Universidade Federal de Santa Maria
Ci. e Nat., Santa Maria, v. 43, e73, 2021
DOI: 10.5902/2179460X64223
ISSN 2179460X
Submitted: 01/04/2021 • Approved: 19/07/2021 • Published: 06/01/2022
Environment
Solid discharge in a microbasin of the amazon region
Descarga sólida em microbacia da região amazônica
Cássio Fernando SimioniI
Frederico Terra de AlmeidaII
Cornélio Alberto ZolinIII
Eduardo Morgan UlianaIV
Adilson Pacheco de SouzaV
Adriana MarquesVI
I Civil Engineer, Universidade Federal de Mato Grosso, MT, Brasil
https://orcid.org/0000-0002-7710-3185 - cassio.simioni@yahoo.com.br
II Civil Engineer, Universidade Federal de Mato Grosso, MT, Brasil
https://orcid.org/0000-0003-1055-5766 - fredterr@gmail.com
III Agricultural Engineer, Brazilian Agricultural Research Corporation (Embrapa): Sinop,MT, Brasil
https://orcid.org/0000-0003-3028-8722 - zolin@embrapa.br
IV Environmental Engineer, Universidade Federal de Mato Grosso, MT, Brasil
http://lattes.cnpq.br/2355209690082964 - morganuliana@gmail.com
V Agricultural Engineer, Universidade Federal de Mato Grosso, MT, Brasil
https://orcid.org/0000-0003-4076-1093 - pachecoufmt@gmail.com
Vi Civil Engineer, Federal Institute of Education Science and Technology: Itapetininga, SP, Brasil
https://orcid.org/0000-0001-8500-2053 - adrimarks2015@gmail.com
ABSTRACT
The processes of water erosion and sedimentation occur naturally, however, they are being accelerated by human activities. Many microbasins lack information regarding the water resource, land use and occupation, as is the case of the Caiabi River microbasin, in which sediment production is potentiated by agricultural practices. The objectives of this study were to evaluate sediment transport in the Caiabi River and establish a rating curve for solid discharge from data obtained between 2018 and 2020, involving measurements of suspended sediment concentration, bed-load sediments and flow. The suspended and total solid discharges were established as a function of the flow rate through power, exponential, polynomial and linear equations, which parameters were adjusted by the method of least squares. The statistical evaluation of the rating curves indicated that the total solid discharge estimated from associations between suspended and bed load sediments is the one that best represents the transport of sediments in the Caiabi River while the exponential model offers the best fit to the observed data.
Keywords: Sediment transport; Silting; Forecast
RESUMO
Os processos de erosão hídrica e sedimentação ocorrem naturalmente, no entanto, têm sido acelerados pelas atividades humanas. Muitas microbacias carecem de informações quanto aos recursos hídricos e ao uso e ocupação do solo, caso da microbacia do rio Caiabi, na qual a produção de sedimentos é potencializada por práticas agrícolas. Os objetivos desse estudo foram avaliar o transporte de sedimentos no rio Caiabi e estabelecer uma curva-chave para a descarga sólida a partir de dados obtidos entre 2018 e 2020, envolvendo medições de concentração de sedimentos em suspensão, sedimentos de arrasto e vazão. As descargas sólidas em suspensão e total foram estabelecidas em função da vazão por meio de equações do tipo potência, exponencial, polinomial e linear, cujos parâmetros foram ajustados pelo método dos mínimos quadrados. A avaliação estatística das curvas-chaves indicou que a descarga sólida total estimada a partir de associações entre sedimentos suspensos e de arrasto é a que melhor representa o fluxo de sedimentos no rio Caiabi enquanto o modelo exponencial é o que oferece o melhor ajuste aos dados observados.
Palavras-chave: Transporte de sedimentos; Assoreamento; Previsão
1 INTRODUCTION
Water erosion and sedimentation processes occur naturally, despite the fact that they have been accelerated by human activities such as inadequate land use, deforestation, urbanization, agricultural activities, and changes in water courses (SHUZHEN et al., 2002; SILVA et al., 2016; BUSSI et al., 2021). Thus, the migration of springs, removal of the fertile soil layer in agricultural areas, changes in surface runoff conditions, interference in water quality, damage to bridges and canals, among other problems can be observed (CARVALHO, 2008).
In hydrographic basins, the investigation of the production and transport of sediments can be carried out from direct measurements in water courses. Nevertheless, such methodology has technical limitations in extreme events and does not allow continuous observation. In this sense, adopting mathematical models - such as rating curves, is an interesting alternative, as it makes it possible to estimate data as for example, sediment concentration and solid discharge from a variable which is easier to monitor as well as its flow (MENEZES et al., 2021).
Currently, most hydrosedimentometric studies are related to large hydrographic basins, such as the Amazon basin (LATUF & AMARAL, 2015; BERNINI et al., 2016; YU et al., 2017; MONTANHER et al., 2018), thus, many smaller basins lack concrete information regarding their peculiarities (MACHADO et al., 2012; LATUF et al., 2019; PRADO et al., 2021). Taking this information into account, the Caiabi River microbasin- which is part of the Teles Pires River basin and where agribusiness has been responsible for major changes in the forms of land use and occupation in the last 30 years (ZAIATZ et al., 2018) and several hydropower projects, has recently started operating (GALLARDO et al., 2017).
Given the above, the objectives of the present study were to evaluate sediment transport in the Caiabi River and establish a rating curve for solid discharge from data obtained between 2018 and 2020, involving measurements of suspended sediment concentration, bed load sediments and flow.
