Universidade Federal de Santa Maria

Ci. e nat., Santa Maria, V. 41, e46, 2019

DOI: http://dx.doi.org/10.5902/2179460X36967

Received: 19/02/2019 Accepted: 13/09/2019

 

by-nc-sa

 


Section Education

 

 

Grafos e seu Polinômio Característico: Uma proposta didática para o Ensino Médio

 

Graphs and their Characteristic Polynomial: A didactic proposal for High School

 

Gustavo Feltrin RossiniI

Lidiane BuligonII

Luciane Gobbi TonetIII

 

I Mestrado Profissional em Matemática pela Sociedade Brasileira de Matemática. Professor do Colégio Militar de Santa Maria. - gustavofr06@gmail.com

II Doutora. Professora da Univesidade Federal de Santa Maria. - prof.buligon@gmail.com

III Doutora. Professora da Univesidade Federal de Santa Maria.. - lucianegobbi@yahoo.com.br

 

 

Resumo

Neste trabalho, um tema relacionado às redes sociais é usado como uma estratégia didática para conectar a matemática conceitual e teórica ao cotidiano dos alunos do Ensino Médio. A proposta foi elaborada para ser aplicada na forma de uma oficina na 15a Semana Acadêmica Integrada do Centro de Ciências Naturais e Exatas. A partir do problema motivador sobre o conteúdo de Grafos, foram geradas matrizes, calculados os determinantes pelo método de Laplace e por escalonamento e determinado o polinômio característico. Para finalizar, foi aplicado um questionário aos participantes da oficina com o intuito de obter respostas quanto ao trabalho realizado.

Palavras-chave: Grafos; Matrizes; Determinantes; Polinômio característico

 

Abstract

In this work, a theme related to social networks is used as a didactic strategy to connect conceptual and theoretical mathematics to the daily life of high school students.  This work was applied in the form of a workshop at the 15th Integrated Academic Week  of the Center for Natural and Exact Sciences. From the motivating problem on the subject of Graphs, matrices were generated, the determinants calculated by the Laplace and Scheduling methods and determined the Characteristic Polynomial. Finally, a questionnaire was applied to workshop participants to obtain a feedback the realized work.

Keywords: Graphs; Matrices; Determinants; Characteristic polynomial

 

1 Introdução

          A utilidade prática da disciplina de matemática é uma dúvida que frequentemente paira na mente dos estudantes do Ensino Médio. Para muitos a mesma é simplesmente uma matéria que envolve cálculos e que não possui nenhuma aplicabilidade no cotidiano. Sendo assim, acredita-se que cabe ao professor pesquisar quais são as melhores maneiras de ensinar matemática de modo que o aluno consiga aprender a parte teórica, mas principalmente, desenvolva a capacidade de relacionar o que foi estudado com os problemas reais presentes em outras áreas da ciência, como na economia, na engenharia, na biologia, e até mesmo nas relações sociais.

          Para os Parâmetros Curriculares Nacionais (PCN) Brasil (2000), a matemática no Ensino Médio tem um valor formativo, que auxilia na estrutura do pensamento e o raciocínio dedutivo, como também desempenha um papel instrumental, sendo uma importante ferramenta para a vida cotidiana e para as tarefas específicas em quase todas as atividades humanas.

          Seguindo ainda o PCN, o aluno do Ensino Médio, deve ver a matemática como um conjunto de técnicas e estratégias a serem aplicadas em outras áreas do conhecimento, observando-a como uma ciência, a qual possui características específicas. Eles devem perceber que as definições, demonstrações e encadeamentos conceituais e lógicos têm a função de construir novos conceitos e estruturas que servirão para validar intuições e dar sentido às técnicas aplicadas.

          Com o propósito de estimular o conhecimento e o aprendizado, a partir das orientações indicadas no PCN conjuntamente com a ideia de uma matemática mais próxima à realidade do aluno, propõem-se utilizar de um problema atual, relacionado às mídias sociais, como uma estratégia didática para o ensino da disciplina de Matemática para o Ensino Médio.

