Ci. e Nat., Santa Maria v.42, e18, 2020

DOI:10.5902/2179460X34031

ISSN 2179-460X

Received 01/08/18   Accepted: 15/01/20  Published:24/06/20

 

 

 

Environment

 

Radiative behavior and canopy light extinction coefficient in a savanna urban area    

 

Levi Pires de AndradeI

Jonathan Willian Zangeski NovaisII

Marta Cristina de Jesus Albuquerque NogueiraIII

Luciana SanchesIV

José de Souza NogueiraV

Carlo Ralph de MusisVI

 

I    Instituto Federal de Mato Grosso, MT, Brasil - levi.pires@hotmail.com

II   Programa de Mestrado em Ciências Ambientais, Universidade de Cuiabá, MT, Brasil -  jonathan.novais@kroton.com.br

III  Universidade Federal de Mato Grosso, MT, Brasil - mcjanp@gmail.com

IV  Universidade Federal de Mato Grosso, MT, Brasil – lsanches@ufmt.br

V   Universidade Federal de Mato Grosso, MT, Brasil – nogueira@ufmt.br

VI  Programa de Mestrado em Ciências Ambientais, Universidade de Cuiabá, MT, Brasil - carlo.demusis@gmail.com

 

ABSTRACT

The knowledge of the radiative characteristics of an area is essential to understanding the flows of matter and energy. The value of the Light Extinction Coefficient (K) is a parameter that describes the efficiency of the interception of light in a given canopy, being required, as input, for several SWAP (Soil-Water-Atmosphere-Plant) models, which allow the characterization of the interactive properties among  soil, plant and atmosphere concerning these exchanges of matter and energy. This study aimed to obtain the light extinction coefficient (K) for a savanna fragment located in the urban area of Cuiabá. The used data correspond to one measurement each month, totaling twelve measurements in 30 points during the period from October 2014 to September 2015. The measured variables  were the LAI (Leaf Area Index), the photosynthetically active incident radiation (PARinc) and the transmitted radiation  (PARtrans), and the calculated ones were the zenith angle (Zh) and the extinction coefficient (K). Was observed an annual variability for the light extinction coefficient between 0.49 and 0.69. There are seasonal changes that interfere with the canopy geometry and the position of the study area in relation to the solar radiation incidence, concluding that the K variability is predominantly temporal.

Keywords: Leaf area index; Photosynthetically active radiation; Canopy Geometry

 

RESUMO

O conhecimento das características radiativas de uma área é essencial para caracterização dos fluxos de matéria e energia. O valor do Coeficiente de Extinção de Luz (K) é um parâmetro que descreve a eficiência da interceptação da luz em um dossel servindo como dado de entrada de vários modelos SWAP (Soil-Water-Atmosphere-Plant), os quais permitem a caracterização das propriedades interativas entre solo, planta e atmosfera no que se refere a estas trocas de matéria e energia. Este estudo teve o objetivo de obter o coeficiente de extinção de luz (K) para um fragmento de cerrado urbano de Cuiabá. Os dados utilizados correspondem a uma medida a cada mês, totalizando doze medições em 30 pontos durante o período de outubro de 2014 a setembro de 2015. As variáveis medidas foram o IAF (Índice de Área Foliar), a radiação fotossinteticamente ativa incidente (PARinc) e a transmitida (PARtrans), e as calculadas foram o ângulo zenital (Zh) e o coeficiente de extinção luminosa (K). Foi encontrado que há uma variabilidade anual no coeficiente de extinção de luz entre 0,49 e 0,69. Há alterações sazonais que interferem na geometria do dossel e na posição da área do estudo com relação à incidência dos raios solares, concluindo que a variabilidade de K é predominantemente temporal.

Palavras-Chave: Índice de área foliar; radiação fotossinteticamente ativa; Geometria do Dossel

 

 

1 INTRODUCTION

The knowledge of the radiative characteristics of an area, or set of vegetation, is a decisive step in its characterization, since it pervades important aspects that allow the understanding of the flows of matter and energy. The amount of light intercepted by a plant expresses the amount of energy potentially available to the photosynthetic process and constitutes the basis for crop growth and productivity (TEH, 2006). The solar radiation intercepted by a canopy is a fundamental component in the analysis of vegetation growth (BALANDIER et al., 2006). Thus, the form of radiative interception and the interface with the growth of a certain area of vegetation depend on a set of biophysical factors.