2 METHODOLOGY
2.1 Study area
The Caiabi River watershed is located in the middle north region of the state of Mato Grosso, in the municipalities of Vera and Sinop (Figure 1), covering both the Amazon basin and the Cerrado-Amazon ecotone (MARIMON et al., 2006). It counts on area of 489.3 km², relief of undulating plan (SANTOS et al., 2018) and a main river with 57.7 km whose margins present riparian forest along its entire length (ANDRIETTI et al., 2015). The average annual rainfall in the region is approximately 2,000 mm, with rainfall concentrated in the summer / autumn and water deficiencies in the winter / spring, especially between June and August, a climate classified as Aw' according to Köppen's method (SOUZA et al., 2013).
Considering the accessibility criteria, representativeness of the point in question, river width and vegetation density (SANTOS et al., 2001), the control section (fluviometric station) was established 5.3 km from the convergence of the Caiabi River with the Teles Pires River. As a result, this study considered just the watershed area and the length of the main river before the section, 436.1 km³ and 52.4 km, respectively (Figure 1).
Sedimentometric monitoring took place between December 2018 and February 2020. The campaigns consisted of measuring the flow and collecting samples of suspended sediments and bed load sediments. The number of measurements was higher in the rainy season, as recommended by WMO (1994).
Figure 1 – Location of the Caiabi River watershed and its control section
Source: Author (2020)
2.2 Net flow determination
In order to determine the net flow, the half-section method- which consists of multiplying the average speed by the area of pre-established subsections- was used (SANTOS et al., 2001). During the monitoring, the width of the river varied between 10 m and 12 m, thus, the measurement verticals maintained the spacing of 1 m (Figure 2). The current speeds were measured with the aid of a hydrometric windlass, model MLN-7 of the JCTM brand.
Figure 2 – Distribution of measurement verticals / subsections in the average profile of the Caiabi River control section
Source: Author (2020)
2.3 Sediment sampling
The sampling of suspended sediments was performed using the method of equal increment of width - IIL (CARVALHO, 2008) in the same verticals established in the measurement of the liquid flow (Figure 2). The US DH-48 sampler with the 3/16” nozzle ("K = 0.4 ") was used, which presented the best performance in the sampling efficiency tests. Previous studies on the Caiabi River found average concentrations below 20 mg L-1 (ANDRIETTI et al., 2016), thus, the collection volume was set at 10 liters, as recommended by WMO (1994). In this case, sub-samples of each vertical were combined into a single sample, called “composite”, representative of the entire section. In parallel, in order to outline the profile of the concentration and flow of suspended sediments in the section, “extra” samples of 1 liter were collected in each vertical, which were analyzed individually.
The sampling of bed load sediments was carried out in 5 verticals (1, 3, 5, 7 and 9) with the aid of a US BLH-84 sampler, which contains a bag where the sediment dragged in the bed is retained. The sampling time in each vertical was 30 minutes, in order to collect enough material to determine the dry weight and granulometric analysis (CARVALHO, 2008). All suspended and bed load sediments samples were identified and transported to the Hydraulics Laboratory at the Federal University of Mato Grosso, Sinop campus.
2.4 Laboratory analysis
To determine the concentration of suspended sediment in each sample, a gravimetric method was used, following the rules and procedures proposed by APHA (2012). With the aid of vacuum pumps, the samples were filtered through membranes with an opening equal to 0.45 micrometers dried in an oven at 105 ºC for 24 hours, before and after filtration, cooled in a desiccator and weighed. Finally, the concentration in each sample was calculated using Equation 1:
|
|
(01) |
Where Css is the concentration of suspended sediment (mg L-1), m2 is the dry mass of the membrane with sediment (mg), m1 is the dry mass of the clean membrane (mg) and V is the sample volume (L).
The bed load sediments samples were drained, the organic matter removed and the solid material transferred in aluminum capsules for drying in an oven at 105 ºC for 72 hours. The dry material was weighed and sieved in a series of sieves with openings equal to 8 mm, 4 mm, 2 mm, 1 mm, 500 μm, 250 μm, 125 μm and 63 μm for granulometric analysis (ABNT, 2016).
2.5 Calculation of solid discharge
The suspended solid discharge measured by the composite samples and bed load discharge were estimated with Equations 2 and 3, respectively (WMO, 1994):
|
|
(02) |
Where Qss is the suspended solid discharge in the section by composite samples (t d-1), Q is the flow in the section (m3 s-1) and Css is the concentration of suspended sediment in the sample (mg L-1).
|
|
(03) |
Where Qbl is the bed load discharge (t d-1); m is the total dry mass sampled (kg); l is section width (m); Eeq is the sampling efficiency of the equipment, set here as 1; n is the number of verticals sampled; leq is the width of the sampler mouth (m), in this case, equal to 0.075 m; and T is the sampling time for each vertical (min).
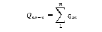
With the extra samples in the verticals, the suspended solid discharge in each subsection was estimated, separately:
|
|
(04) |
Where qss is the vertical suspended solid discharge (t d-1), q is the vertical flow (m3 s-1); C(ss-v) is the vertical sediment concentration (mg L-1); and linf is the width of influence of the vertical or width of the subsection (m), in this case, equal to 1 m.
According to Carvalho (2008), Qss can also be estimated by adding qss (Equation 5). Thus, in parallel, the suspended solid discharge was calculated from the extra samples in the verticals:
|
|
(05) |
Where Q(ss-v) is the suspended solid discharge by extra samples in the verticals (t d-1), qss is the suspended solid discharge in the vertical (t d-1) and n is the number of sampled verticals.