          Segundo Adami (2011), com o advento da Internet e a sua popularização, a partir da década de 90 as pessoas começaram a se comunicar com mais facilidade devido a criação das redes sociais. Pode-se definir Redes Sociais como sendo uma estrutura que inter-relaciona empresas ou pessoas, que estão conectadas pelas mais diversas relações.

          Todavia, cabe observar que ao propor e resolver um problema, como método motivador para despertar o interesse e desenvolver o raciocínio lógico dos alunos, segue-se a proposta de ensino e aprendizagem basada na resolução de problemas (Polya (1995)). Neste estudo, a estratégia consiste em usar um problema atual (rede social) para inserir a matemática no cotidiano dos alunos e a partir deste introduzir conteúdos específicos da disciplina, porém sem formalismo metodológico.

          Segundo Miguel (2012), o conhecimento matemático não se consolida como um rol de ideias prontas a ser memorizadas e sim, como um processo significativo em que devem ser conduzidos os alunos à exploração de uma grande variedade de ideias e de estabelecimento de relações entre fatos e conceitos, em que o discente deve incorporar os cenários do mundo real e as experiências para o desenvolvimento das noções matemáticas com vistas à aquisição de diferentes formas de percepção da realidade.

          Neste contexto, espera-se mostrar que a matemática é uma ferramenta útil na solução de problemas reais e não uma ciência composta de definições e fórmulas. A conexão entre a matemática formal abstrata e o problema real é feita utilizando as ligações de amizade de uma fictícia rede social formada pelos próprios alunos e matematicamente modulado pela teoria de Grafos. Além disso, busca-se mostrar um encadeamento entre os conteúdos estudados, ilustrando por meio de exemplos que conteúdos abordados no ensino superior, por exemplo grafos, necessitam dos conteúdos estudados no Ensino Médio como matrizes, determinantes e polinômios. Dessa forma, o processo de construção do conhecimento torna-se contínuo e a transição do concreto para o abstrato passa a ser uma experiência menos traumática para os estudantes.

          Contudo o que foi exposto, este trabalho tem o objetivo geral de conectar o ensino básico ao cotidiano dos alunos, tornando a aula atrativa e dinâmica. De forma complementar, pretende-se mostrar que é possível aprender e ensinar a Matemática a partir de um problema contextualizado. De maneira específica, propõem-se uma atividade que consiste em criar uma rede social em sala de aula, no qual os alunos por meio de suas ligações de amizades formarão um grafo, sendo assim, serão os parâmetros para a construção do problema matemático. Em seguida formula-se matematicamente problemas para obter o polinômio característico associado ao grafo gerado pela atividade inicial.

          A proposta didática apresentada é estruturada propondo, inicialmente, dividir a turma em grupos, sendo que cada grupo organizará a sua própria rede social. Após formada a estrutura da rede social, será construído um grafo. A partir desse momento, introduz-se o conceito e algumas propriedades básicas sobre a teoria de grafos necessários para a sequência das atividades. Em seguida, apresentam-se as definições e propriedades de matrizes, matriz adjacência e determinantes, o cálculo por meio do Teorema de Laplace e por escalonamento resultando no polinômio característico associado ao grafo gerado. E por fim aplica-se o questionário aos participantes.

 

2 Metodologia

          A oficina foi desenvolvida a partir de dois problemas modelados pela teoria de grafos e estão relacionados às ligações de amizade de uma rede social. Como problemas introdutórios serão sugeridos um grafo com 3 vértices e outro com 5 vértices.

          Para formar os grafos, com três e cinco vértices (participantes) para a primeira e para a segunda atividade, respectivamente, divide-se a turma em grupos, sendo imposto que cada um dos alunos (vértices) deverá ter pelo menos um amigo. Tais ligações seriam representadas por barbantes, significando a amizade entre eles. As possíveis ligações de amizades são criadas livremente o que dará a origem a diferentes grafos.

 

          A Figura 1 é uma ilustração de duas das possíveis ligações de amizades propostas nas atividades.