The growth rate of each vegetative portion and the constitution of the various streams of energy and matter have an aspect of multivariate origin permeating issues related to the  canopy geometry, which in turn has aspects related to the interactions and intrinsic characteristics of the researched area, but also depend on characteristics external to the place where this vegetative set is established. The analysis of vegetation growth depends on the incident radiation, the optical properties of the leaves and the canopy geometry (BALANDIER et al., 2006), and the analytical interpretation of these factors is expressed in LAI (Leaf Area Index), in the radiations photosynthetically active incident (PARinc) and transmitted (PARtrans), zenith angle (Zh) and luminance extinction coefficient (K) (MONSI and SAEKI, 1953). The value of K is a parameter that describes the efficiency of light interception in a given canopy, a small K value indicates a larger portion of radiation reaching the bottom of the canopy, on the other hand, a higher K value results in a smaller amount of radiation below the canopy (ZHANG et al., 2014).

In a canopy the amount of light decreases from the top towards the ground, with different canopies having different gradients of light extinction, and the light incident on each species of the canopy acts in different ways (JURIK AND KLEINSTEIN, 2000). This heterogeneous composition accentuates the dependence of light extinction on the canopy geometric characteristics.

To make the analysis more precise in order to express the real behavior of the canopy the ideal is the analysis of the growth phase, or vegetative balance, of the area to be studied and the consideration of the leaf areas in the horizontal and vertical plane in relation to the incidence of the solar radiation, in order to consider the leaf angles, in more than in level (height) in relation to the soil. (FORRESTER et al., 2014.    The measurements in a heterogeneous canopy structure, for instance, a portion of savanna or forest presents great practical difficulty. Analytic interpretation with the tools of statistics, although is a great challenge, is a more tangible way.

The delimitation of the variables involved in the characterization of the light extinction passes through the understanding of the functioning of the forest ecosystem. This work is strongly influenced by the photosynthetically active radiation that effectively depends on the canopy geometry and the biological characteristics of each species, limiting, in a complex forest composition, the use of parametrized models especially regarding the coefficient of extinction in many studies conceived in vegetation and sites that have different biophysical characteristics of the savanna ecosystem. This aspect strengthens the statistical analysis with an important tool to characterize the studied area, in this case, the knowledge of the characteristics of a portion of the savanna with a broad profile, containing the main variations of this biome: the cerrado stricto sensu, cerradão, cerrado with a higher and denser canopy, and the riparian forest. Thus, any generalization must be taken very carefully through a good sampling design and if it resembles the studied area.

In addition to the aspects related to the geometry and biological characteristics of the canopy, the variation of the relative position of the sun and the local relief or interference of the surroundings can alter the radiation that enters the canopy. The coefficient of extinction depends on the intrinsic characteristics of the vegetation, of the location of the study area, latitude, and zenith angle (DUURSMA and MÄKELLÄ, 2007; FORRESTER et al., 2014). The radiative characterization of a forest is not a simple task, since it depends on the leaves layout, open areas in the canopy, seasonal elements, meteorological conditions and the daily path of the solar radiation (BALANDIER et al., 2006).

The light extinction coefficient is a fundamental parameter in the modeling of the absorption efficiency of solar radiation by crops (GUIMARÃES and BITENCOURT, 2010). Although the extension of this idea to a portion of savanna is a great challenge, given the great variety of the savanna canopy, both in terms of species composition, and in size differences, the value of K is a parameter of great importance whose statistics can empirically express numerically their variability.

