|
|
|
|
|
Universidade Federal de Santa Maria
Ci. e Nat., Santa Maria, v.44, e54, 2022
DOI: 10.5902/2179460X63813
ISSN 1980-5098
Submitted: 09/01/2021 • Approved: 02/09/2022 • Published: 25/11/2022
Biology-Zoology
Arctiini Leach, [1815] (Lepidoptera, Erebidae, Arctiinae) in a savanna areas of the Environmental Protection Area Alter do Chão, Santarém, Pará, Brazil
Arctiini Leach, [1815] (Lepidoptera, Erebidae, Arctiinae) ocorrentes em áreas de savanas na Área de Proteção Ambiental Alter do Chão, Pará, Brasil
Danúbia Marcela Pereira Valente I , José Augusto TestonI
I Universidade Federal do Oeste do Pará, Santarém, PA, Brasil
ABSTRACT
The richness and abundance of representatives of Arctiini (Lepidoptera: Erebidae: Arctiinae) was studied considering 88 representative points of savanna in the Alter do Chão Environmental Protection Area (APA), in the municipality of Santarém, state of Pará, Brazil. Moths were sampled monthly from December 2014 to December 2016 (except May 2015), with a light trap, Pennsylvania model, during a new moon night from 6:00 p.m. to 6:00 a.m. the following day. Abundance (N), richness (S) and diversity index (H’), Shannon uniformity (J’) index and Berger-Parker (BP) dominance were analyzed. Wealth estimators “Chao” (1st and 2nd order), “Jackknife” (1st and 2nd order) and “Bootstrap” were also used. A total of 1,375 specimens (N) belonging to 122 species (S) were captured. Idalus multicolor (Rothschild, 1909) and Pheia lateralis Klages, 1906 appear as new records for the Brazilian Amazon. The values for the analyzed parameters were H’= 3.25, J’= 0.67 and BP = 0.33. The estimators and “Bootstrap” (140) and “Jackknife 2nd order” (180) measured that between 14% and 33% of species can still be found, respectively, as shown by the species accumulation curve. The results of this study indicate changes in the faunal composition with an equivalent distribution of species between the Ctenuchina and Phaegopterina subtribes, quite different from anthropized and forested areas that present a predominance of Phaegopterina. In this way, the conservation of savanna fragments present in the APA Alter do Chão contributes to the maintenance of the local fauna and expands the knowledge of Arctiini in the Amazon.
Keywords: Amazon; Light trap; Tiger moths
RESUMO
A riqueza e a abundância dos representantes de Arctiini (Lepidoptera: Erebidae: Arctiinae) foi estudada considerando 88 pontos representativos de savana na Área de Proteção Ambiental Alter do Chão (APA), em Santarém – Pará, Brasil. As mariposas foram amostradas, mensalmente, de dezembro de 2014 a dezembro de 2016 (exceto maio de 2015), com armadilha luminosa, modelo Pensilvânia, durante uma noite de lua nova das 18:00 às 6:00 do dia seguinte. Foram analisadas a abundância (N), a riqueza (S) e os índices de diversidade (H’), uniformidade (J’) de Shannon e a dominância de Berger-Parker (BP). Também foram empregados os estimadores de riqueza “Chao” (1ª e 2ª ordem), “Jackknife” (1ª e 2ª ordem) e “Bootstrap”. Foram capturados 1.375 espécimes (N) pertencentes a 122 espécies (S). Idalus multicolor (Rothschild, 1909) e Pheia lateralis Klages, 1906 constam como novos registros para a Amazônia brasileira. Os valores para os parâmetros analisados foram: H’= 3.25, J’= 0.67 e BP = 0.33. Os estimadores “Bootstrap” (140) e “Jackknife 2ª ordem” (180) mensuraram que ainda podem ser encontradas entre 14% e 33% de espécies, respectivamente, e conforme demonstra a curva de acumulação de espécies. Os resultados deste estudo apontam mudanças na composição faunística com distribuição equivalente de espécies entre as subtribos Ctenuchina e Phaegopterina, bem diferente de áreas antropizadas e florestais que apresentam predominância de Phaegopterina. Desta forma, a conservação dos fragmentos de savanas presentes na APA Alter do Chão contribui para a manutenção da fauna local e amplia o conhecimento de Arctiini na Amazônia.
Palavras-chaves: Amazônia; Armadilha luminosa; Mariposas tigre
The Amazonian savannas occupy an area of 267,164 km2 the Brazilian portion of which corresponds to 112,961 km2 (42.3%) (CARVALHO; MUSTIN, 2017). Savannas occur in isolation (fragments) or along the forest continuum. They are distributed in different climate types, relief and anthropogenic disturbances (SANAIOTTI et al., 2002; SANTOS et al., 2008). According to Prance (1978), Amazonian savanna areas in Brazil are important natural research laboratories, since the living organisms inhabiting them have characteristics that are present in organisms of other savanna areas in South America.
The number of animal species in the Brazilian savannas are not well known but has been estimated for the best-studied groups such as birds, reptiles, amphibians and fish. Invertebrates and mammals (BARBOSA et al., 2007), on the other hand, have been relatively neglected and it is possible that many species will disappear before they are known to science (CARVALHO; MUSTIN, 2017).
The ongoing transformation of the natural habitats of the Brazilian Amazon represents a huge threat to this ecosystem and its biodiversity (VIEIRA et al., 2005). As a response to this and with the aim to protect the national biological heritage, a number of Conservation Units have been created (UCs) (RYLANDS; BRANDON, 2005).
The Alter do Chão Environmental Protection Area (APA Alter do Chão) was created by the Municipal Decree Law No. 17.771 of July 2, 2003. This conservation unit comprises an area of 16,180 hectares, located in the Alter do Chão district in Santarém, western portion of the state of Pará (SANTARÉM, 2003). The vegetation cover is quite diversified, formed by savanna, ombrophilous forest, secondary vegetation and ecotonal areas due to the contact between savannah and forest (RADAMBRASIL, 1976). In the savannah, cerrado fields predominate (OLIVEIRA-FILHO; RATTER, 2002). Cerrado represents an intermediate savannah formation, differentiated by the presence of a tree stratum (COUTINHO, 1978). The great biodiversity of the savannas led Rylands and Pinto (1998) to consider them fauna sanctuaries because they are areas that aim to protect species or biological phenomena. However, this conservation unit is under heavy human pressure from the real estate sector and from disordered urban growth, in addition to other recurrent activities in the region, such as agriculture and logging (ALBERNAZ, 2001).