 

Figura 1: Dois casos de ligações de amizades formadas pelos participantes

 

          A escolha de um grafo com três vértices tem o objetivo de trabalhar com uma matriz e seu determinante comumente apresentado aos alunos do Ensino Médio. Em contra-partida o grafo de cinco vértice implicará em uma matriz de ordem maior, a qual exigirá a necessidade de aplicar o método de Laplace ou do escalonamento para calcular o determinante.

          Portanto, com base na atividade proposta, foi necessário uma explicação preliminar sobre a teoria de grafos, visto que o assunto é inédito para maioria dos envolvidos na atividade. Em seguida, para um entendimento mais amplo, sugere uma revisão dos conteúdos de matrizes, determinantes e polinômios. Tais conteúdos estão apresentados na próxima Seção.

 

          Para o desenvolvimento de ambas as atividades foram utilizadas as seguintes etapas:

 

1a. Dividir a turma em grupos (primeira atividade com três componentes e a segunda com cinco componentes); 2a. Criar o Grafo G;

3a. Construir a Matriz Adjacência A(G);

4a. Obter a Matriz M = (λI − A(G));

5a. Calcular o det (λI − A(G)) = P(λ) pelos métodos:

a)   Método de Laplace;

b)   Escalonamento

 

3 Aporte teórico

          Nesta seção será apresentado um resumo teórico dos conteúdos matemáticos que pressupõem-se necessários para o cumprimento das etapas da aplicação das atividades. Tais conceitos e definições estão baseados na teoria de grafos (Fritscher (2011)), matrizes (Santos (2010)), determinantes (Kühlkamp (2007);Santana e Yartey (2008)) e polinônio característico (Anton e Rorres (2012)), como segue:

 

          Definição 1: Um grafo é um par ordenado G = (V,E), onde V é um conjunto finito cujos elementos são denominados vértices e E é um conjunto de subconjuntos de dois elementos pertencentes a V chamados de arestas. Sendo o número de vértices denotada por V(G) e o número de arestas por A(G). Quando uma aresta incide sobre dois vértices, diremos que esses vértices são adjacentes.

 

          Definição 2: Seja G = (V, E) um grafo simples, não orientado, com n vértices e m arestas. A matriz n × n cujas entradas são iguais a 1, se u e v são adjacentes, e 0 caso contrário, com u, v V, é denominada matriz adjacência.

 

          O determinante da matriz A = [aij] é a soma dos produtos obtidos, permutando-se os segundos índices dos elementos do termo principal, mantidos fixos os seus primeiros índices, e fazendo cada produto cuja permutação dos segundos índices seja par, se precedido do sinal , e cada produto cuja permutação dos segundos índices for ímpar ser precedido do sinal .

 

          O procedimento é dado pelo seguinte resultado, conhecido como Teorema de Laplace:

 

          Teorema 1. Seja a matriz quadrada A de ordem n 2. Considere Aij a matriz obtida da matriz inicial A, retirando-se desta a i-ésima linha e j-ésima coluna.

 

 

          Definição 3. Dada uma matriz A, quadrada de ordem n, então λ é um autovalor de A se, e só se, λ satisfaz a equação

det(λI − A) = 0

         onde I é a matriz identidade. O resultado de 3 é a equação característica associada a matriz A.

     Segundo (Santana e Yartey (2008)),define-se escalonamento como:

 

          Definição 4. Uma matriz Am×n é dita escalonada se as condições abaixo são satisfeitas:

 

1.   As linhas nulas, se existirem, localizam-se abaixo de todas as linhas não nulas.

2.   O primeiro elemento não nulo da linha i está numa coluna anterior à do primeiro elemento da linha i + 1, (i < m).  

 

          Para obter-se uma matriz escalonada, utiliza-se o processo de equivalência de matrizes por linha. que conforme o mesmo autor (Santana e Yartey (2008)) é resumida na seguinte definição:


 

          Definição 5. Dada uma matriz A, pode-se dizer que é equivalente por linha a uma matriz B, se a matriz B puder ser obtida da matriz A através de uma sequência de operações elementares, que são as seguintes:

1.    Permutar a linha i com a linha j. Notação Li Lj;

2.    Multiplicação da linha i com a linha j. Notação kLi Lj

3.    Substituição da linha i por k vezes a linha j somada a t vezes a linha i, onde t, k K, t  0. Notação k · Lj + t · Li L. Denotar-se-á equivalência entre duas matriz A e B, por A B ou A B.