The understanding of the flows of matter and energy passes through the expression of several biophysical aspects represented by K. SWAP (Soil-Water-Atmosphere-Plant) models are software programs used in simulations to understand these flows, and in their inputs, they need several parameters, among them, the value of K. In the simulation related to the study carried out in the region of Piracicaba, SP, in relation to the coffee crop, K values between 0.2 and 2.2 were used for a sensitivity analysis, given to the few studies of determination of the coefficient of light extinction (PINTO et al., 2014). For one of the rare studies to determine K in the coffee crop, the value of 0.53 was obtained (ANGELOCCI et al., 2008).

The value of K can be calculated by the Lambert-Beer equation, with the adaptation proposed by (MONSI and SAEKI, 1953):

 

                                                                                                                        (1)

 

The calculation will not express the value with spatial and temporal precision given the intrinsic variability of each canopy and region, but it may allow conclusions about an average behavior of the studied area with possibility of extension of the conclusions within certain adaptations.

There is a range of K values for cultures. Inman-Bamber (1994) determined a K value of 0.55 for sugarcane cultivated in South Africa. The K value between 0.41 and 0.61 was obtained for four sugarcane varieties in Zimbabwe (ZHOU et al., 2003). In the Southeastern Brazil, in a Napier grass area, in the municipality of Coronel Pacheco, MG, the extinction coefficient presented average values between 0.40 and 0.92 (CARVALHO et al., 2007). For pastures of Cynodon spp., mean values were obtained for K between 0.88 and 1.94 (FAGUNDES et al., 2001). In a corn survey in Piracicaba, SP, values of K were found between 0.23 and 0.42 (CAMACHO et al., 1995), and in the same municipality, 0.72 and 0.84 (PEDREIRA and PEDREIRA, 2007).

The determination of the K value in a culture leads to a lower variability due to a more homogeneous composition of the canopy. The determination of the extinguishing coefficient for a heterogeneous fragment of vegetation, which is the case of an savanna area, should start from the random composition of the sample, with independent elements, and the application of statistical tests seeking the inference for the area of  research, in relation to the constituted sample, and the possible extension of this analysis to other areas with similar floristic composition. A sample with a good number of points, and measurements that ensure the randomness and independence of the data, strengthen the inference to be performed (GOTELLI and ELLISON, 2011). Measurements made for one year, covering the rainy and dry seasons, and the characteristics of the area that maintains a composition denoting few human interventions are characteristics that may strengthen the possible inferences. The mean monthly values and the annual average of K can be a good parameter for the understanding of the photosynthetic canopy behavior and as input data for other studies that need the value of the extinction coefficient of a portion of  savanna with the similar composition to the studied area.

Thus, the objective of this work is to obtain the light extinction coefficient (K) for a urban savanna fragment, located in Cuiabá-MT, Brazil.

 

 

2 MATERIALS AND METHODS

2.1 Experiment location

Measurements were made in a savanna fragment, transformed into a conservation unit, called Mãe Bonifácia urban park, located in Cuiabá municipality in the North, limited to Southeast-Southwest by a set of buildings, residences and buildings, and bordered on the other contour , along a main avenue of the municipality, Miguel Sutil avenue.

The park has an area of 77 hectares and a variation of altitude between 164 and 195 m, and has great floristic diversity, which is divided into three strata: the ciliary forest bordering the streams, cerradão away from the watercourse and in the higher regions the cerrado sensu stricto (BARROS, 2009).

 

Figure 1 –Mãe Bonifácia urban park, Cuiabá-MT (JOAQUIM et al., 2018)

 

In the park, thirty randomly distributed measurement points were chosen to allow the radiative characterization of the area of coverage of its three strata as well as the canopy geometry by the leaf area index (LAI).

The municipality of Cuiabá is the capital of the state of Mato Grosso and geodetic center of Latin America (Figure 1), belonging to the Central-Western region of Brazil. In the present study, it was observed that the total area of the urban area was 7,89% of the urban area and 2,970,11 km² (92.1%) of the rural area (SANTOS, 2008). The regional climate is Aw, according to the climatic classification of Köppen, characterized by being hot and humid with rainfall in the summer and dry season in the winter, with wet and dry seasons (ALVARARES et al., 2013).