In order to obtain knowledge of biological diversity, inventories have proved to be essential tools in the search for information, and these generally use insects due to their great diversity and abundance, as they are common throughout the year and are easily sampled (FREITAS et al., 2003; FREITAS et al., 2006). One such group of insects, Arctiini moths, have all those attributes and are also potential biological indicators for environmental monitoring (HILTY; MERELENDER, 2000). Arctiini are colorful and bright (POWELL, 2009), widely distributed in the world, mainly in the Neotropical region, 4,761 species are described (HEPPNER, 1991), in Brazil there are about 1,225 species (FERRO; DINIZ, 2010) and of these, 1,023 in the Amazon (TESTON; FERRO, 2020). In the Amazon region, the Arctiini fauna of the states of Amapá and Pará has been more recently studied (HAWES et al., 2009; TESTON; DELFINA, 2010; TESTON et al., 2012; DELFINA; TESTON, 2013; TESTON; CORREA, 2015; VALENTE et al., 2018).
This study complements earlier efforts of VALENTE et al. (2018) on the study of the Arctiini diversity in protected areas of the Amazon, which emphasized the importance of surveying the local fauna. More specifically, we set out to survey the Arctiini moths in the savanna areas of the APA Alter do Chão, Santarém, state of Pará.
This study was carried out in the savanna areas that encompass about 50 km² (SANAIOTTI, 1996) in the APA Alter do Chão, municipality of Santarém, state of Pará. In addition to savanna, the APA also includes approximately 60 semi-deciduous forest islands, ranging from 0.5 to 360 hectares (BERNARD; FENTON, 2002). Surrounding these formations, secondary forests predominate (SORRENSEN, 2000). Magnusson et al. (2008) described that in these savannas there is a predominance a grass stratum (Paspalum carinatum and Trachypogon plumosus), the presence of an herbaceous inferior stratum of variable height and density, a shrub stratum 60-80 cm high and an arboreal stratum that can reach up to 10 meters in height. The climate type of the region, according to the Köppen’s classification, is humid tropical (Ami). The average annual precipitation in the region is 2,000 mm and the average annual temperature varies between 24 and 27.8 ºC (MIRANDA, 1993).
Samplings were performed monthly during one night, in the new moon phase between December 2014 and December 2016 (except May 2015). For each collection night, a savanna area was selected and 2 to 4 light traps were installed, randomly distributed and individually representing a sampling sites (SS), totaling 88 SS and 103 samples, with some SS being used more than once due to unpredictable situations such as burning in vegetation (Figure 1 and Table 1). The moths were collected, separated and preserved following the methodology described by Valente et al. (2018).
The species were identified by comparison with specimens deposited in the collection of the Laboratório de Estudos de Lepidópteros Neotropicais (LELN) and classified using the specialized literature Vincent and Laguerre (2014) for the subtribes Arctiina, Callimorphina, Phaegopterina, Pericopina, and Spilosomina, and Hampson (1898), Watson et al. (1995) and Weller et al. (2000) for Ctenuchina and Euchromiina.
Figure 1 – Sampling sites in the savannas of APA Alter do Chão, Santarém municipality, Pará state, Brazil. The numbers are geographical coordinates (vide Table 1). In red the village of Alter do Chão, in yellow savanna areas and in green forest areas
Source: Authors (2020)
The following aspects of the Arctiini fauna were evaluated: composition, number of specimens (N), and richness (S). These numbers were then used to calculate richness estimates, using the program EstimateS version 9.1.0 (COLWELL, 2013), applying the non-parametric indexes Chao 1 and 2, Jackknife 1 and 2 and Bootstrap. The species accumulation curve was constructed for the total sampling by the Mao Tau index with a 95% confidence interval with the PAST software version 4.01 (HAMMER et al., 2001). In addition, diversity (H ‘) and Shannon uniformity (J’) indexes, and Berger-Parker (BP).
Table 1 – Sampling sites (SS), geographical coordinates and dates (night from 6 p.m. to 6 a.m.) used for collecting in the savannas of Alter do Chão Protection Area, Santarém, Pará, Brazil
|
SS |
Geographical Coordinates |
Date (night) |
|
1 |
02° 32’ 26.8’’ S 054° 58’ 04.4’’ W |
14/VII/2015; 13/VIII/2015 |
|
2 |