Quando se escalona uma matriz, tem-se que tomar o cuidado com o seu determinante, pois o mesmo é modificado cada vez que é realizada uma operação elementar, da seguinte forma

a)    Quando troca-se duas linhas, o sinal do determinante se modifica; (item 1)

b)    Quando multiplica-se ou dividi-se uma linha por um número escalar, o seu determinante da matriz anterior é igual ao determinante da matriz resultante dividido ou multiplicado respetivamente pelo número escalar; (item 2)

c)    O determinante não se altera quando soma-se uma linha a mesma somada de um múltiplo escalar de outra linha.(item 3)

 

4 Relato da atividade

          Na 15a Semana Acadêmica Integrada do Centro de Ciências Naturais e Exatas (CCNE), foi desenvolvida a oficina intitulada "Atividades Lúdicas para o Ensino de Matemática - Grafos". Tal oficina contou com a participação do autor, das professoras coordenação do projeto e da colaboração de alguns aluno da graduação e três bolsistas dos projetos Programa de Licenciatura (Prolicen) e Programa de Educação Tutorial (PET).

          Inicialmente fez-se a seguinte pergunta: "Qual é a ligação entre as redes sociais e a matemática?". A ideia de tal questionamento é trazer o tema matemático para o cotidiano dos alunos do Ensino Médio e desenvolver a habilidade de relacionar e aplicar a matemática na resolução de problemas reais.

          Após a introdução do assunto e uma breve discussão referente a pergunta inicial, foram propostas duas atividades: a primeira de criar uma rede de amizades com três e a segunda com cinco integrantes. Feitas as ligações de amizades e ilustradas de forma gráfica (como exemplo ver Figura 2), foram introduzidas, por meio de slides, as definições de grafos, de matriz adjacência, de determinantes e de polinômio característico. Adicionalmente, foram enunciados e exemplificados os métodos de Laplace e do escalonamento, tal revisão foi necessária uma vez que os dezesseis participantes da oficina eram dos mais diferentes semestres do curso de graduação em Matemática.

          Com a explanação realizada, foi solicitado aos participantes que eles determinassem o grafo gerado, a matriz adjacência e posteriomente fosse calculado o polinômio característico através do Teorema de Laplace, deixando a possibilidade de utilizar o escalonamento. Todos os grupos preferiram utilizar o Teorema de Laplace, sendo que alguns deles usaram a regra de Sarrus para resolver o determinante de ordem três e nenhum grupo tentou usar o escalonamento. Entretanto no apêndice encontra-se a solução das atividades pelo método do escalonamento.

          Relata-se que não foram apresentadas dificuldades na montagem dos grafos e na construção das matrizes adjacência para ambas as atividades, no entanto, foi constada uma certa dificuldade em calcular os determinantes, uma vez que os parcipantes não lembravam do Teorema de Laplace. Para tentar resolver este problema, foi deixado visível o slide contendo o procedimento do cálculo. Além disso, os participantes foram auxiliados pelos ministrantes da oficina na resolução das atividades propostas.

          A seguir serão transcritas a resolução de duas atividades, que são resultados de dois grafos gerados, conforme a metodologia descrita na Seção 2. Os dois grupos foram escolhidos de modo aleatório..