 

2.2 Period of data collection

Data were collected from photosynthetically active incident radiation (PARinc), photosynthetically active radiation transmitted by the canopy (PARtrans) and leaf area index (LAI), point by point, one measurement per point per month, totaling twelve measurements at each point during the period from October 2014 to September 2015, from 10 am to 12 noon, time of the greatest incidence of solar radiation. Days were chosen that had little or no cloudiness and did not rain on the day to minimize external influences on the variables.

 

2.3 Instrumentation and estimation method

The PARinc, PARtrans and LAI  were measured with the linear model ceptometer (AccuPar - LP 80), which consists of a microprocessor datalogger that interprets the signals that arrive at the metal rod, called probe, where the sensors that detect the radiation are installed . The apparatus measures the photosynthetically active radiation, in the wavelength range from  400 to 700 nm. The radiation values ​​are expressed in micromols per square meter per second (μmol.m-2.s-1) and LAI in m2.m-2. The measurements were taken at the points marked under the canopy at 1.1 m above ground level.

 

2.4 Statistical analysis

The initial sample consisted of three hundred and sixty measurements for each variable. The PARinc, PARtrans, LAI and K variables were subjected to descriptive statistics in SPSS 23.0 software. Box points identified the points that constituted discrepant points, outliers, in relation to the statistical tendency of the sample. Within certain care the outliers can be removed, especially in samples composed of a considerable number of measurements (ELLISON and GOTELLI, 2011). Of the three hundred and sixty measurements, a total of 25 measurements were not considered in the statistical tests. The canopy variability and possible measurement errors can make this suitability tolerable.

The database with the adaptations were subjectd to descriptive statistics to analyze the trend and variability of the values of the variables and tested for adherence to normality with the application of the Kolmogorov-Smirnov test (HAIR, 2009). The violation of the normality assumption made the parametric statistics impracticable. In these situations the statistical analysis is performed by the application of non-parametric tests that allow the comparison of data set for one or more factors. In the research the factors were the temporal aspect and the characteristic of the vegetation in two groups, one the cerrado stricto sense, and another, cerradão and the ciliary forest. To verify the possible temporal and spatial differences, the non-parametric Mann-Whitney U test was used to verify these possible differences. Spearman's bivariate correlation analysis, which does not necessarily indicate a linear correlation or a common variance ratio among the variables, was used to verify the correlations, but can be considered as a monotonicity index, showing a common tendency of the variables in terms of growth or decay (BUNCHAFT and KELLNER, 1999).

Spearman's bivariate correlation allows the calculation of the correlation coefficients (ρ), which is based on the comparison of the positions of the various measurements and indicates the correlation regarding the tonicity of the variables (SPEARMAN, 1904).

 

 

3 RESULTS AND DISCUSSIONS

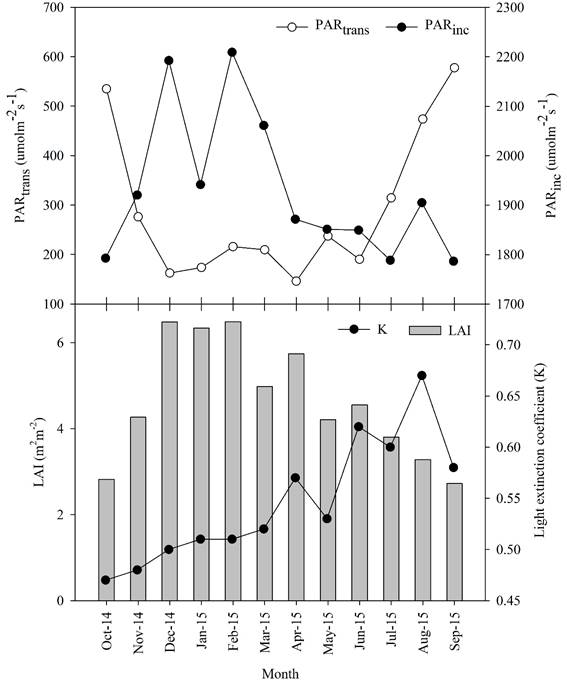
In figure 2 the following are exhibitd: the  results for photosynthetically active incident radiation (PARinc) and transmitted by the canopy (PARtrans), leaf area index (LAI) and light extinction coefficient (K) for the Mãe Bonifácia urban park, from October 2014 to September 2015.