02° 32’ 27.7’’ S 054° 58’ 35.2’’ W |
|
|
3 |
02° 32’ 25.1’’ S 054° 58’ 20.0’’ W |
|
|
4 |
02° 32’ 45.0’’ S 054° 57’ 52.2’’ W |
|
|
5 |
02° 32’ 02.9’’ S 054° 54’ 06.8’’ W |
18/VIII/2015 |
|
6 |
02° 31’ 43.8’’ S 054° 54 ‘18.0’’ W |
|
|
7 |
02° 31’ 09.8’’ S 054° 55’ 30.4’’ W |
18/VIII/2015; 14/IX/2015 |
|
8 |
02° 30’ 43.4’’ S 054° 55’ 35.4’’ W |
18/VIII/2015 |
|
9 |
02° 30’ 59.8’’ S 054° 55’ 33.1’’ W |
14/IX/2015 |
|
10 |
02° 31’ 06.2’’ S 054° 55’ 27.0’’ W |
|
|
11 |
02° 31’ 06.4’’ S 054° 55’ 10.4’’ W |
|
|
12 |
02° 30’ 40.2” S 054° 55’ 29.3” W |
13/X/2015 |
|
13 |
02° 30’ 33.1”S 054° 55’ 01.2” W |
|
|
14 |
02° 30’ 27.4” S 054° 54’ 50.8” W |
|
|
15 |
02° 30’ 13.5” S 054° 54’ 42.1” W |
|
|
16 |
02° 30’ 19.6” S 054° 55’ 42.9” W |
10/XI/2015 |
|
17 |
02° 29’ 55.0”S 054° 55’ 20.3” W |
|
|
18 |
02° 30’ 05.6” S 054° 55’ 11.4” W |
|
|
19 |
02° 30’ 40.7” S 054° 55’ 47.2” W |
11/XI/2015 |
|
20 |
02° 30’ 30.2” S 054° 55’ 35.9” W |
|
|
21 |
02° 30’ 12.9” S 054° 55’ 30.2” W |
|
|
22 |
02° 30’ 04.2”S 054° 54’ 53.3” W |
|
|
23 |
02° 30’ 07.9”S 054° 53’ 29.1” W |
09/XII/2015 |
|
24 |
02° 30’ 10.8” S 054° 53’ 34.4” W |
|
|
25 |
02° 30’ 09.6” S 054° 54’ 00.3” W |
|
|
26 |
02° 30’ 10.2” S 054° 54’ 26.7” W |
|
|
27 |
02° 29’ 46.0” S 054° 53’ 43.9” W |
10/XII/2015 |
|
28 |
02° 29’ 47.9” S 054° 54’ 04.0” W |
|
|
29 |
02° 29’ 43.7” S 054° 54’ 32.4” W |
|
|
30 |
02° 29’ 49.0” S 054° 54’ 38.0” W |
|
|
31 |
02° 29’ 45.8” S 054° 55’ 19.8” W |
07/I/2016 |
|
32 |
02° 29’ 39.9” S 054° 55’ 21.5” W |
|
|
33 |
02° 29’ 39.7” S 054° 55’ 13.3” W |
|
|
34 |
02° 29’ 44.4” S 054° 55’ 13.4” W |
|
|
35 |
02° 29’ 27.9” S 054° 55’ 06.0” W |
11/II/2016 |
|
36 |
02° 29’ 21.0” S 054° 54’ 50.7” W |
|
|
37 |
02° 29’ 25.0” S 054° 54’ 39.0” W |
|
|
38 |
02° 29’ 10.5” S 054° 54’ 10.8” W |
|
|
39 |
02° 27’ 47.5’’ S 054° 53’ 05.4’’ W |
23/XII/2014; 21/I/2015; 19/II/2015; 22/III/2015; 21/IV/2015; 15/VI/2015 |
|
40 |
02° 27’ 42.1’’ S 054° 53’ 40.1’’ W |
|
|
41 |
02° 27’ 25.8’’ S 054° 52’ 32.8’’ W |
15/VI/2015 |
|
42 |
02° 27’ 11.6’’ S 054° 52’ 50.5’’ W |
|
|
43 |
02° 28’ 55.0” S 054° 53’ 53.5” W |
09/III/2016 |
|
44 |
02° 28’ 28.4” S 054° 53’ 52.5” W |
|
|
45 |
02° 28’ 13.0” S 054° 53’ 52.5” W |
|
|
46 |
02° 27’ 51.5” S 054° 53’ 49.9” W |
|
|
47 |
02° 26’ 58.1” S 054° 53’ 47.8” W |
04/IV/2016 |
|
48 |
02° 27’ 26.3” S 054° 53’ 44.5” W |
|
|
49 |
02° 27’ 37.3” S 054° 53’ 42.8” W |
|
|
50 |
02° 27’ 40.6” S 054° 53’ 49.2” W |
03/V/2016 |
|
51 |
02° 27’ 36.9” S 054° 53’ 57.5” W |
|
|
52 |
02° 27’ 29.0” S 054° 54’ 04.2” W |
|
|
53 |
02° 27’ 18.4” S 054° 54’ 08.6” W |
|
|
54 |
02° 27’ 16.3” S 054° 54’ 14.0” W |
01/VI/2016 |
|
55 |
02° 27’ 10.3” S 054° 54’ 07.3” W |
|
|
56 |
02° 27’ 04.7” S 054° 54’ 03.1” W |
|
|
57 |
02° 27’ 11.6” S 054° 54’ 12.6” W |
|
|
58 |
02° 29’ 14.8” S 054° 53’ 27.1” W |
04/VII/2016 |
|
59 |
02° 28’ 57.4” S 054° 53’ 03.2” W |
|
|
60 |
02° 28’ 53.3” S 054° 52’ 53.0” W |
|
|
61 |
02° 29’ 26.1” S 054° 53’ 43.4” W |
|
|
62 |
02° 27’ 47.2” S 054° 52’ 48.7” W |
01/VIII/2016 |
|
63 |
02° 27’ 48.3” S 054° 53’ 00.9” W |
|
|
64 |
02° 27’ 44.6” S 054° 53’ 17.1” W |
|
|
65 |
02° 27’ 42.9” S 054° 53’ 30.4” W |
|
|
66 |
02° 31’ 51.9” S 054° 54’ 13.1” W |
29/VIII/2016 |
|
67 |
02° 31’ 47.3” S 054° 54’ 08.4” W |
|
|
68 |
02° 31’ 45.3” S 054° 53’ 56.7” W |
|
|
69 |
02° 31’ 33.7” S 054° 53’ 55.2” W |
|
|
70 |
02° 27’ 56.3” S 054° 52’ 43.4” W |
27/IX/2016 |
|
71 |
02° 28’ 04.6” S 054° 52’ 46.3” W |
|
|
72 |
02° 28’ 11.7” S 054° 52’ 52.4” W |
|
|
73 |
02° 28’ 18.7” S 054° 52’ 56.9” W |
|
|
74 |
02° 28’ 05.4” S 054° 52’ 32.8” W |
24/X/2016 |
|
75 |
02° 28’ 15.6” S 054° 52’ 43.5” W |
|
|
76 |
02° 28’ 24.4” S 054° 52’ 46.3” W |
|
|
77 |
02° 28’ 35.1” S 054° 52’ 58.1” W |
|
|
78 |
02° 28’ 05.1” S 054° 52’ 20.8” W |
28/X/2016 |
|
79 |
02° 28’ 14.3” S 054° 52’ 27.7” W |
|
|
80 |
02° 28’ 25.6” S 054° 52’ 32.9” W |
|
|
81 |
02° 28’ 38.4” S 054° 52’ 38.0” W |
|
|
82 |
02° 28’ 02.5” S 054° 53’ 47.1” W |
24/XI/2016 |
|
83 |
02° 28’ 17.7” S 054° 53’ 48.7” W |
|
|
84 |
02° 28’ 31.2” S 054° 53’ 49.2” W |
|
|
85 |
02° 29’ 20.4” S 054° 53’ 50.6” W |
27/XII/2016 |
|
86 |
02° 28’ 47.4” S 054° 54’ 00.3” W |
|
|
87 |
02° 28’ 35.2” S 054° 54’ 09.4” W |
|
|
88 |
02° 28’ 25.5” S 054° 54’ 20.9” W |
Source: Authors (2020)
A total of 1,375 specimens (N) distributed in 122 species (S) were registered, belonging to the subtribes Arctiina, Callimorphina, Ctenuchina, Euchromiina, Pericopina and Phaegopterina, only Spilosomina were not found (Table 2).