The total solid discharge was estimated by associating the bed load discharge both with solid suspended discharges measured by composite samples (Qts, in t d-1) and with solid suspended discharges measured by extra samples in verticals (Q(ts- v), in t d-1), Equations 6 and 7, respectively:
|
|
(06) |
|
|
(07) |
2.6 Rating curves of solid discharge
The data were paired establishing the solid discharges as a function of the net flow (Qss, Qts, Q(ss-v), Q(ts-v), Qbl = f (Q)). The power model is the most suitable and used in the elaboration of sediment rating curves, however, there are studies that have obtained good results by testing other adjustment models, such as Bellinaso et al. (2007), Latuf; Amaral (2015); De Girolamo et al. (2015). Thus, power model curves (Q(s…) = a Qb), exponential (Q(s…) = a ebQ), grade 2 polynomial with intersection defined by the origin (Q(s…) = a Q2 + b Q) and linear with intersection defined by the origin (Q(s...) = a Q), whose parameters a and b were adjusted by the least square’s method.
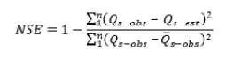
In addition to the coefficients of determination (R²) and Pearson's correlation (r), three more performance indicators were used to evaluate the models: Nash-Sutcliffe efficiency index (Equation 8), root of the mean square error (Equation 9) and absolute mean deviations (Equation 10).
|
|
(08) |
|
|
(09) |
|
|
(10) |
Where Q(s-obs) is the observed solid discharge (t d-1), Q(s-est) is the solid discharge estimated by the model (t d-1), Q(s-obs) is the average of the values observed solid discharge (t d-1) and n is the number of observations.
The Nash-Sutcliffe (NSE) index, in addition to being widely used, is considered an important criterion for the evaluation of hydrological models (OUELLET-PROULX et al., 2016; GHAFARI et al., 2017; AHN & STEINSCHNEIDE, 2018; AR et al., 2018). Its value ranges from -∞ to 1, where 1 indicates perfect fit of the model, NSE > 0.75 indicates good fit, 0.36 < NSE < 0.75 indicates satisfactory fit and NSE < 0.36 indicates unsatisfactory fit (MOTOVILOV et al., 1999).
The root of the mean square error (RMSE) measures the accuracy of the models based on the magnitude of the errors, presenting high sensitivity to the divergences between estimated and observed values (WANG & LU, 2018). The mean absolute deviations (D) measure trends in the estimates produced by the models in relation to the observed data (HOROWITZ, 2003). For these two statistics, the lower the resulting value, the greater the accuracy of the model.
3 RESULTS AND DISCUSSION
3.1 Hydrosedimentological characterization
First, it was evaluated how the concentrations and, consequently, the solid discharges responded to the two conducts adopted for the sampling of suspended and composite sediments, for the same flows (Table 1). In Figure 3, taking the 45º line as a parameter of perfect correlation, it is observed that the concentrations of the extra samples underestimated the concentrations of the composite samples, given the considerable range of points in the upper part of the line. Although composite sampling is more used in practice, extra sampling helped to outline the section's hydrosedimentological profile through the individual analysis of each vertical (Figure 5) and expanded the study of rating curves by offering a parallel method for calculating discharge solid.
For practical reasons, most of the sediment rating curves start from correlations with the flow, however, variables such as soil cover, morphology and climate can be decisive with regard to the production and carrying of sediments (ALMAGRO et al., 2019; COLMAN et al., 2018; GHAFARI et al., 2017), directly influencing the estimated values. The hydrosedimentological monitoring of the Caiabi River microbasin is something recent, therefore, the discussion on this theme is still limited by the absence of serial data. Comparing the data observed in the Caiabi River (Table 1) with those of other rivers, located in basins with similar or different characteristics, shows that the establishment of standards is something really complex.
Table 1 – Patterns of hydrosedimentological variables observed in the control section of the Caiabi River from 2018 to 2020
|
Variable |
Minimum |
Maximum |
|
Elevation(m) |
1,98 |
3,52 |
|
Q (m3.s-1) |
5,95 |
16,14 |
|
Css (mg.L-1) |
3,85 |
20,59 |
|
C(ss-v) (mg.L-1) |
3,02 |
16,29 |
|
Qss (t.d-1) |
2,21 |
28,71 |
|
Q(ss-v) (t.d-1) |
1,55 |
22,82 |
|
Qbl(t.d-1) |
0,01 |
1,06 |
|
Qts (t.d-1) |
2,33 |
28,87 |
|
Q(ts-v) (t.d-1) |
1,90 |
23,08 |
In were: Q: Flow rate; Css: concentration of suspended sediments in composite samples; C(ss-v): concentration of suspended sediment in extra samples in verticals; Qss: solid discharge in suspension by composite samples; Q(ss-v): solid discharge in suspension by extra samples in verticals; Qbl: bed load discharge; Qts: total solid discharge by composite samples and bed load; Q(ts-v): total solid discharge by extra vertical samples and bed load.
Figure 3 – Relationship between average concentrations in verticals (Css-v average) and concentrations in the composite samples (Css) in the control section of the Caiabi River from 2018 to 2020
Source: Authors (2020)
Peixoto et al. (2018) found Css between 7.25 and 16.25 mg L-1, for flows between 33.78 and 48.25 m3 s-1, in upstream sampling of three small hydroelectric plants on the Ivaí River, located in a predominantly agricultural region. Watanabe et al. (2018) found Css between 5 and 35 mg L-1 and Qss between 2.18 and 8.15 t d-1, for flows between 1 and 3.5 m3 s-1, in two sub-basins of the Mutum-Parana River named for the predominant occupation as "Forest" and "Livestock", registering the lowest sediment input in the "Forest" sub-basin. Latuf et al. (2019) found average Css equal to 45.1 mg L-1 and average Qss equal to 49.9 t d-1 in the Machado River basin, which accounts for 41.7% of its area occupied by forest and the remainder by areas mainly anthropized by coffee cultivation. It is noted that the concentrations and solid discharges observed in the Caiabi River are close to those of the first two studies and different from the third, despite the similarities in land occupation.