The highest values of PARinc are observed in the period from December 2014 to February 2015, which coincides with the period during which the summer solstice occurs. This period coincides with the highest values of global radiation for the Southern hemisphere. The unexpected variation in the month of January 2015 may have occurred due to the sharp precipitation that occurred in January and the presence of cloudiness, imperceptible to the naked eye, but detected by the ceptometer. The lowest values of PARinc occurred in July and September, 1788.57 μmol.m-2.s-1 , 1786.7 μmol.m-2.s-1, respectively, at the end of the winter period and at high season (NOVAIS et al., 2017), in which for the month of September of 2015 were registered 1584 outbreaks of fire, according to data from the National Institute for Space Research - INPE (<http: // www. . This large quantity of particulate material suspended in the atmosphere promotes a decrease in PARinc, since part of the radiation flux that arrives in the atmosphere is reflected and / or undergoes scattering.

Between December 2014 and June 2015, the PARtrans values, which included the highest rainfall indexes in the rainy season, ranged from 161.8 to 179.3 μmol.m-2.s-1 (Figure 2 ). The period of July corresponds to the period of rain reduction with the respective change in the canopy geometry, due to the phenomenon of foliar senescence, which is a metabolic process caused by the redirection of nutrients to other zones of the plant, that in the savannah occurs only in the aerial part of the plant that culminates in foliar abscission (MAILLARD et al., 2015), which allows considerable savings in water loss in the transpiration process and in the availability of nutrients to maintain a leaf surface with low photosynthetic productivity due to severe water deficit in the dry season (DALMAGRO et al., 2013). In this period the average value of PARtrans varies from 315 μmol.m-2.s-1 in July 2015 to 504.2 μmol.m-2.s-1 in September 2015, while in the same period LAI reduced from 4.06 m2.m-2 to 3.18 m2.m-2. In October 2014 the measured value of PARtrans was 477.4 μmol.m-2.s-1 and LAI had a reduced value to approximately 3.01 m2.m-2.

 

Figure 2 - Monthly averages of the incident photosynthetically active radiation (PARinc) and transmitted by the canopy (PARtrans), leaf area index (LAI) and light extinction coefficient (K) for the Mãe Bonifácia urban park, from October 2014 to September 2015

 

The variation of the canopy geometry is accentuated, since in the rainy season there is an increase in the leaf area index, where in February of 2015 the measured value reached an average value of 6.8 m2.m-2, while in September 2015 this figure reaches 3.18 m2.m-2.

The values of K were calculated for each element of the sample, being analyzed for the spatio-temporal variation. As for the temporal variation, the average values ranged from 0.49 in February 2015 to 0.69 in July 2015.

K values were classified into two groups, smaller and larger, with the lowest K values occurring from October 2014 through February 2015, including September 2015, and from March 2015 to August 2015, the highest values. The data set were tested for adherence to normality by the Kolmogorov-Smirnov test, and the found results are presented in Table 1. Since the values of K did not adhere to normal in the set of all months, the application was chosen of the non-parametric Mann-Whitney U test to verify temporal variability.

 

Table 1 - Coefficient of light extinction (K) distributed in two sets of different values ​​and their types of distribution

 

Classification

Months

K values

Distribution

 

 

Minor

Jan-15

0,50

Normal

Feb-15

0,49

Normal

Oct-14

0,52

Normal

Nov-14

0,50

Normal

Dec-14

0,53

Normal

Sep-15

0,54

Normal

 

 

Major

Mar-15

0,60

Non-normal

Apr-15

0,57

Non-normal

May-15

0,68

Normal

Jun-15

0,65

Normal

Jul-15

0,69

Normal

Aug-15

0,60

Normal

 

A p-value equals to zero was found as a result of the test and confirmed that there is a statistically significant difference, at a significance level of 5%, in the K values among the measurement months. This statistically validated difference favors the use of these values in other studies with greater safety in the statistical sense, demonstrating seasonality in the coefficient of light extinction.