Ctenuchina (S = 41) and Phaegopterina (S = 40) were the subtribes with the highest species richness and Arctiina was the most representative in number of specimens (N = 465) (Table 2).
The most abundant species, in ascending order, were as follows: Trichromia perversa (Rothschild, 1909) (N= 62), Macrocneme adonis Druce, 1884 (N= 69), Delphyre dizona (Druce, 1898) (N= 71), Dycladia lucetius (Stoll, 1781) (N= 73) and Pseudalus limona Schaus 1896 (N= 459) (Table 2).
Table 2 – Specific abundance (N) of Arctiini collected with light traps in the savanna of APA Alter do Chão, Santarém, Pará, Brazil, from December 2014 to December 2016
|
Subtribes/Species |
N |
|
|
Arctiina |
465 |
|
|
1 |
Hypercompe cunigunda (Stoll, [1781]) |
1 |
|
2. |
Pseudalus limona Schaus, 1896 |
459 |
|
3 |
Virbia subapicalis (Walker, 1854) |
5 |
|
Callimorphina |
24 |
|
|
4 |
Utetheisa ornatrix (Linnaeus, 1758) |
24 |
|
Ctenuchina |
234 |
|
|
5 |
Abrochia discoplaga (Schaus, 1905) |
2 |
|
6 |
Abrochia fulvisphex (Druce, 1898) |
16 |
|
7 |
Aclytia gynamorpha Hampson, 1898 |
1 |
|
8 |
Aclytia heber (Cramer, [1780]) |
17 |
|
9 |
Aclytia punctata Butler, 1876 |
9 |
|
10 |
Correbia lycoides (Walker, 1854) |
7 |
|
11 |
Correbia sp. |
1 |
|
12 |
Correbidia assimilis (Rothschild, 1912) |
1 |
|
13 |
Correbidia calopteridia (Butler, 1878) |
6 |
|
14 |
Delphyre aclytioides (Hampson, 1901) |
4 |
|
15 |
Delphyre dizona (Druce, 1898) |
71 |
|
16 |
Delphyre flaviceps (Druce, 1905) |
3 |
|
17 |
Delphyre pusilla (Butler 1878) |
2 |
|
18 |
Delphyre roseiceps Dognin, 1909 |
1 |
|
19 |
Delphyre sp.1 |
10 |
|
20 |
Delphyre sp.2 |
2 |
|
21 |
Epanycles imperialis (Walker, 1854) |
8 |
|
22 |
Epidesma ursula (Cramer, 1782) |
3 |
|
23 |
Episcepsis sp.1 |
7 |
|
24 |
Episcepsis sp.2 |
2 |
|
25 |
Episcepsis sp.3 |
2 |
|
26 |
Episcepsis sp.4 |
3 |
|
27 |
Eucereon maia Druce, 1884 |
1 |
|
28 |
Eucereon metoidesis Hampson, 1905 |
1 |
|
29 |
Eucereon obscura (Möschler, 1872) |
1 |
|
30 |
Eucereon pseudarchias Hampson, 1898 |
1 |
|
31. |
Eucereon varia (Walker, 1854) |
1 |
|
32 |
Eucereon sp. |
1 |
|
33 |
Heliura excavata (Dognin,1910) |
1 |
|
34 |
Heliura suffusa (Lathy, 1899) |
1 |
|
35 |
Heliura tetragrama (Walker, 1854) |
13 |
|
36 |
Heliura zonata Druce, 1905 |
5 |
|
37 |
Heliura sp. |
12 |
|
38 |
Hyaleucerea erythrotela (Walker, 1854) |
2 |
|
39 |
Hyaleucerea vulnerata Butler, 1875 |
3 |
|
40 |
Hypocladia elongata Druce, 1905 |
1 |
|
41 |
Lymire metamelas (Walker, 1854) |
3 |
|
42 |
Pseudopompilia mimica Druce, 1898 |
1 |
|
43 |
Telioneura albapex (Druce, 1898) |
5 |
|
44 |
Telioneura glaucopis R. Felder, 1869 |
1 |
|
45 |
Telioneura hypophaeus (Hampson, 1905) |
2 |
|
Euchromiina |
423 |
|
|
46 |
Calonotos aequimaculatus Zerny, 1931 |
13 |
|
47 |
Calonotos helymus (Cramer, [1775]) |
2 |
|
48 |
Calonotos triplaga (Hampson, 1909) |
10 |
|
49 |
Cosmosoma achemon (Fabricius, 1781) |
47 |
|
50 |
Cosmosoma admota (Herrich-Schäffer, [1854]) |
2 |
|
51 |
Cosmosoma consolata (Walker, 1856) |
2 |
|
52 |
Cosmosoma metallescens (Ménétrie, 1857) |
6 |
|
53 |
Cosmosoma teuthras (Walker, 1854) |
2 |
|
54 |
Dycladia lucetius (Stoll, [1781]) |
73 |
|
55 |
Hyda basilutea (Walker,1854) |
13 |
|
56 |
Isanthrene sp. |
3 |
|
57 |
Leucotmemis dorsalis (Walker, 1854) |
24 |
|
58 |
Leucotmemis nexa (Herrich Schäffer, [1854]) |
1 |
|
59 |
Loxophlebia sp. |
2 |
|
60 |
Macrocneme adonis Druce, 1884 |
69 |
|
61 |
Macrocneme lades (Cramer, [1775]) |
1 |
|
62 |
Macrocneme thyridia Hampson, 1898 |
30 |
|
63 |
Macrocneme zongonata Dietz, 1994 |
16 |
|
64 |
Macrocneme sp. |
1 |
|
65 |
Orcynia calcarata (Walker, 1854) |
4 |
|
66 |
Pheia gaudens (Walker, 1856) |
2 |
|
67 |
Pheia lateralis Klages, 1906* |
2 |
|
68 |
Pheia utica (Druce, 1889) |
20 |
|
69 |
Phoenicoprocta corvica (Dognin, 1910) |
20 |
|
70 |
Phoenicoprocta vacillans (Walker, 1856) |
4 |
|
71 |
Poecilosoma chrysis Hübner, 1823 |
1 |
|
72 |
Poecilosoma eone (Hübner, 1827) |
3 |
|
73 |
Poliopastea anthracina (Klages, 1906) |
2 |
|
74 |
Poliopastea plumbea Hampson, 1898 |
20 |
|
75 |
Pompiliodes aliena (Walker, 1854) |
7 |
|
76 |
Rhynchopyga discalba Kaye, 1918 |
5 |
|
77 |
Sarosa acutior (R. Felder, 1869) |
1 |
|
78 |
Saurita cassandra (Linnaeus, 1758) |
3 |
|
79 |
Saurita sp. |
2 |
|
80 |
Sesiura sp. |
9 |
|
81. |
Valvaminor desperata (Walker, 1856) |
1 |
|
Pericopina |
4 |
|
|
82 |
Calodesma collaris (Drury, 1782) |
4 |
|
Phaegopterina |
225 |
|
|
83 |
Agaraea semivitrea (Rothschild, 1909) |
2 |
|
84 |
Amaxia pseudodyuna Rothschild, 1922 |
1 |
|
85 |
Ammalo helops (Cramer, [1776]) |
2 |
|
86 |
Apiconoma opposita (Walker, 1854) |
5 |
|
87 |
