação anual de temperatura na entrada e na saída do TCSA para Novo Hamburgo

Fonte: Autores (2021)

Neste caso, é possível perceber que há uma grande amplitude térmica, apresentando variações mais intensas quando comparada com Rio Grande (ver Fig. 3). Por esta razão, é possível inferir que o TCSA em Novo Hamburgo apresentou um desempenho similar ao de Rio Grande. Porém, devido à influência da grande variação de temperatura do ar na entrada, maiores variações também foram observadas na saída do TCSA.

No último caso, para Ibirubá, o TCSA foi instalado numa região com solo argiloso e seco (vide Fig. 2c). A variação anual de temperatura é apresentada na Fig. 5.

Figura 5 – Variação anual de temperatura na entrada e na saída do TCSA para Ibirubá

Fonte: Autores (2021)

Nesta região, assim como no caso para Novo Hamburgo, percebeu-se uma acentuada amplitude térmica nos valores de entrada do ar. Como consequência, o desempenho térmico apresentou a mesma característica da instalação anterior, de não resultar em valores tão amenos quanto os observados para a instalação em Rio Grande.

3.1 Comparação entre localidades

Anteriormente uma análise qualitativa dos resultados foi apresentada de forma separada. Pretende-se agora analisar de forma quantitativa o desempenho térmico em cada região, através do Potencial Térmico (PT), para inferir a capacidade de cada instalação de realizar trocas térmicas com o solo circundante. Na Tab. 2 são apresentados os valores máximos de PT médios diários para aquecimento e resfriamento.

Tabela 2 – Potenciais térmicos médios diários de aquecimento e resfriamento

Região

Resfriamento (°C)

Aquecimento (°C)

Rio Grande

-5,93

6,50

Novo Hamburgo

-4,77

5,74

Ibirubá

-4,12

6,19

Fonte: Autores (2021)

Os valores apresentados na Tab. 2 mostram que há uma melhoria no PT de resfriamento considerável para a região do Rio Grande, chegando a uma diferença de 1,16 °C quando comparada à de Novo Hamburgo e de 1,81 °C para Ibirubá. Entretanto, quando se observa o comportamento do TCSA para aquecimento do ar, é possível perceber que não há grande variação, sendo a maior diferença de apenas 0,76 °C. Apesar disso, as três regiões apresentaram valores satisfatórios e que possibilitam a diminuição no uso de equipamentos de ar condicionado.

Hermes et al. (2020) inferiu que, para o solo de Rio Grande, não há vantagens que justifiquem o aumento de profundidade de instalação, uma vez que o lençol freático se encontra próximo à superfície. No entanto, as outras regiões possuem características de solo que possivelmente apresentam melhoria nos resultados através do aumento da profundidade de instalação, justificando essa investigação em trabalhos futuros.

4 CONCLUSÕES

Neste trabalho foi apresentada uma análise de comportamento de uma instalação de TCSA com duto reto de comprimento 30 m para três localidades distintas no estado do Rio Grande do Sul, no Brasil. O trabalho contou com a modelagem computacional através do MVF destes equipamentos com prescrições de temperatura a partir do conjunto de dados ERA-Interim.

Através dos resultados, pode-se observar que a localidade com os melhores potenciais térmicos, e por consequência melhor desempenho térmico, foi a cidade do Rio Grande, com PT máximo para aquecimento de 6,50 °C e para resfriamento de 5,93 °C. Com relação às outras localidades, percebeu-se que cada uma se destacou e apresentou melhores resultados em cada modalidade, tendo Novo Hamburgo um desempenho melhor para resfriamento, de -4,77 °C, e Ibirubá para aquecimento, de 6,19 °C ,quando comparadas entre si. Neste trabalho, foi levado em consideração uma velocidade constante na entrada do duto (ventilação forçada), porém fatores regionais podem aumentar a capacidade de eficiência energética do TCSA uma vez que um sistema de ventilação natural pode ser adotado, aproveitando outra energia renovável.

Como forma de continuidade ao presente trabalho, poderão ser investigadas as profundidades ótimas de instalação, i.e., onde o TCSA apresentará melhor desempenho (especialmente em Novo Hamburgo e Ibirubá); avaliar a instalação de outras configurações geométricas (T, Y ou U); outros efeitos construtivos no desempenho térmico, como diâmetro da tubulação e comprimento do duto; e analisar a economia mensal de energia elétrica para cada instalação, considerando um ambiente construído.

AGRADECIMENTOS

Os autores agradecem ao Conselho Nacional de Desenvolvimento Científico e Tecnológico (CNPq) e à Fundação de Amparo à Pesquisa do Rio Grande do Sul (FAPERGS) pelo suporte financeiro para o desenvolvimento da pesquisa.