 

4.1 Primeira atividade

          A Figura 2 está ilustrado o grafo de 3 vértices construídos pelos participantes, conforme a Figura  1:

 

Figura 2 - Grafo G1 - Grafos de 3 vértices


 

     A Matriz Adjacência associada ao grafo G1 é dada por:

    

 

     O polinômio característico 1 associado G1 será dado por:

 (1)

 

O procedimento do método de Laplace foi aplicado utilizando a primeira linha, como segue:


     em que resulta no polinômio característico,

    

     PG1 (λ) = λ3 3λ 2

 

4.2 Segunda atividade

     A Figura 3 é apresentado o grafo de 5 vértices formado pelos participantes, segundo a ilustração 1:

 

Figura 3 - Grafo G2 - Grafo de 5 vértices

           

 

     A Matriz Adjacência:

    

     e a matriz identidade:

         

     Assim, o polinômio característico 2 associado a G2 será dado por:

              (2)

     O Método de Laplace novamente é usado para calcular o determinante, calculado como segue:

     em que


     sendo assim, o polinômio característico é dado por:

 

     PG2 (λ) = λ(λ4 5λ2 4λ) (λ3 + λ2 λ) (λ3 + λ2 2λ2) = λ5 7λ3 6λ2 + 3λ2

 

4.3 Questionário

          Logo após a resolução dos problemas, foi aplicado um questionário que constava de quatro perguntas:

1)   Você teve algum tipo de dificuldade para entender os conteúdos explicados nesta oficina? Quais?

2)   Explique o que você entendeu sobre Grafos?

3)   Dê sua opinião sobre esta atividade.

4)   Você teria alguma sugestão sobre alguma atividade lúdica para a próxima Semana Acadêmica Integrada?

          A partir da análise das respostas obtidas constatou-se que a maioria dos alunos responderam que apresentaram algum tipo de dificuldade na aplicação do Teorema Laplace. No entanto, consideraram a atividade dinâmica e achavam interessante propor mais atividades lúdicas para explicar a matemática para os alunos do Ensino Médio.

          Os alunos também perceberam que a medida que fosse adicionado elementos ao grupo, aumentava o número de possibilidades entre as ligações de amizades, consequentemente, a ordem da matriz adjacência e o número de determinantes também aumentavam. Alguns tentaram imaginar como seria o grafo gerado por uma rede social real.

          Em suma a aplicação teve uma boa aceitação dos participantes. Os mesmos mostraram interessados em buscar métodos alternativos para transformar a aula mais atrativa, dinâmica e com a participação mais efetiva de todos os alunos. Além disso, eles perceberam que podem comentar um assunto de graduação em uma sala de aula no Ensino Médio.

 

5 Conclusão

          Para dar um sentido à disciplina de matemática muitas vezes é preciso fazer uma conexão entre a matemática formal e o cotidiano dos alunos. A partir do processo de apresentação e de resolução de um problema atual, cria-se um método eficaz para desenvolver um pensamento crítico, dedutível e lógico, além de um meio para motivar os alunos.

          A estratégia de conectar a matemática à vida dos estudantes, desmistifica ela como uma ciência baseada em definições, fórmulas, regras e cálculos. Com essa nova forma de refletir, pode-se despertar o conhecimento de novas ideias, gerar o gosto pelo trabalho mental e complementar a formação conceitual e teórica do aluno.

          Nesse contexto, foi proposto uma atividade didática em que é possível integrar um conteúdo do Ensino Superior com o Ensino Médio. A modelagem matemática foi feita por meio de um problema relacionado a teoria de grafos e o qual está relacionado às redes sociais. A interação entre o aluno e o problema foi feita através das ligações de amizades criadas por eles. No entanto, a proposta não foi aplicada para alunos do Ensino Médio e sim para alunos de graduação em Matemática da Universidade Federal de Santa Maria, na 15a Semana Acadêmica Integrada do Centro de Ciências Naturais e Exatas (CCNE).

          Na oficina, foi possível observar que a proposta ofertada no mini-curso foi bem recebida pelos alunos, notando claramente que os participantes sentiram-se motivados e desafiados em resolver os problemas, questionando e discutindo entre os grupos qual seria o melhor método para determinar o polinômio característico. Todavia, foram observadas algumas dificuldades para resolver os determinantes de matrizes de grau maior que três.