Azatrephes discalis (Walker, 1856) |
10 |
|
88 |
Baritius eleutheroides Rothschild, 1909 |
2 |
|
89 |
Euplesia sphingidea (Perty, [1833]) |
1 |
|
90 |
Haemaphlebiella strigata Jones, 1914 |
1 |
|
91 |
Haemaphlebiella sp. |
1 |
|
92 |
Himerarctia griseipennis (Rothschild, 1909) |
4 |
|
93 |
Hyperandra novata (Dognin, 1924) |
4 |
|
94 |
Idalus admirabilis (Cramer, [1777]) |
2 |
|
95 |
Idalus carinosa (Schaus, 1905) |
27 |
|
96 |
Idalus citrina Druce, 1890 |
13 |
|
97 |
Idalus critheis Druce, 1884 |
1 |
|
98 |
Idalus lineosus Walker, 1869 |
5 |
|
99 |
Idalus multicolor (Rothschild, 1909) * |
1 |
|
100 |
Ischnognatha semiopalina Felder & Rogenhofer, 1874 |
1 |
|
111 |
Regobarrosia flavescens (Walker, 1856) |
1 |
|
112 |
Rhipha strigosa (Walker, 1854) |
4 |
|
113 |
Robinsonia dewitzi Gundlach, 1881 |
1 |
|
114 |
Scaptius asteroides (Schaus, 1905) |
1 |
|
115 |
Scaptius sanguistrigata (Dognin, 1910) |
4 |
|
116 |
Scaptius submarginalis (Rothschild, 1909) |
26 |
|
117 |
Scaptius sp. |
1 |
|
118 |
Selenarctia elissa (Schaus, 1892) |
4 |
|
119 |
Trichromia perversa (Rothschild, 1909) |
62 |
|
120 |
Trichromia sp.1 |
1 |
|
121 |
Trichromia sp.2 |
2 |
|
122 |
Viviennea moma (Schaus, 1905) |
2 |
|
Total |
1,375 |
Source: Authors (2020)
In where: The species marked with (*) are new records for the Brazilian Amazon
Idalus multicolor (Rothschild, 1909) and Pheia lateralis Klages, 1906 are new records for the Brazilian Amazon (Table 2).
The species represented by only one individual or “singletons” 40 (32%) and by two individuals or “doubletons” 23 (19%) (Table 3), contributed more than half to the species composition of Arctiini.
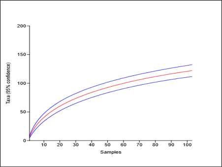
The maximum and minimum estimates of species richness were for “Jackknife 2” (180) and “Bootstrap” (140), which correspond to 67% and 86%, respectively, of the total species collected (Table 3) and corroborate the behavior of the species accumulation curve, which has not yet reached the asymptote (Figure 2).
Shannon’s diversity and evenness indexes were H’= 3.25 and J’= 0.67, respectively, and Berger-Parker dominance BP = 0.33.
Table 3 – Samples, specimens, species, frequencies (singletons, doubletons, unique and duplicates) and richness estimates (Chao 1, Chao 2, Jackknife 1, Jackknife 2 e Bootstrap) of the Arctiini species (Lepidoptera, Erebidae, Arctiinae) sampled with light traps in the savanna areas of APA Alter do Chão, Santarém, Pará, Brazil, from December 2014 to December 2016 (except May 2015)
|
Estimates |
Values |
Percentage of richness observed in relation to the estimated |
|
Samples |
103 |
- |
|
Individuals |
1,375 |
- |
|
Species |
122 |
- |
|
Singletons |
39 |
- |
|
Doubletons |
23 |
- |
|
Uniques |
41 |
- |
|
Duplicates |
23 |
- |
|
Chao 1 |
155 |
78.7% |
|
Chao 2 |
158 |
77.1% |
|
Jackknife 1 |
163 |
75.0% |
|
Jackknife 2 |
180 |
67.6% |
|
Bootstrap |
141 |
86.7% |
Source: Authors (2020)
Figure 2 – Accumulation curve of Arctiini species collected with light traps in the savanna areas of APA Alter do Chão, Santarém, state of Pará, Brazil, from December 2014 to December 2016 (except May 2015)
Source: Authors (2020)
The species richness (S = 122) found for the savanna is approximately 11.92% of the Arctiini fauna inventoried for the Brazilian Amazon, where 1,023 species have been registered (TESTON; FERRO, 2020). When our results are compared with the results of Valente et al. (2018) (S = 91), they reveal a 25.4% increase in richness and 62 species in common (50.8%), however in the previous study Arctiini were sampled in two savanna fragments with two sampling points in one night of collection for each fragment for 12 months.
The proportion of species among the subtribes Ctenuchina (33.6%) and Phaegopterina (32.7%) differed from the results of Valente et al. (2018), who accounted for Euchromiina (35.1%) and Phaegopterina (35.1%) in four sample units. The increased sampling effort of this study resulted in changes in the richness and composition of species between Euchromiina and Ctenuchina. Those two subtribes were strongly representative also in a study carried out in the Cerrado (FERRO; DINIZ, 2007). According to the authors mentioned above, the high heterogeneity of the Cerrado vegetation contributes to the success of Arctiinae due to the use of plants as a resource, this performance can also be expected in the Amazon savannas, since it has marked physiognomic similarity with the Cerrado (EITEN, 1983). However, it should be noted that knowledge about the interaction between Arctiini and host plants, habitat use and biology is still limiting (CONNER et al., 2009).