Although the climatic aspect of the Caiabi River microbasin results in hydro-sedimentological variables of considerable amplitude, other basins presented much larger amplitudes, mainly during precipitation events. During the dry season of the Piranhas River, located in the northeastern semiarid, Garrido et al. (2018) found Css between 2.53 and 8.80 mg L-1 and Qts between 11.82 and 27.55 t d-1, for flows between 9.68 and 10.76 m3 s-1. With the onset of precipitation, dry and exposed soil favored the carrying of sediments, resulting in Css between 15.62 and 161.99 mg L-1 and Qts between 26.16 and 488.66 t d-1, for flows between 7.31 and 25.06 m3 s-1. In the low course of the Cabaçal River, characterized by the formation of wetlands and alluvies, Lima et al. (2018) observed Css between 120 and 630 mg L-1 and Qss between 97.67 and 1,589.30 t d-1, for flows between 3.34 to 78.86 m3 s-1. In the Acre River, located in a region of significant seasonal variation and increasing deforestation, Latuf & Amaral (2015) found Css between 27 and 822 mg L-1 and Qss between 71.3 and 165,052.3 t d-1 for flows between 21.9 and 2,324.0 m3 s-1. On the Saint John River, where 83% of the basin's area is occupied by forest, Ouellet-Proulx et al. (2016) found an average Css of 54.34 mg L-1, with a peak of 1,650 mg L-1, for an average flow of 697.00 m3 s-1, with a peak of 2,950 m3 s-1. In the Riacho Fundo stream, located in an area of intense urbanization, Aquino et al. (2018) found a maximum Css of 11,340 mg L-1 and a maximum flow of 64.44 m3 s-1. On the Celone River, in a mountain region, De Girolamo et al. (2015) found a maximum Css 7,130 mg L-1 for a maximum flow of 23.50 m3 s-1. In a historical series of data from contributory basins in Lake Tana, a region with a monsoon climate, Moges et al. (2016) observed Css of up to 14,000 mg L-1.
It is observed that the sedimentary input measured in the Caiabi River was relatively low, corroborating the statement by Andrietti et al. (2016) that the waters of this river are of good quality thanks to the presence of native vegetation, conservation of riparian forest and dilution effect of tributaries. Morphologically, the wavy-plane relief is also a factor to be considered, since it makes the watershed less susceptible to erosive processes, regulating soil loss and the carrying of sediments to the exudatory, even with the present agricultural practices.
Figure 4 illustrates the average hydrosedimentometric profiles outlined from the flow, sediment concentration, solid discharge in suspension and bed load discharge from each vertical.
It is observed that the sedimentary input measured in the Caiabi River was relatively low, corroborating the statement by Andrietti et al. (2016) that the waters of this river are of good quality thanks to the presence of native vegetation, conservation of riparian forest and dilution effect of tributaries. Morphologically, the wavy-plane relief is also a factor to be considered, since it makes the watershed less susceptible to erosive processes, regulating soil loss and the carrying of sediments to the exudatory, even with the present agricultural practices.
Figure 4 illustrates the average hydrosedimentometric profiles outlined from the flow, sediment concentration, solid discharge in suspension and bed load discharge from each vertical.
The flow distribution (Figure 4a) followed the geometry of the cross section (Figure 2), with higher flows in the central portions of the channel (deeper) and smaller flows close to the margins (less deep), with vertical 10 being the smallest contributor, below 3%, and vertical 5 the largest, around 14%. The average concentration in the verticals (Figure 4b) and the solid drag discharge (Figure 4d) obtained profiles with the lowest values in vertical 5 and the highest values close to the right margin, especially in vertical 9. In the solid discharge profile shown in Figure 4c, product of the flow (Figure 4a) and the average concentration in the verticals (Figure 4b), it is possible to notice the striking performance of the flow on the sediment transport.
The concentrations of suspended sediments and bed load discharges found in the right portion of the section are due to the natural silting observed from the vertical 7. According to Andrade et al. (2013), geomorphology and hydrodynamics are important factors in the discussion of sedimentary deposition. From such perspective, a hypothesis can be elucidated in order to justify this problem in the Rio Caiabi control section: the presence of intricacies before and after the control section which reduces the speed of flow in verticals 9 and 10 (Figure 4a), an event that, while aligned with the erosive process of the right margin, causes the decantation of the solid material.
Verticals 7 and 9 were responsible for 75% of the observed bed load discharge, which varied between 0.01 and 1.06 t d-1 (Table 1) and presented around 90% sand in the granulometric composition (Figure 5). The seasonal change in flow, close to 300% (Table 1), did not influence the granulometry of the collected material nor did it offer a significant correlation with the solid drag discharge (Figure 6), which, in turn, represented less than 10% of the solid discharge total.
Figure 4 – Percentage average contribution, per vertical, in the flows (a), average concentration per vertical (b), solid suspended discharges (c) and bed load discharges (d), in the control section of the Caiabi river in the period from 2018 to 2020
Source: Authors (2020)
In the northern middle region of the state of Mato Grosso, studies in other microbasins on the Teles Pires River obtained background material with a similar granulometry to that of the Caiabi River (ANDRADE et al., 2017; DAMAS MACHADO et al., 2017; ROCHA et al., 2018). Reflecting the condition of its tributaries, the bottom material collected in some points of the Teles Pires River showed values of fine sand above 95% (MACHADO et al., 2017a; MACHADO et al., 2017b).
Figure 5 – Particle size curve of the bottom material in the control section of the Caiabi River from 2018 to 2020
Source: Authors (2020)
Figure 6 – Relationship between flow and bed load discharge in the control section of the Caiabi River from 2018 to 2020
Source: Authors (2020)
3.2 Rating curves of solid discharge
16 rating curves were made, divided into 4 groups according to the type of sediment sampling in suspension, compound or extra, and type of solid discharge, in suspension or total (Figures 7, 8, 9 and 10). The design of confidence intervals with a 5% significance level helped to better visualize the adherence of the adjustments to the observed data.