          Todavia, acredita-se que esta proposta pode ser aplicada para alunos do segundo ano do Ensino Médio, uma vez que são estudados os conteúdos de matrizes e determinantes. A aplicação completa, que contempla ainda polinômios e números complexos, poderá ser desenvolvida no terceiro ano do Ensino Médio.

          Neste estudo cada um dos problemas propostos foi resolvido pelo método de Laplace, porém, ficará a critério do professor escolher o processo matemático mais conveniente a ser adotado. O autor sugere utilizar todos os métodos enunciados, mostrando as diferenças e explorando as vantagens de cada um deles. De maneira completar, sugere-se o uso de algum software matemático, incentivando o uso de recursos tecnológicos no auxilío na resolução das questões, no entanto, tais meios não dispensam o conhecimento da teoria.

          Entende-se que esse trabalho contribui para o processo de ensino e aprendizagem, uma vez que propõem uma estratégia didática com o propósito de melhorar as aulas de matemática, cria uma oportunidade para os estudantes desenvolverem seu conhecimento matemático a partir de um problema interessante e para os professores disponibiliza um material que poderá se usado para complementar as aulas.

 

6 Apêndice

6.1 Primeira Atividade

          Este processo exige o cálculo do determinante que será resolvido por escalonamento.

     Sejam as matrizes:

           

            Segue que

 

           

     Como o detA(G1) /= 0, tem-se que det(λI − A(G1)) = 0, logo λ /= 0. Então:

 

1.      Multiplicando a primeira linha por , tem-se:

           

            2.        

 

      3. Trocando as linhas L2 L3;

   

  4. Multiplicando a terceira linha por  , tem-se:

 

           

      5. Combinando as linhas 2 e 3, segue:

 

  L3 = L3 + L2

 

6. Calculando o determinante, então:

 

  (3)

 

 

 
  Que é o polinômio característico procurado.

 

6.2 Problema II

          Sejam as matrizes:

           

       

 

     Segue que:

 

    

     Como o detA (G2) 0, tem-se que det(λI − A(G2)) = 0, logo λ 0.Então:

 

      1. Multiplicando a primeira linha e a segunda linha por      , tem-se:

 

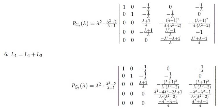
      4. Combinando as linhas 4 e 5 segue que:

 

L5 = L5 − L4

 

  5. Multiplicando a terceira linha por           , tem-se:

                                                                 

  7. Multiplicando a linha 4 por                                                             , tem-se:

 

            8. Agora combinando a linha 4 com a 5, logo:

 

  L5 = L5 − L4

 

  Obtém-se:

 

  Calculando o determinante, segue:

 

        (4)

     Que é o polinômio característico procurado.

 

Referências

ADAMI, A. (2011). Redes sociais. , URL http://www.infoescola.com/sociedade/redes-sociais-2/, acessado em 28 de mar. 2017.

 

ANTON, H., RORRES, C. (2012). álgebra Linear com Aplicações. Ed. Bokman.

 

BRASIL (2000). Parâmetros Curriculares Nacionais (Ensino Médio). 2000, URL http://portal.mec.gov.br/seb/arquivos/pdf/blegais.pdf, acesso em 08 out. 2016.

FRITSCHER, E. (2011). Propriedades espectrais de um grafo. Dissertação de Mestrado, Dissertação de Mestrado, UFRGS. Kühlkamp, N. (2007). Matrizes e Sistemas de Equações Lineares. Ed. da UFSC.

 

MIGUEL, J. C. (2012). O ensino de matemática na perspectiva da formação de conceitos: Implicações teórico-metodológcias. ,URL: www.unesp.br/prograd/PDFNE2003/O%20ensino%20de%20matematica.pdf, acessado em 28 de mar. 2017. Polya, G. A. (1995). A arte de resolver problemas. 1995.

 

SANTANA, C. R., YARTEY, J. N. A. (2008). Álgebra Linear - Resumo da Teoria. Editus.

 

SANTOS, P. L. F. (2010). Teoria espectral de grafos aplicada ao problema de isomorfisamo de grafos. Dissertação de Mestrado, Dissertação de Mestrado, UFES.