The spatial variability was tested with the separation in two strata of savanna: a stratum of cerrado stricto sensu and another stratum composed of cerradão and ciliary forest. A K value of 0.53 was found for the first stratum and for the second stratum a value of 0.55. The results of the extinction coefficient for this composition are lower than those found by Resende et al. (2010), who found for the Amazon / Savanna transition forest average K values of 0.74.

The distribution of the set of K values for the two vegetation strata did not show adherence to normality indicating the application of a non-parametric statistical test. The non-parametric comparison of the two strata was performed with the Mann-Whitney U test, whose test output resulted in a p-value equals to 10%, a result that allows the inference that there is no statistically significant difference between the K values in two layers of vegetation. This accentuates the safety in the values of K obtained, since the geometric variations of the two strata are similar and the values of K tend to have a value close to that calculated for a certain area of savanna, close to 0.5, with a variation around of this value due to the time factor (months).

The two highest values  of PARtrans occurred in the months of October 2014 and September 2015, coinciding with the group of six months that had the lowest values for K. However, analyzing other months, there is no uniform behavior that makes possible generalization of an inverse correlation between K and PARtrans, as Zhang (2014) states. In this area of savanna this generalization is not shown safe when considering the monthly evaluation. However, the annual data set confirms that there is this inverse correlation with a Spearman correlation coefficient ρ = -0.375.

The variables that define K, established in equation (1), violated the assumption of adherence to normality and thus it was not possible to apply parametric statistics. The option was the bivariate analysis with the calculation of Spearman's ρ and the evaluation of the correlations.

 

Table 2 - Spearman correlation for photosynthetically active incident radiation (PARinc) and transmitted by the canopy (PARtrans), leaf area index (LAI), light extinction coefficient (K) and zenith angle (Zh) for the Mãe Bonifácia urban park, from October 2014 to September 2015.

 

PARinc

PARtrans

LAI

K

Zenital angle

PARinc

 

1

0,050

0.250

0.373

0.399

p-valor

-----

94%

0%

0%

0%

PARtrans

 

0.050

1

 0.874

0.375

 0.052

p-valor

0.249

 

0%

0%

34%

LAI

 

0%

 0.874

1

0.053

0.250

p-valor

0%

0%

 

16%

0%

K

0.373

0.375

0.053

1

 0.380

p-valor

0%

0%

16%

 

0%

Zenital angle

0.399

 0.052

0.250

 0.380

1

p-valor

0%

34%

0%

0%

 

 

An inverse relationship between PARtrans and the light extinction coefficient (K), ρ negative, was found, showing an inverse relationship between these two quantities, demonstrating the geometric dependence of the extinction coefficient, which is observed by the strong correlation between PARtrans and LAI. The variation of the zenith angle, in the area and time of this research, was from 1.6 degrees to 41.6 degrees, considering the Julian days in which the measurements were made, affecting the way in which the solar rays enter the canopy, subsequently affecting other indices, such as surface albedo (NOVAIS et al., 2016). There is an inverse correlation between K and the zenith angle (Table 2), more inclined solar rays in relation to the vegetated area decrease the geometric interception capacity of the solar rays. The values ​​of K calculated and subjected to the statistical tests can bring the numerical representation of this geometric variation, not only those that originate in the zenith angle variation but also the geometric variability of the canopy itself, the place where the area is inserted and also the geometry urban, buildings placed in the surroundings that may be affecting the extinction of light. The very variation of the relief in the place, whose altitude varies from 165 to 195 m, can influence in the K value.

There was a strong correlation between PARtrans and LAI, with a ρ equal to - 0.874, that is also an inverse correlation between these two variables, confirming several studies, the increase of the leaf area of ​​the canopy reduces the PAR radiation below the canopy and vice -versa. The correlation between K and PARinc, PARtrans and Zh with the very close correlation force accentuates the dependence K has on the canopy geometry and the zenith angle. Although the test does not demonstrate a direct correlation between K and LAI, there is an indirect influence if we consider the strong correlation between PARtrans and LAI. For the same site, Novais et al. (2018) found similar significant correlations between leaf area index and photosynthetically active radiation transmitted and canopy transmittance.