There were three different behaviors between the pairs “flow x solid discharge in suspension / total”. In flows up to 10 m3 s-1, the most spread points indicated a certain fluctuation in the solid discharge during the drought and the beginning and end of the rains; in flows between 10 and 14 m3 s-1, the trend of the points indicated more correlated data during the full season; and in flows above 14 m3 s-1, the sharp increase in solid discharge calls attention to factors such as precipitation, as the data were observed in extreme events.
As for the models, the power and exponential adjustments underestimated the solid discharges at flows up to 10 m3 s-1 and overestimated the solid discharges between 10 m3 s-1 and 14 m3 s-1. In flows above 14 m3 s-1, the curve of the exponential adjustment pointed to estimates of solid discharges closer to those observed, while the power model had less accentuated slopes. The polynomial model was the one that best adjusted to solid discharges for flows up to 10 m3 s-1, however, it overestimated solid discharges between 10 m3 s-1 and 14 m3 s-1 and the solid discharges at the flows above of 14 m3 s-1 were underestimated. The linear model, in general, overestimated solid discharges for flows up to 14 m3 s-1 and underestimated solid discharges for flows above this value.
Although the determination coefficient (R2) is used as an indicator of fit quality, there is no consensus on its ideal values for hydrosedimentological studies, however, many authors assess R2 ≥ 0.60 as satisfactory (BELLINASO et al., 2007; DE GIROLAMO et al., 2015; GHAFARI et al., 2017; LATUF et al., 2019; PEIXOTO et al., 2018). According to Horowitz (2003), this statistic is quite insensitive to the estimates derived from the rating curves, thus, one must observe the dispersion measures and not only how well the curve fits the data points.
According to the statistical performance of the models presented in Table 2, for the R² of the adjustments between 0.47 and 0.72, the r values indicated strong correlations, the NSE indexes between indicated that the adjustments were very good, the average errors (RMSE) were less than 4 t d-1 and the majority of the mean absolute deviations (D) was less than 40%.
Figure 7 – Behavioral Patterns of power (a), exponential (b), polynomial (c) and linear (d) adjustments for the rating curves of solid discharge in suspension by composite samples
Source: Authors (2020)
Figure 8 – Behavioral patterns of power (a), exponential (b), polynomial (c) and linear (d) adjustments for the rating curves of total solid discharge by samples of composite suspended sediments and bed load
Source: Authors (2020)
The rating curves of Qss and Qts obtained the best statistics, except for the root of the mean square errors (RMSE), which can be justified by the lesser dispersion of the points in the graphs of Q(ss-v) and Q(ts-v). The addition of the bed load discharge (Qbl) to the suspended discharges (Qss and Q(ss-v)) to compose the total solid discharges (Qts and Q(ts-v)) improved the values of RMSE, D and NSE in all models, on the other hand, worsened the correlation coefficients (r) and determination (R²) in the Power and Exponential models. Regarding the R², r, NSE and RMSE indicators, the exponential model presented the best fit, followed by the power, polynomial and linear models. For the deviations (D), the highest values were found for the power model, followed by exponential, polynomial and linear models.
Figure 9 – Behavioral patterns of power (a), exponential (b), polynomial (c) and linear (d) adjustments for the rating curves of solid discharge suspended by samples in verticals
Source: Authors (2020)
The statistics of the rating curves of the solid discharge of the Caiabi River are in accordance with sedimentometric studies in other rivers. With data from 6 sub-basins on the Uruguay River, Bellinaso et al. (2007) elaborated 68 Qts rating curves using the power, polynomial and linear models, and found R² between 0.62 and 0.99. For the Acre River, Latuf & Amaral (2015) adjusted the rating curves of Qss using the linear, exponential, logarithmic, polynomial and power models, finding R² between 0.50 and 0.92, correlations (r) between 0.51 and 1.00 and NSE between -444.40 and 0.87. For the Celone River, De Girolamo et al. (2015) found R² equal to 0.61, 0.61 and 0.63 and mean absolute deviations (D) equal to 60, 60 and 58% for Css rating curves of the power, linear and polynomial grade 2 models, respectively. Moges et al. (2016) found coefficients of determination (R2) between 0.64 and 0.89 and efficiency indices (NSE) between 0.61 and 0.83 for Css rating curves of the power model in contributing Lago basins Tana. Menezes et al. (2021) found R2 between 0.79 and 0.83 in the construction of the Qts rating curve for the Sinos River.