Although the majority of species among the subtribes belong to Phaegopterina in the Neotropical Region (VINCENT; LAGUERRE, 2014), this group was the second in number of species, both in the present study and in Valente et al. (2018). Both studies have in common that they were carried out in the savanna. Other studies in the Amazon had also found that this subtribe was more heavily represented than the others (TESTON; DELFINA, 2010; TESTON et al., 2012; DELFINA; TESTON, 2013; TESTON; CORREA, 2015). Phaegopterina larvae are polyphagous (SCOBLE, 1995) and the adults have great dispersion capacity (HILT, 2005). These characteristics together may partially explain the predominance of this tribe at the local level (HILT; FIEDLER, 2006).
Pseudalus limona Schaus, 1896 was very abundant in samples, as previously verified (VALENTE et al., 2018), a trend that was also observed in areas of Cerrado sensu stricto in the Pirineus in the Goiás State Park (BRAGA; DINIZ, 2015) and in four types of Cerrado vegetation at the Emas National Park in the Brazilian Central Plateau (see supplementary material, MORENO et al., 2014). The high occurrence of P. limona is due to the diversified feeding habit of this polyphagous species (BRAGA; DINIZ, 2015) and suggests that it prefers this type of environment.
The high richness in species coupled with small populations, found in this study, was already expected, as it follows a pattern for the Neotropical region (TESTON; CORSEUIL, 2004; FERRO; DINIZ, 2007; TESTON et al., 2009; TESTON; CORREA, 2015; VALENTE et al., 2018). Singletons were predominant between Phaegopterina and Ctenuchina, the first subtribe, being larger, would increase the probability of sampling dispersion or the occurrence of tourist individuals (HILT; FIEDLER, 2006).
The richness estimates previously presented by Valente et al. (2018) indicated that more species could be collected with the addition of samples, a fact that was confirmed by the number of species and sample units that were added in this study. The highest estimate of richness was influenced by rare species (singletons and doubletons) and the lowest estimate by the incidence of species (DIAS, 2004; MAGURRAN, 2011). However, the sampling effort still needs to be intensified, since the species accumulation curve continues to rise.
Diversity and uniformity in our data surpassed the results of Delfina and Teston (2013) in an anthropized area of the state of Pará; and were lower than the findings of Delfina and Teston (2013) and Teston and Correa (2015) in anthropized and forested areas, respectively. Thus, we can infer that the superiority of the indices of this study is due to the increase in the number of species and the sampling effort, considering that the Shannon diversity index is increased by the addition of species (MAGURRAN, 2011).
Information on the Arctiini fauna in Amazonian savannas is still incipient, however Silveira et al. (2010) emphasized the importance of obtaining several samples during faunal inventories, since this method represents the most direct way of accessing part of the components of the animal diversity in a biome or location, in a given space and time.
Our results suggests that the savanna areas are valuable and serve as natural research laboratories for the study of Amazonian biodiversity, and as a reference base for future research to expand our knowledge of the local Arctiini fauna which presented a different faunal composition of forests and anthropized environments, with a certain balance in the distribution of species between the Ctenuchina and Phaegopterina subtribes. In addition to the occurrence of two new species records for the Brazilian Amazon, it reinforces the importance of savannas and the Alter do Chão Environmental Protection Area for the conservation of our biota.
We thank the project Rede Nacional de Pesquisa e Conservação de Lepidópteros - RedeLep (SISBIOTA – Brasil/CNPq 563332/2010-7) for their logistic support and materials; the Pós-Graduação em Recursos Naturais da Amazônia (PPGRNA) and Secretaria Municipal de Meio Ambiente de Santarém (SEMMA).
ALBERNAZ, A. L. K. M. Zoneamento da região de Alter do Chão, Pará: um exercício de planejamento para uma unidade de conservação de uso direto. 2001. Tese (Doutorado em Ecologia) – Universidade do Amazonas/Instituto Nacional de Pesquisas da Amazônia, Manaus, AM, Brazil, 2001.
BARBOSA, R. I.; CAMPOS, C.; PINTO, F.; FEARNSIDE, P. M. The “Lavrados” of Roraima: Biodiversity and Conservation of Brazil’s Amazonian Savannas. Functional Ecosystems and Communities, [s.l.], v. 1, n. 1, p. 30-42, 2007.
BERNARD, E.; FENTON, M. B. Species diversity of bats (Mammalia: Chiroptera) in forest fragments, primary forests, and savannas in Central Amazonia, Brazil. Canadian journal of Zoology, [s.l.], v. 80, n. 6, p.1124-1140, 2002.
BRAGA, L.; DINIZ, I. R. Importance of Habitat Heterogeneity in Richness and Diversity of Moths (Lepidoptera) in Brazilian Savanna. Environmental Entomology, [s.l.], v. 44, n. 3, p. 499-508, 2015.
CARVALHO, W. D.; MUSTIN, K. The highly threatened and little known Amazonian savannahs. Nature Ecology & Evolution, [s.l.], v. 1, n. 4, p. 1-3, 2017.
COLWELL, R. K. EstimateS: statistical estimation of species richness and shared species from samples. Version 9.1.0. User’s guide and application. 2013. Available in: http://viceroy. eeb.uconn.edu/estimates/EstimateSPages/ EstSUsersGuide/EstimateSUsersGuide.htm. Acesso em: 19 set. 2019.
CONNER, W. E.; HRISTOV, N. I.; BARBER, J. R. Sound strategies: acoustic aposematism, startle, and sonar jamming. In: CONNER, W. E. (ed.) Tiger moths and woolly bears: behaviour, ecology and evolution of Arctiidae. Oxford: Oxford University Press, 2009. p.177–192.
COUTINHO, L. M. O conceito de cerrado. Revista Brasileira de Botânica, [s.l.], v. 1, n. 1, p. 17-23, 1978.