There is no basis for explaining a causal relationship between the intensity of PARinc and K, but the correlation obtained with statistical significance allows the inference of the possibility of the correlation being supported by the geometric variations of the canopy and the zenith angle and of the solar declination itself, being thus correlating more closely with the seasonal aspects.

 

 

4 CONCLUSIONS

It is concluded that the luminance extinction coefficient (K) does not only depend on the nominal values of PARinc, PARtrans, LAI and Zh, confirming affirmations of other works, the geometric dependence of the canopy of the researched area and the variables related to the land translation movements (temporal variability), such as the zenith angle. The values of the light extinction coefficient (K) of savanna varied in the studied area between 0.49 and 0.69. The small floristic changes in the research area that contain three strata of vegetation do not seem to interfere significantly in the K values, which reinforces the temporal variability.

 

 

REFERENCES

ALVARES CA, STAPE JL, SENTELHAS PC, GONÇALVES JLM, SPAROVEK G. Köppen’s climate classification map for Brazil. Meteorologische Zeitschrift, 2013;22, n.6: 711-728.

ANGELOCCI LR, MARIN FR, PILAU FG, RIGHI FG, FAVARIN JL. Radiation balance of coffee hedgerows. Rev. bras. eng. agríc. ambient., 2008;12, n.3: 274-281.

BALANDIER P, SONOHAT G, SINOQUET H, VARLET-GRANCHER C, DUMAS Y.  Characterisation, prediction and relationships between different wavebands of solar radiation transmitted in the understorey of even-aged oak (Quercuspetraea, Q.robur) stands. Journal Trees Structure and Function, 2006;20, n. 363.

BARROS MP. Estudo microclimático e topofílico no Parque Mãe Bonifácia da cidade de Cuiabá-MT [dissertation]. Cuiabá: Mestrado em Física Ambiental/UFMT; 2009.147 p.

BUNCHAFT G, KELLNER SR. Estatística sem mistérios. Petrópolis: Editora Vozes; 1999.

CAMACHO RG, GARRIDO O, LIMA MG. Caracterizacion de nueve genótipos de maiz (Zeamays L.) em relacion a área foliar y coeficiente de extincion de luz. Journal Scientia Agricola, 1995;52, n.2: 294-298.

CARVALHO CAB, ROSSIELLO ROP, PACIULLO DSC, SBRISSIA AF, DERESZ F. Classes de perfilhos na composição do índice de área foliar em pastos de capim-elefante. Pesq. Agropec. Bras., 2007;42, n.4: 557-563.

DALMAGRO HJ, LOBO FA, VOURLITIS GL, DALMOLIN ÂC, ANTUNES MZ Jr, ORTIZ CER, NOGUEIRA JS. Photosynthetic parameters of two invasive tree species of the Brazilian Pantanal in response to seasonal flooding. Photosynthetica, 2013;51, n. 2: 281–294.

DUURSMA RA, MÄKELÄ A. Summary models for light interception and light-use efficiency of non-homogeneous canopies. Journal Tree Physiology, 2006;27, n.6: 859-870.

FAGUNDES JL, SILVA SC, PEDREIRA CGS, CARNEVALLI RA, CARVALHO CAB, SBRISSIA AF, PINTO LFM. Índice de área foliar, coeficiente de extinção luminosa e acúmulo de forragem de pastagens de Cynodon spp. Sob lotação contínua. Pesq. Agropec. Bras., 2001;36, n.1: 187-195.

FORRESTER DI, GUISASOLA R, TANG X, ALBRECHT AT, DONG TL, MAIRE G. Using a stand-level model to predict light absorption in stands with vertically and horizontally heterogeneous canopies. Forest Ecosystems, 2014;1, n.17.

GOTELLI NJ, ELLISON AM. Princípios de estatística em ecologia em estatística. Porto Alegre: Artmed, 2011.

GUIMARÃES, A.K.V.; BITENCOURT, L.L. Utilização de luz pelas comunidades de plantas forrageiras nas pastagens, com ênfase nas tropicais. PUBVET, 2010;4, n.3.