Figure 10 – Behavioral patterns of power (a), exponential (b), polynomial (c) and linear (d) adjustments for the rating curves of total solid discharge by sediment samples suspended in verticals and bed load
Source: Authors (2020)
Table 2 – Statistical performance of the sediment rating curve models for the control section of the Caiabi River from data from the period 2018 to 2020
|
Rating curve |
Model |
R² |
r |
NSE |
RMSE |
D |
|
Qss |
Wattage |
0,63 |
0,79 |
0,90 |
3,14 |
42,43 |
|
Exponential |
0,72 |
0,85 |
0,92 |
2,76 |
35,72 |
|
|
Polynomial |
0,60 |
0,78 |
0,89 |
3,18 |
31,98 |
|
|
Linear |
0,53 |
0,73 |
0,85 |
3,75 |
26,39 |
|
|
Qts |
Wattage |
0,62 |
0,79 |
0,90 |
2,98 |
35,56 |
|
Exponential |
0,70 |
0,84 |
0,93 |
2,64 |
32,92 |
|
|
Polynomial |
0,61 |
0,78 |
0,91 |
2,98 |
30,55 |
|
|
Linear |
0,54 |
0,74 |
0,88 |
3,42 |
24,55 |
|
|
Q(ss-v) |
Wattage |
0,64 |
0,80 |
0,87 |
2,52 |
78,89 |
|
Exponential |
0,72 |
0,85 |
0,90 |
2,19 |
53,06 |
|
|
Polynomial |
0,55 |
0,74 |
0,86 |
2,65 |
35,28 |
|
|
Linear |
0,47 |
0,68 |
0,81 |
3,11 |
29,52 |
|
|
Q(ts-v) |
Wattage |
0,58 |
0,76 |
0,88 |
2,50 |
51,69 |
|
Exponential |
0,68 |
0,82 |
0,91 |
2,20 |
44,58 |
|
|
Polynomial |
0,55 |
0,74 |
0,88 |
2,52 |
38,42 |
|
|
Linear |
0,47 |
0,69 |
0,84 |
2,86 |
27,68 |
In were: R2: Wattage coefficient; r: correlation coefficient; NSE: Nash-Sutcliffe efficiency index; RMSE: root of the mean squared errors in t.d-1; e D: absolute mean deviations in %.
4 CONCLUSION
Statistically, the total solid discharge obtained from the combination of samples formed by suspended sediments and bed load sediments samples is the one that better represents the sediment flow in the section by showing the rating curve of the exponential model the best fit to the observed data.
Although the Caiabi River has low sediment transportation based on the hydrosedimentometric design carried out, further study of the geomorphological and hydrodynamic characteristics close to the section is suggested in order to better understand the fluvial dynamics of this water body.
ACKNOWLEDGEMENTS
To the funding agencies, FAPEMAT and CAPES / ANA, for the resources allocated to the development of this research.
REFERÊNCIAS
ABNT – ASSOCIAÇÃO BRASILEIRA DE NORMAS TÉCNICAS. NBR 7181: Solo-análise granulométrica. Rio de Janeiro, 2016. 12p.
AHN, K. H.; STEINSCHNEIDER, S. Time‐varying suspended sediment‐discharge rating curves to estimate climate impacts on fluvial sediment transport. Hydrological Processes, v. 32, n. 1, p. 102-117, 2018.
ALMAGRO, A.; THOMÉ, T. C.; COLMAN, C. B.; PEREIRA, R. B.; JUNIOR, J. M.; RODRIGUES, D. B. B.; OLIVEIRA, P. T. S. Improving cover and management factor (C-factor) estimation using remote sensing approaches for tropical regions. International Soil and Water Conservation Research, v. 7, n. 4, p. 325-334, 2019.
ANA - AGÊCIA NACIONAL DE ÁGUAS (BRASIL). Medição de descarga líquida em grandes rios: manual técnico. 2ª ed. Brasília: ANA, 2014. 94p
ANDRADE, L. N. P. S.; CHAVES, I. J. F.; SILVA, L. A. Caracterização hidrossedimentológica no rio Paraguai Pantanal de Cáceres – Mato Grosso. Revista GeoPantanal, v. 8, n. 14, p. 129-151, 2013.
ANDRADE, B. C.; MACHADO, C. S. D.; CARVALHO, L. R.; SILVA ANDRADE, L. N. P. Aporte de sedimentos no rio Teles Pires: ambiente de confluência entre o rio Matrinxã no município de Nova Canaã do Norte/Mato Grosso. Os Desafios da Geografia Física na Fronteira do Conhecimento, v. 1, p. 947-952, 2017.
ANDRIETTI, G.; FREIRE, R.; AMARAL, A. G. D.; ALMEIDA, F. T. D.; BONGIOVANI, M. C.; SCHNEIDER, R. M. Índices de qualidade da água e de estado trófico do rio Caiabi, MT. Revista Ambiente & Água, v. 11, n. 1, p. 162-175, 2016.
APHA – AMERICAN PUBLIC HEALTH ASSOCIATION. Standard Methods for examination of water and wastewater. 22ª ed. Washington: APHA, 2012. 1360p.
AQUINO, I. G.; ROIG, H. L.; OLIVEIRA, E. S.; GARNIER, J.; GUIMARÃES, E. M.; KOIDE, S. Variação temporal da descarga sólida em suspensão e identificação de minerais a partir de aperfeiçoamento de método de amostragem automática no Córrego Riacho Fundo, Brasília, Distrito Federal. Geologia USP. Série Científica, v. 18, n. 2, p. 171-185, 2018.
BELLINASO, T. B.; DORNELLES, F.; GOLDENFUM, J. A. Avaliação de incertezas na determinação de curvas-chave de sedimentos ajustadas por mínimos quadrados. In: XVII SIMPÓSIO BRASILEIRO DE RECURSOS HÍDRICOS, 2007, São Paulo. Anais... São Paulo: ABRH, v. 17, 2007, p. 1-20.
BERNINI, H.; MARTINEZ, J. M.; OLIVETI, D.; ROIG, H. L.; PINHEIRO, J. A. C. Descarga Sólida em Suspensão e dinâmica fluvial na bacia do rio Madeira: um perfil no período de cheia hidrológica. In: IX SEMINÁRIO LATINO-AMERICANO E V SEMINÁRIO IBERO-AMERICANO DE GEOGRAFIA FÍSICA, 2016, Guimarães. Anais... Braga: CEGOT, Universidade do Minho, 2016, p. 1-12.
BUSSI, G.; DARBY, S. E.; WHITEHEAD, P. G.; JIN, L.; DADSON, S. J.; VOEPEL, H. E.; VASILOPOULOS, G.; HACKNEY, C. R.; HUTTON, C.; BERCHOUX, T.; PARSONS, D. R.; NICHOLAS, A. Impact of dams and climate change on suspended sediment flux to the Mekong delta. Science of the Total Environment, v. 755, p. 142468, 2021.