DELFINA, M. C.; TESTON, J. A. Arctiinae (Lepidoptera, Arctiidae) ocorrentes em uma área de pastagem na Amazônia Oriental em Altamira, Pará, Brasil. Acta Amazonica, [s.l.], v. 43, n.1, p. 81-90, 2013.
DIAS, S. C. Planejando estudos de diversidade e riqueza: uma abordagem para estudantes de graduação. Acta Scientiarum, [s.l.], v. 26, n. 4, p. 373-379, 2004.
EITEN, G. Classificação da vegetação do Brasil. Brasília: CNPQ, 1983. 385 p.
FERRO, V. G.; DINIZ, I. R. Composição de espécies de Arctiidae (Insecta, Lepidoptera) em áreas de cerrado. Revista Brasileira de Zoologia, [s.l.], v. 24, n. 3, p. 635-646, 2007.
FERRO, V. G.; DINIZ, I. R. Riqueza e composição das mariposas Arctiidae (Lepidoptera) no Cerrado. In: DINIZ, I. R.; MARINHO-FILHO, J.; MACHADO, R. B.; CAVALCANTI, R. (Eds.). Cerrado: conhecimento quantitativo como subsídio para as ações de conservação. Brasília: Editora Thesaurus, 2010. p. 255-313.
FREITAS, A. V. L.; FRANCINI, R. B.; BROWN JR, K. S. Insetos como indicadores ambientais. In: CULLEN, L.; RUDRAN, R.; VALLADARES-PADUA, C. (Orgs). Métodos de estudos em biologia da conservação e manejo da vida silvestre. Curitiba: Editora UFPR, 2003. p.125-151, 2003.
FREITAS, A. V. L.; LEAL, I. R.; PRADO, M. H.; IANNUZZI, L. Insetos como indicadores de conservação da paisagem. In: ROCHA, C. F. D.; BERGALLO, H. G.; SLUYS, M. V.; ALVES, M. A. S. (Eds.). Biologia da Conservação: Essências. São Carlos: Rima Editora, 2006. p. 357-384.
HAMMER, O.; HARPER, D. A. T.; RYAN, P. D. PAST: Paleontological Statistics software package for education and data analysis. Palaeontologia Electronica, [s.l.], v. 4, n. 1, p. 1-9, 2001.
HAMPSON, G. F. Catalogue of the Lepidoptera Phalaenae in the British Museum. Catalogue of the Syntomidae in the collection of the British Museum. London: Taylor & Francis, 1898. 559 p.
HAWES, J.; MOTTA, C. da S.; OVERAL, W. L.; BARLOW, J.; GARDNER, T. A.; PERES, C. A. Diversity and composition of Amazonian moths in primary, secondary and plantation forest. Journal of Tropical Ecology, [s.l.], v. 25, n. 3, p. 281-300, 2009.
HEPPNER, J. B. Faunal regions and the diversity of Lepidoptera. Tropical Lepidoptera, [s.l.], v. 2, (Suppl. 1), p. 1-85, 1991.
HILT, N. Diversity and species composition of two different moth families (Lepidoptera: Arctiidae vs. Geometridae) along a successional gradient in the Ecuadorian Andes. 2005. 255 f. Thesis (Doctoral in Biology, Chemistry and Earth Sciences) - Universidade de Bayreuth, Bayreuth, 2005.
HILT, N.; FIEDLER, K. Arctiid moth ensembles along a successional gradient in the Ecuadorian montane rain forest zone: how different are subfamilies and tribes? Journal of Biogeography, [s.l.], v. 33, n. 1, p. 108-120, 2006.
HILTY, J.; MERENLENDER, A. Faunal indicator taxa selection for monitoring ecosystem health. Biological conservation, [s.l.], v. 92, n. 2, p. 185-197, 2000.
MAGNUSSON, W. E.; LIMA, A. P.; ALBERNAS, A. L. K. M.; SANAIOTTI, T. M.; GUILLAMET, J. L. Composição florística e cobertura vegetal das savanas na região de Alter do Chão, Santarém - PA. Revista Brasileira de Botânica, [s.l.], v. 31, n. 1, p. 165-177, 2008.
MAGURRAN, A. E. Medindo a diversidade biológica. Curitiba: Ed. UFPR, 2011.
MIRANDA, I. S. Estrutura do estrato arbóreo do cerrado amazônico em Alter do Chão, Pará, Brasil. Revista Brasileira de Botânica, [s.l.], v. 16, n. 2, p. 143-150, 1993.
MORENO, C.; CIANCIARUSO, M. V.; SGARBI, L. F.; FERRO, V. G. Richness and composition of tiger moths (Erebidae: Arctiinae) in a Neotropical savanna: are heterogeneous habitats richer in species? Natureza & Conservação, [s.l.], v. 12, n. 2, p. 138-143, 2014.
OLIVEIRA-FILHO, A. T.; RATTER, J. A. Vegetation physiognomies and wood flora in the Cerrado biome. In: OLIVEIRA, P. S.; MARQUIS, R. J. (Eds) The Cerrados of Brasil: ecology and natural history of a Neotropical savannas. New York: Columbia University Press, 2002. p. 91-120.
POWELL, J. A. Lepidoptera (Moths, Butterflies). In: RESH, V. H.; CARDÉ, R. T. Encyclopedia of Insects. California: Oxford, Elsiever, 2009. p. 559-587.
PRANCE, G. T. Origin and evolution of the Amazon flora. Interciência, [s.l.], v. 3, p. 207-222, 1978.
RADAMBRASIL (Projeto RADAMBRASIL). Folhas SA. 21 - Santarém: geologia, geomorfologia, pedologia, vegetação e uso potencial da terra. Rio de Janeiro: Departamento Nacional de Produção Mineral, 1976.
RYLANDS, A. B.; BRANDON, K. Unidades de conservação brasileiras. Megadiversidade, [s.l.], v.1, n. 1, p. 27-35, 2005.
RYLANDS, A. B.; PINTO, L. P. de S. Conservação da biodiversidade na Amazônia brasileira: uma análise do sistema de unidades de conservação. Fundação Brasileira para o Desenvolvimento Sustentável, [s.l.], v. 1, p. 14-15, 1998.
SANAIOTTI, T. M. The woody flora and soils of seven Brazilian amazonian dry savanna areas. 1996. 145f. Doctoral thesis (Department of Biological and Molecular Sciences) - University of Stirling, Scotland, 1996.