HAIR JF, BLACK WC, BABIN BJ, ANDERSON RE, TATHAM RL. Análise Multivariada de Dados. 6ª. ed. Porto Alegre: Bookman, 2009.

INMAN-BAMBER NG. Temperature and seasonal effects on canopy development and light interception of sugarcane. Journal Field Crop Research. 1994;36, n.1: 41-51.

JOAQUIM TD, NOVAIS JWZ, ANDRADE LP, ROSSETI KAC, VILANI MT, PEREIRA SP. Thermo-hygrometric modeling using Envi-met software to an urban park in Cuiabá-Brazil. Ciência e Natura, 2018;40, n.37.

JURIK TW, KLIEBEINSTEIN H. Canopy Architecture, Light Extinction and Self-shading of a Prairie Grass, Andropogon gerardii. Journal The American Midland Naturalist, 2000;144,n.1: 51-65.

MAILLARD A, DIQUÉLOU S, BILLARD V, LAINÉ P, GARNICA M, PRUDENT M, GARCIA-MINA JM, YVIN JC, OURRY A. Leaf mineral nutrient remobilization during leaf senescence and modulation by nutrient deficiency. Frontiers in Plant Science, 2015;6,n.317.

MONSI M, SAEKI T. Tüber den Lichtfaktor in den Pflanzengesellschaften und seine Bedeutung für die Stoffproduktion. Japanese Journal of Botany, 1953;14: 22-52.

NOVAIS JWZ, SANCHES L, SILVA LB, MACHADO NG, AQUINO AM, PINTO JUNIOR OB. Albedo do solo abaixo do dossel em área de Vochysia Divergens Pohl no norte do Pantanal. Rev. Bras. de Met. 2016;31, n. 2, p. 157-166.

NOVAIS JWZ, SANTANNA FB, ARRUDA PHZ, PEREIRA OA, DUTRA R. Relação entre profundidade óptica de aerossóis e radiação fotossinteticamente ativa e global no cerrado mato-grossense. Rev. Estud. e Debate, 2017;n.1: 153-167.

NOVAIS JWZ, ANDRADE LP, SIQUEIRA AY, DE MUSIS CR, SANCHES L, PEREIRA AO. Avaliação do método de Lambert-Beer para estimativas de índice de área foliar no cerrado mato-grossense. Revista Ibero-americana de Ciências Ambientais, 2018;9, n.2.

PEDREIRA BC, PEDREIRA CGS. Fotossíntese foliar do capim-xaraés (Brachiariabrizantha (A.Rich.) Stapf. cv. Xaraés) e modelagem da assimilação potencial de dosséis sob estratégias de pastejo rotativo. R. Bras. de Zootec., 2007;36, n.4:773-779.

PINTO VM, REICHARDDT K, DAM J, LIER QJ, BRUNO IP, DURIGON A, DOURADO-NETO D, BORTOLOTTO RP. Deep drainage modeling for a fertigated coffee plantation in the Brazilian savanna. Journal Agricultural Water Management, 2014;148, n.31:130-140.

INTITUTO DE PLANEJAMENTO E DESENVOLVIMENTO URBANO IPDU[Internet]. Plano Diretor de Desenvolvimento Estratégico de Cuiabá. Cuiabá, 2008.

SPEARMAN C. The proof and measurement of association between two things. American Journal Psychology, 1904;15,n.1: 72-101.

TEH CBS. Introduction to mathematical modeling of crop growth: How the equations are derived and assembled into a computer program. 1st ed. Boca Raton: Brown Walker Press, 2006.

ZHANG L, HU Z, FAN J, ZHOU D, TANG F. A meta-analysis of the canopy light extinction coefficient in terrestrial ecosystems. Journal frontiers in earth science, 2014;8, n.4: 599-609.

ZHOU M, SINGELS A, SAVAGE MJ. Physiological parameters for modelling differences in canopy development between sugarcane cultivars. In. Proceedings of the Annual Congress of the South African Sugar Technologists Association; 2003, Mount Edgecomb, South Africa. p. 610-621.