CARVALHO, N. O. Hidrossedimentologia Prática. 2ª ed. Rio de Janeiro: Interciência, 2008. 599p.
COLMAN, C. B.; GARCIA, K. M. P.; PEREIRA, R. B.; SHINMA, E. A.; LIMA, F. E.; GOMES, A. O.; OLIVEIRA, P. T. S. Different approaches to estimate the sediment yield in a tropical watershed. Revista Brasileira de Recursos Hídricos, v. 23, p. 1-9, 2018.
DAMAS MACHADO, C. S.; SANTO ANDRADE, F. J. D. E.; SILVA ANDRADE, L. N. P.; SANTOS, M. Ambiente de confluência: um estudo de caso no rio Cavalo Morto, afluente da margem esquerda do rio Teles Pires no município de Nova Canaã do Norte-Mato Grosso. Os Desafios da Geografia Física na Fronteira do Conhecimento, v. 1, p. 860-865, 2017.
DE GIROLAMO, A. M.; PAPPAGALLO, G.; LO PORTO, A. Temporal variability of suspended sediment transport and rating curves in a Mediterranean river basin: The Celone (SE Italy). Catena, v. 128, p. 135-143, 2015.
GALLARDO, A. L. C. F.; SILVA, J. C.; GAUDERETO, G. L.; SOZINHO, D. W. F. A avaliação de impactos cumulativos no planejamento ambiental de hidrelétricas na bacia do rio Teles Pires (região amazônica). Desenvolvimento e Meio ambiente, v. 43, Edição Especial: Avaliação de Impacto Ambiental, p. 22-47, 2017.
GARRIDO, J. W. A.; SOUSA, T. M. I.; ISMAEL, L. L.; CRISPIM, D. L.; FERREIRA, P. M. L.; QUEIROZ, M. M. F. Determinação das curvas-chave de descargas de sedimentos em suspensão na bacia hidrográfica do Rio Piancó-Piranhas-Açu. Eng. sanit. ambient, v.23, n.1, p. 69-75, 2018.
GHAFARI, H.; GORJI, M.; ARABKHEDRI, M.; ROSHANI, G. A.; HEIDARI, A.; AKHAVAN, S. Identification and prioritization of critical erosion areas based on onsite and offsite effects. Catena, v. 156, p. 1-9, 2017.
HOROWITZ, A. J. An evaluation of sediment rating curves for estimating suspended sediment concentrations for subsequent flux calculations. Hydrological processes, v. 17, n. 17, p. 3387-3409, 2003.
LATUF, M. O.; AMARAL, E. F. Estimativa da curva de descarga sólida em suspensão do rio Acre. In: CONGRESSO INTERNACIONAL DE HIDROSSEDIMENTOLOGIA, 2015, Porto Alegre. Anais... Porto Alegre: ABRH, 2015, p. 1-3.
LATUF, M. O.; MUSSELLI, D. G.; CHINEN, H. S. S.; CARVALHO, P. H. S. Aporte sedimentar em suspensão na bacia do rio Machado, sul de Minas Gerais. Caderno de Geografia, v. 29, n. 1, p. 16-35, 2019.
LIMA, C. S.; LIMA, T. E.; SOUZA, C. A. Aspectos hidromorfológicos no baixo curso do rio cabaçal, município de Curvelândia-MT. REVISTA EQUADOR, v. 7, n. 1, p. 20-33, 2018.
MACHADO, N. G.; ESPINOSA, M. M.; BIUDES, M. S.; PENHA, J. M. F. Efeitos do uso do solo sobre riachos de cabeceira na bacia do Rio Cuiabá, Mato Grosso. Ciência e Natura, v. 34, n. 2*, p. 175-192, 2012.
MACHADO, A. D.; ANDRADE, B. C.; LEANDRO, G. R. S.; ANDRADE, L. N. P S. Transporte de sedimentos a jusante da UHE-COLÍDER, no corredor fluvial do rio Teles Pires, Nova Canaã do Norte-Mato Grosso. Os Desafios da Geografia Física na Fronteira do Conhecimento, v. 1, p. 959-964, 2017a.
MACHADO, A. D.; SILVA ANDRADE, L. N. P.; MACHADO, C. S. D.; CARVALHO, L. R. Levantamento e análise de depósitos de sedimentos no corredor fluvial do Rio Teles Pires, entre Itaúba e Nova Canaã do Norte/Mato Grosso. Os Desafios da Geografia Física na Fronteira do Conhecimento, v. 1, p. 915-920, 2017b.
MARIMON, B. S.; LIMA, E. S.; DUARTE, T. G.; CHIEGERATTO, L. C.; RATTER, J. A. Observations on the vegetation of northeastern Mato Grosso, Brazil. IV. An analysis of the Cerrado-Amazonian Forest ecotone. Edinburgh Journal of Botany, v. 63, n. 2-3, p. 323-341, 2006.
MENEZES, D.; MARCUZZO, F. F. N.; PEDROLLO, M. C. R. Sediment yield estimation using the sediment-transport curve. Ciência e Natura, v. 43, p. 17, 2021.
MOGES, M. A.; ZEMALE, F. A.; ALEMU, M. L.; AYELE, G. K.; DAGNEW, D. C.; TILAHUN, S. A.; STEENHUIS, T. S. Sediment concentration rating curves for a monsoonal climate: upper Blue Nile. Soil, v. 2, n. 3, p. 337-349, 2016.
MONTANHER, O. C.; NOVO, E. M. L. M.; SOUZA FILHO, E. E. Temporal trend of the suspended sediment transport of the Amazon River (1984–2016). Hydrological sciences journal, v. 63, n. 13-14, p. 1901-1912, 2018.