SANAIOTTI, T. M.; MARTINELLI, L. A.; VICTORIA, R. L.; TRUMBORE, S. E.; CAMARGO, P. B. Past vegetation changes in Amazon savannas determined using carbon isotopes of soil organic matter. Biotropica, [s.l.], v. 34, n. 1, p. 2-16, 2002.
SANTARÉM. Decreto n. 17.771, de 2 de julho de 2003. Cria a Área de Proteção Ambiental de Alter do Chão, no Município de Santarém, Estado do Pará, e dá outras providências. Santarém Secretaria Municipal de Administração, Santarém, PA, 02 jul. 2003. Disponível em: http://www.semas.pa.gov.br/2003/07/02/9839/ Acesso em: 19 Jul. 2020.
SANTOS, E. M. R.; FRANKLIN, E.; MAGNUSSON, W. E. Cost-efficiency of subsampling protocols to evaluate oribatid-mite communities in an Amazonian savanna. Biotropica, [s.l.], v. 40, n. 6, p. 728-735, 2008.
SCOBLE, M. J. The Lepidoptera: form, function and diversity. New York: Oxford University Press, 1995.
SILVEIRA, L. F.; BEISIEGEL, B. M.; CURCIO, F. F.; VALDUJO, P. H.; DIXO, M., VERDADE, V. K.; MATTOX, G. M. T.; CUNNINGHAM, P. T. M. Para que servem os inventários de fauna? Estudos Avançados, [s.l.], v. 24, n. 68, p. 173- 207, 2010.
SORRENSEN, C. L. Linking smallholder land use and fire activity: examining biomass burning in the Brazilian Lower Amazon. Forest Ecology and Management, [s.l.], v. 128, n. 1-2, p. 11-25, 2000.
TESTON, J. A.; SILVEIRA, A. P.; CORSEUIL, E. Abundância, composição e diversidade de Arctiinae (Lepidoptera, Arctiidae) num fragmento de Mata Atlântica em Iraí, RS, Brasil. Revista Brasileira de Zoociências, [s.l.], v. 11, n. 1, p. 65-72, 2009.
TESTON, J. A.; CORREA, D. C. V. The Arctiini (Lepidoptera, Erebidae, Arctiinae) fauna of the Serra do Pardo National Park, Pará, Brazil. Check List, [s.l.], v. 11, n. 2, p. 1-9, 2015.
TESTON, J. A.; CORSEUIL, E. Diversidade de Arctiinae (Lepidoptera, Arctiidae) capturados com armadilha luminosa, em seis comunidades no Rio Grande do Sul, Brasil. Revista Brasileira de Entomologia, [s.l.], v. 48, n. 1, p. 77-90, 2004.
TESTON, J. A.; DELFINA, M. C. Diversidade de Arctiinae (Lepidoptera, Arctiidae) em área alterada em Altamira, Amazônia Oriental, Pará, Brasil. Acta Amazonica, [s.l.], v. 40, n. 2, p. 387–396, 2010.
TESTON, J. A.; FERRO, V. G. Arctiini Leach, [1815] (Lepidoptera, Erebidae, Arctiinae) of the Brazilian Amazon. V – Subtribes Arctiina Leach, [1815], Callimorphina Walker, [1865] and Spilosomina Seitz, 1910. Biota Neotropica, [s.l.], v. 20, n. 3, e20200989, 2020.
TESTON, J. A.; NOVAES, J. B.; ALMEIDA JUNIOR, J. O. B. Abundância, Composição e Diversidade de Arctinae (Lepidoptera, Arctiidae) em um fragmento de floresta na Amazônia Oriental em Altamira, PA, Brasil. Acta Amazonica, [s.l.], v. 42, n. 1, p. 105–114, 2012.
VALENTE, D. M. P.; ZENKER, M. M.; TESTON, J. A. Tiger-Moths in Savannas in Eastern Amazon: First Assessment of Diversity and Seasonal Aspects. Neotropical Entomology, [s.l.], v. 47, n. 6, p. 842–851, 2018.
VIEIRA, I. C. G.; SILVA, J. M. C.; TOLEDO, P. M. Estratégias para evitar a perda de biodiversidade na Amazônia. Estudos Avançados, [s.l.], v. 19, n. 54, p. 153-16, 2005.
VINCENT, B.; LAGUERRE, M. Catalogue of the Neotropical Arctiini Leach, [1815] (except Ctenuchina Kirby, 1837 and Euchromiina Butler, 1876) (Insecta, Lepidoptera, Erebidae, Arctiinae). Zoosystema, [s.l.], v. 36, n. 2, p. 137–533, 2014.
WATSON, A.; FLETCHER, D. S.; NYE, I. W. B. Noctuoidea: Arctiidae, Cocytiidae, Ctenuchidae, Dilobidae, Dioptidae, Lymantriidae, Notodontidae, Strepsimanidae, Thaumetopoeidae & Thyretidae. In: NYE, I. W. B. (Ed). The Generic names of moths of the world. London: The Natural History Museum, v. 2, 1995. p.1-228.
WELLER, S. J.; SIMMONS, R. B.; BOADA, R.; CONNER, W. E. Abdominal Modifications Occurring in Wasp Mimics of the Ctenuchine-Euchromiine Clade (Lepidoptera: Arctiidae). Annals of the Entomological Society of America, [s.l.], v. 93, n. 4, p. 920-928, 2000.
1 – Danúbia Marcela Pereira Valente
Master in Environmental Sciences, PhD student in Biodiversity of Rede Bionorte /Universidade Federal do Oeste do Pará.
https://orcid.org/0000-0001-7743-0285 • danubiavalente@ymail.com
Contribution: Conceptualization Methodology, Data curation, Formal Analysis, Writing - original draft and Writing - review and editing.
2 – José Augusto Teston:
PhD in Biosciences (Zoology), Professor of Universidade Federal do Oeste do Pará.
https://orcid.org/0000-0003-0741-0347 • jateston@gmail.com
Contribution: Supervision, Funding acquisition, Methodology, Validation, Writing – original draft and Review.
How to quote this article
VALENTE, D. M. P.; TESTON, J. A. Arctiini Leach, [1815] (Lepidoptera, Erebidae, Arctiinae) in a savanna areas of the Environmental Protection Area Alter do Chão, Santarém, Pará, Brazil. Ciência e Natura, Santa Maria, v. 44, e54, 2022. DOI: https://doi.org/10.5902/2179460X63813.