Referências

AGRAWAL, K. K., MISRA, R., YADAV, T., AGRAWAL, G., JAMUWA, D. K. Experimental study to investigate the effect of water impregnation on thermal performance of earth air tunnel heat exchanger for summer cooling in hot and arid climate. Energ Buildings, 120, 1, 255-265, 2018.

BISONIYA, T. S. Design of earth–air heat exchanger system. Geotherm Energy, 3, 18, 1-10, 2015.

BRUM, R. S., VAZ, J., ROCHA, L. A. O., DOS SANTOS, E. D., ISOLDI, L. A. A New Computational Modeling to Predict the Behavior of Earth-Air Heat Exchangers. Energ Buildings, 64, 1, 2013.

HERMES, V. F., RAMALHO, J. V A., ROCHA, L. A. O., DOS SANTOS, E. D., MARQUES, W. C., COSTI, J., RODRIGUES, M. K., ISOLDI L. A. Further realistic annual simulations of earth-air heat exchangers installations in a coastal city. Sustain Energy Technol Assessments, 37, 100603, 2020.

MIHALAKAKOU, G., SANTAMOURIS, M., LEWIA, J. O., ASIMAKOPOULOS, D. N. On the Application of the Energy Balance Equation to Predict Ground Temperature Profiles. J Sol Energy, 60, 3-4, 181-190, 1997.

RODRIGUES, M. K., BRUM, R. S., VAZ, J., ROCHA, L. A. O., DOS SANTOS, E. D., ISOLDI, L. A. Numerical investigation about the improvement of the thermal potential of an Earth-Air Heat Exchanger (EAHE) employing the Constructal Design method. Renew Energ, 80, 1, 538-551, 2015.

OKE, T. R. Boundary Layer Climates. 2nd ed. London: Taylor & Francis, 1987.

OSTERMAN, E., TYAGI, V.V., BUTALA, V., RAHIM, N.A., STRITIH, U. Review of PCM based cooling technologies for buildings. Energ Buildings, 49, 37-49, 2012.

EN, Z. Solar Energy Fundamentals and Modeling Techniques: Atmosphere, Environment, Climate Change and Renewable Energy. London: Springer, 2008.

SOARES, N., COSTA, J.J., GASPAR, A.R., SANTOS, P. Review of passive PCM latent heat thermal energy storage systems towards buildings energy efficiency. Energ Buildings, 59, 82-103, 2013.

VAZ, J., SATTLER, M. A., DOS SANTOS, E. D., ISOLDI, L. A. An experimental study on the use of Earth-Air Heat Exchangers (EAHE). Energ Buildings, 72, 122-131, 2014.

VICTORIA, L. C., HERMES, V. F., VAZ, J., COSTI, J., MARQUES, W. C., ROCHA, L. A. O., DOS SANTOS, E. D., RODRIGUES, M. K., BISERNI, C., ISOLDI, L. A. Methodology allying standard penetration test and Era-Interim data set for numerical simulations of Earth-Air Heat Exchangers. J Adv Res Fluid Mech Therm Sci, 76, 2, 43-64, 2020.

CONTRIBUIÇÃO DE AUTORIA

1 – Lucas Costa Victoria

Análise Formal, Visualização, Escrita – primeira redação

2 – Igor Silva Vaz

Análise Formal, Visualização, Escrita – primeira redação

3 – Juliana Costi

Curadoria de dados

4 – Luiz Alberto Oliveira Rocha

Metodologia, Administração do Projeto, Escrita – revisão e edição, Conceituação

5 – Elizaldo Domingues dos Santos

Metodologia, Administração do Projeto, Escrita – revisão e edição, Conceituação

6 – Michel Kepes Rodrigues

Metodologia, Administração do Projeto, Escrita – revisão e edição, Conceituação

7 – Liércio André Isoldi

Metodologia, Administração do Projeto, Escrita – revisão e edição, Conceituação, Supervisão

Como citar este artigo

VICTORIA, L.C.; VAZ, I.S.; COSTI, J.; ROCHA, L.A.O.; SANTOS, E.D.; RODRIGUES, M.K.; ISOLDI, L.A. Estudo numérico de desempenho de trocadores de calor solo-ar em cidades do Rio Grande do Sul. Ciência e Natura, Santa Maria, v. 43, Ed. Esp. X ERMAC RS, e5, p. 1-12, 2021. DOI 10.5902/2179460X66677. Disponível em: https://doi.org/10.5902/2179460X66677. Acesso em: 5 nov. 2021.