MOTOVILOV, Y. G.; GOTTSCHALK, L.; ENGELAND, K.; RODHE, A. Validation of distributed hydrological model against spatial observations. Agricultural and Forest Meteorology, v. 98, p. 257–277, 1999.
OUELLET-PROULX, S.; ST-HILAIRE, A.; COURTENAY, S. C.; HARALAMPIDES, K. A. Estimation of suspended sediment concentration in the Saint John River using rating curves and a machine learning approach. Hydrological Sciences Journal, v. 61, n. 10, p. 1847-1860, 2016.
PEIXOTO, D. W. B.; GUASSELLI, L. A.; PEREIRA FILHO, W. Estimativa de concentração e sedimentos em suspensão a partir de imagens LANDSAT 8 em PCHS no rio Ivaí-RS. Geociências, v. 37, n. 1, p. 147-154, 2018.
PRADO, J. R. S.; DE FIGUEIREDO, D. M.; DORES, E. F. G. C.; HONGYU, K.; DELFINO, A. J. G.; RODRIGUES, D. V. B. Variação da qualidade da água em relação à sazonalidade e ao uso da terra no sul da região Amazônica. Caderno Prudentino de Geografia, v. 2, n. 43, p. 159-184, 2021.
ROCHA, D. M. M.; SILVA ANDRADE, L. N. P. S.; CRUZ ANDRADE, B.; SOUZA, C. A.; GONZALEZ, A. Z. D. Dinâmica fluvial do rio Boa Esperança no município de Terra Nova do Norte/Mato Grosso. Caminhos de Geografia, v. 19, n. 68, p. 168-185, 2018.
SANTOS, H. G.; JACOMINE, P. K. T.; ANJOS, L. H. C.; OLIVEIRA, V. A.; LUMBRERAS, J. F.; COELHO, M. R.; ALMEIDA, J. A.; ARAÚJO FILHO, J. C.; OLIVEIRA, J. B.; CUNHA, T. J. F. Sistema brasileiro de classificação de solos. 5ª ed. Brasília: Embrapa, 2018. 356p. 2018.
SANTOS, I.; FILL, H.D.; SUGAI, M.R.V.B.; BUBA, H.; KISHI, R.T.; MARONE, E.; LATERT, L.F. Hidrometria aplicada. Curitiba: Instituto de Tecnologia para o desenvolvimento, 2001. 372p.
SHUZHEN, L.; JIANPING, Z.; YONG, L.; GANGCAI, L. Impacts of human activities on the land desertification in the Dry-Hot Valley of the Jinshajiang River. Archives of Agronomy and Soil Science, v. 48, n. 4, p. 349-356, 2002.
SILVA, V. P. R.; SILVA, M. T.; SOUZA, E. P. Influence of land use change on sediment yield: a case study of the sub-middle of the São Francisco River basin. Engenharia Agrícola, v. 36, n. 6, p. 1005-1015, 2016.
SOUZA, A. P.; MOTA, L. L.; ZAMADEI, T.; MARTIM, C. C.; ALMEIDA, F. T.; PAULINO, J. Classificação climática e balanço hídrico climatológico no estado de Mato Grosso. Nativa, Sinop, v. 1, n. 1, p. 34-43, 2013.
WANG, W.; LU, Y. Analysis of the mean absolute error (MAE) and the root mean square error (RMSE) in assessing rounding model. In: IOP Conference Series: Materials Science and Engineering. IOP Publishing, v. 324, n. 1, p. 012049, 2018.
WATANABE, M.; DE OLIVEIRA, F. A.; NUNES, D. D.; DA SILVA NUNES, A. C.; DE AGUIAR CAVALCANTE, M. M.; DE AGUIAR, T. C. Análise do impacto do desmatamento no aporte sedimentar de bacias pareadas na Amazônia Ocidental: bacias do rio Mutum-Paraná, Rondônia (Brasil). Revista Brasileira de Geomorfologia, v. 19, n. 3, 2018.
WMO – WORLD METEOROLOGICAL ORGANIZATION. Guide to hydrological practices. Data acquisition and processing, analysis, forecasting and other applications. 5º ed. WMO-No 168, 1994. 770p.
ZAIATZ, A. P. S. R.; ZOLIN, C. A.; VENDRUSCULO, L. G.; LOPES, T. R.; PAULINO, J. Agricultural land use and cover change in the Cerrado/Amazon ecotone: A case study of the upper Teles Pires River basin. Acta Amazonica, v. 48, n. 2, p. 168-177, 2018
Authorship Contribution
1 – Cássio Fernando Simioni
Contribuição: Conceptualization; Formal analysis; Funding acquisition; Writing – original draft
2 – Frederico Terra de Almeida
Contribuição: Conceptualization; Formal analysis; Funding acquisition; Supervision; Writing – original draft
3 – Cornélio Alberto Zolin
Contribuição: Conceptualization; Formal analysis; Funding acquisition; Writing – original draft
4 – Eduardo Morgan Uliana
Contribuição: Conceptualization; Formal analysis; Funding acquisition; Writing – original draft
5 – Adilson Pacheco de Souza
Contribuição: Conceptualization; Formal analysis; Funding acquisition; Writing – original draft
6 – Adriana Marques
Contribuição: Formal analysis; Writing – original draft
Como citar este artigo
SIMIONI, C.F.; ALMEIDA, F.T.; ZOLIN, C.A.; ULIANA, E.M.; SOUZA, A.P.; MARQUE, A. Solid discharge in a microbasin of the Amazon region. Ciência e Natura, Santa Maria, v. 43, e73, p. 01-26, 2021. DOI 10.5902/2179460X64223. Disponível em: https://doi.org/10.5902/2179460X64223. Acesso em: 16 nov. 2021.